Материал: Дидактические игры, сформированные на материале сказок Свена Нурдквиста

Внимание! Если размещение файла нарушает Ваши авторские права, то обязательно сообщите нам


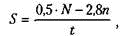
где S- показатель продуктивности и устойчивости внимания обследованного ребенка;- количество изображений предметов на рис 1., просмотренных ребенком за время работы;

t - время работы;

п - количество ошибок, допущенных за время работы. Ошибками считаются пропущенные нужные или зачеркнутые ненужные изображения.

В итоге количественной обработки психодиагностических данных определяются по приведенной выше формуле шесть показателей, один - для всего времени работы над методикой (2,5 мин), а остальные - для каждого 30-секундного интервала. Соответственно, переменная tв методике будет принимать значение 150 и 30.

По всем показателям 5, полученным в процессе выполнения задания, строится график следующего вида (рис 2.), на основе анализа которого можно судить о динамике изменения во времени продуктивности и устойчивости внимания ребенка. При построении графика показатели продуктивности и устойчивости переводятся (каждый в отдельности) в баллы по десятибалльной системе следующим образом:

10 баллов - показатель S у ребенка выше, чем 1,25 балла.

8-9 баллов - показатель S находится в пределах от 1,00 до 1,25 балла.

6-7 баллов - показатель S находится в интервале от 0,75 до 1,00 балла

4-5 баллов - показатель S находится в границах от 0,50 до 0,75 балла.

2-3 балла - показатель S находится в пределах от 0,24 до 0,50 балла.

0-1 балл - показатель S находится в интервале от 0,00 до 0,2 балла.

Устойчивость внимания в свою очередь в баллах оценивается так:

10 баллов - все точки графика на рисунке 2 не выходят за пределы одной зоны, а сам график своей формой напоминает кривую 1.

8-9 баллов - все точки графика расположены в двух зонах наподобие кривой 2.

6-7 баллов - все точки графика располагаются в трех зонах, а сама кривая похожа на график 3.

4-5 баллов - все точки графика располагаются в четырех разных зонах, а его кривая чем-то напоминает график 4.

3 балла - все точки графика располагаются в пяти зонах, а его кривая похожа на график 5.

Психологическая диагностика

Рис 2. Варианты графиков, показывающих динамику продуктивности и устойчивости внимания по методике "Найди и вычеркни".

На графике представлены различные зоны продуктивности и типичные кривые, которые могут быть получены в результате психодиагностики внимания ребенка по данной методике. Интерпретируются эти кривые следующим образом:

.     Кривая, изображённая с помощью линии типа -. - .-. Это график очень высокопродуктивного и устойчивого внимания.

2.      Кривая, представленная линией типа •••• Это график низкопродуктивного, но устойчивого внимания.

.        Кривая, изображаемая посредством линии типа - - - - -. Представляет собой график среднепродуктивного и среднеустойчивого внимания.

.        Кривая, изображенная с помощью линии ------------- . Является графиком среднепродуктивного, но неустойчивого внимания.

.        Кривая, изображенная линией - - - - - - - - . Представляет график среднепродуктивного и крайне неустойчивого внимания.

Выводы об уровне развития

10 баллов - продуктивность внимания очень высокая, устойчивость внимания очень высокая.

8-9 баллов - продуктивность внимания высокая, устойчивость внимания высокая.

4-7 баллов - продуктивность внимания средняя, устойчивость внимания средняя.

2-3 балла - продуктивность внимания низкая, устойчивость внимания низкая.

0-1 балл - продуктивность внимания очень низкая, устойчивость внимания очень низкая.

Методика 2 - "Проставь значки"

Тестовое задание в этой методике предназначено для оценки переключения и распределения внимания ребенка. Перед началом выполнения задания ребенку показывают рис 3. и объясняют, как с ним работать. Эта работа заключается в том, чтобы в каждом из квадратиков, треугольников, кружков и ромбиков проставить тот знак, который задан вверху на образце, т.е., соответственно, галочку, черту, плюс или точку.

Ребенок непрерывно работает, выполняя это задание в течение двух минут, а общий показатель переключения и распределения его внимания определяется по формуле:


где S- показатель переключения и распределения внимания;

N - количество геометрических фигур, просмотренных и помеченных соответствующими знаками в течение двух минут;

п - количество ошибок, допущенных во время выполнения задания.

Ошибками считаются неправильно проставленные знаки или пропущенные, т.е. не помеченные соответствующими знаками, геометрические фигуры.

Рис 3. Лист к методике "Проставь значки".

Оценка результатов

10 баллов - показатель S больше чем 1,00.

8-9 баллов - показатель S находится в пределах от 0,75 до 1,00.

6-7 баллов - показатель S располагается в пределах от 0,50 до 0,75.

4-5 баллов - показатель S находится в интервале от 0,25 до 0,50.

0-3 балла - показатель 5 находится в пределах от 0,00 до 0,25.

Выводы об уровне развития:

10 баллов - очень высокий.

8-9 баллов - высокий.

6-7 баллов - средний.

4-5 баллов - низкий.

0-3 балла - очень низкий.

Методика 3 - "Запомни и расставь точки"

С помощью данной методики оценивается объем внимания ребенка. Для этого используется стимульный материал, изображенный на рис 4. Лист с точками предварительно разрезается на 8 малых квадратов, которые затем складываются в стопку таким образом, чтобы вверху оказался квадрат с двумя точками, а внизу - квадрат с девятью точками (все остальные идут сверху вниз по порядку с последовательно увеличивающимся на них числом точек).

Перед началом эксперимента ребенок получает следующую инструкцию: "Сейчас мы поиграем с тобой в игру на внимание. Я буду тебе одну за другой показывать карточки, на которых нарисованы точки, а потом ты сам будешь рисовать эти точки в пустых клеточках в тех местах, где ты видел эти точки на карточках".

Далее ребенку последовательно, на 1-2 сек, показывается каждая из восьми карточек с точками сверху вниз в стопке по очереди и после каждой очередной карточки предлагается воспроизвести увиденные точки в пустой карточке (рис 5.) за 15 сек. Это время дается ребенку для того, чтобы он смог вспомнить, где находились увиденные точки, и отметить их в пустой карточке.

Оценка результатов

Объемом внимания ребенка считается максимальное число точек, которое ребенок смог правильно воспроизвести на любой из карточек выбирается та из карточек, на которой было воспроизведено безошибочно самое большое количество точек).

Рис 4. Стимульный материал к заданию "Запомни и расставь точки".

Рис 5. Матрицы к заданию "Запомни и расставь точки".

Результаты эксперимента оцениваются в баллах следующим образом:

10 баллов - ребенок правильно за отведенное время воспроизвел на

карточке 6 и более точек.

8-9 баллов - ребенок безошибочно воспроизвел на карточке от 4 до 5 точек.

6-7 баллов - ребенок правильно восстановил по памяти от 3 до

точек.

4-5 баллов - ребенок правильно воспроизвел от 2 до 3 точек.

0-3 балла - ребенок смог правильно воспроизвести на одной карточке не более одной точки.

Выводы об уровне развития

10 баллов - очень высокий.

8-9 баллов - высокий.

6-7 баллов - средний.

4-5 баллов - низкий.

0-3 балла - очень низкий.