Материал: Диагностика и обслуживание радиоэлектронных средств

Внимание! Если размещение файла нарушает Ваши авторские права, то обязательно сообщите нам

Диагностика и обслуживание радиоэлектронных средств















"Диагностика и обслуживание радиоэлектронных средств"

1.Разработка технологии ремонта и планировки предприятия по ремонту радиоэлектронной техники

Исходные данные:

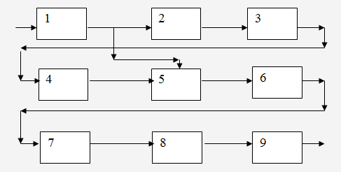
В зоне обслуживания завода по ремонту бытовой РЭА находится район города с населением 139274 человек. В среднем каждый 11-й горожанин имеет в личном пользовании РЭА, функциональная модель которой приведена на рисунке 1. Среднее ежесуточное время работы данной РЭА составляет 7 часов. Среднее время приема аппаратуры в ремонт и выдачи из ремонта 8 мин. Салон приема и выдачи аппаратуры работает без выходных по 11 часов в сутки. При расчете штатного расписания использовать данные таблицы 1.

Примечание:

Очередь в салоне приема и выдачи РЭА не должна превышать 1 чел.

Если в при расчете количества работников получается дробное число, то, начиная с 0.1, это число округлять в большую сторону.

В дни государственных праздников предприятие не работает.

Рисунок 1 - Функциональная модель РЭА

Таблица 1 - Средние показатели работы сотрудников предприятия


Таблица 2 - Количество компонентов в функциональных элементах (ФЭ)


Примечание:

Микросхемы, применяемые в данной РЭА, имеют 14 выводов;

При расчете вероятности безотказной работы время принять 100000 ч.

Таблица 3 - Средние коэффициенты нагрузок радиокомпонентов


Таблица 4 - Время измерения диагностирующих параметров


Быстрое развитие в нашей стране технических средств телевидения и радиовещания, в том числе и бытовой радиоэлектронной аппаратуры (БРЭА) требует дальнейшего совершенствования организации её ремонта, улучшения качества исполнения заказов и повышения культуры обслуживания населения. Для достижения этого необходимо дальнейшее расширение сети предприятий сервиса, оснащение их современным технологическим оборудованием, инструментами и приспособлениями, внедрение научно-технических достижений, повышение эффективности использования действующих и вновь вводимых производственных мощностей.

В соответствии с этим коллективу предприятия приходится повседневно решать задачи, связанные как с улучшением обслуживания населения так и с повышением организационно-технического уровня производства ремонтных работ.

Основной задачей предприятия по ремонту бытовой техники является полное удовлетворение потребностей населения в услугах по ремонту бытовой техники при обеспечении высокого качества и культуры обслуживания, а также эффективность хозяйствования. Из этой основной задачи предприятия вытекает ряд задач, которые коллектив предприятия решает повседневно и которые можно разделить на две группы:

задачи, связанные с улучшением обслуживания населения: улучшать качество ремонтных работ и сокращать сроки выполнения заказов населения; внедрять прогрессивные формы обслуживания населения (обменные фонды, прием и выдача заказов по месту работы и на дому и т.д.); создавать удобства для населения при пользовании услугами; повышать культуру обслуживания;

задачи, связанные с повышением эффективности производства услуг: непрерывно совершенствовать производство ремонтных работ на базе прогрессивной техники, технологий, организации производства и труда; обеспечивать максимальное использование основных фондов и оборотных средств; систематически улучшать качественные показатели работы предприятия; снижать затраты на ремонтные работы и другие услуги.

Решение этих задач невозможно без глубокого научного обоснования организационных форм обслуживания населения и организационных методов производства ремонтных работ.

Формированию бытового обслуживания населения в самостоятельную отрасль народного хозяйства значительной степени содействовали те специфические особенности, которые присущи только предприятиям сервиса. К их числу следует отнести:

обязательный индивидуальный заказ и, как правило, личный контакт потребителя (заказчика) с исполнителем или представителем производителя бытовых услуг (приёмщик, мастер, агент);

ярко выраженный индивидуальный характер деятельности большинства подразделений отрасли;

колебания спроса на бытовые услуги по сезонам года, месяцам и даже по часам рабочего времени предприятий;

одновременное сочетание функций характерных для промышленного производства и розничной торговли (реализация услуг по розничным ценам).

Поток заказов зависит от следующих факторов:

природно-климатических условий;

национальных и индивидуальных особенностей людей;

уровня жизни людей;

структуры доходов и расходов семей;

соотношения цен на товары и услуги;

психологии заказчика и т.п.

Многие промышленные предприятия производят продукцию, не зная конечного пользователя этой продукции, а на предприятиях сервиса всегда известен заказчик и его требования к изделию или услуге.

Бытовое обслуживание населения как самостоятельная, целостная отрасль народного хозяйства, функционирующая на основе общности конечного результат производственной деятельности своих предприятий и учреждений, играет важную и всевозрастающую роль в народнохозяйственном комплексе.

Объектом проектирования в данной курсовой работе является предприятие по ремонту бытовой радиоэлектронной аппаратуры.

Предмет проектирования - это выбор и расчет штатного состава предприятия, разработка его планировки, выбор оснащения, расчет алгоритмов диагностирования аппаратуры и описание технологии движения ремонтируемой РЭА по предприятию.

Целью проектирования является получение студентом навыков самостоятельно решать вопросы организации и оснащения предприятия ремонта бытовой РЭА.

Рамки проектирования ограничиваются выбором планировки и оснащения цеха стационарного ремонта аппаратуры.

Задачи проектирования: произвести выбор штатного расписания, алгоритма диагностирования, планировки и оснащения предприятия в условиях многовариантности решения данных задач.

2. Общие требования к проектированию предприятий ремонта бытовой РЭА

Предприятия ремонта радиотелевизионной аппаратуры предпочтительно размещать в универсальных многоэтажных зданиях домов быта или на первых этажах жилых зданий.

В общем случае помещения промышленных предприятий, разделяются на следующие группы:

производственные, т.е. цехи по изготовлению продукции;

административные, служащие для размещения управленческого персонала;

подсобно-производственные, т.е. цехи по обслуживанию основного производства (ремонтно-механические, инструментальные, тарные и др.);

складские, предназначенные для хранения готовой продукции, сырья, материалов, полуфабрикатов, тары и др.;

энергетические, служащие для размещения производств по выработке или преобразованию энергоносителей: электроэнергии, пара, тепла, сжатого воздуха, газа (трансформаторные подстанции, котельные, компрессорные станции и др.);

санитарно-технические, предназначенные для размещения насосных станций, очистных сооружений и др.;

транспортного хозяйства, служащие для обслуживания средств транспорта (тепловозные и электровозные депо, гаражи, авторемонтные мастерские и др.);

вспомогательные, предназначенные для санитарно-бытового и культурного обслуживания работающих (гардеробные, душевые, умывальные, санузлы, медпункты, столовые и др.).

Для предприятия ремонта бытовой РЭА, как правило, предусматривают производственные, административные, складские и вспомогательные помещения. Обустройство других помещений определяется наличием в здании подвода различных видов энергии, а также инженерных коммуникаций.

С целью удешевления строительства используют типизацию и унификацию конструктивных элементов на базе соразмерности геометрических параметров зданий.

Для правильного взаимного расположения конструкций зданий в пространстве служит система модульных плоскостей. Линии пересечения вертикальных модульных плоскостей с горизонтальными принимают за основные разбивочные оси, к которым привязывают расположение стен, колонн и других конструктивных элементов зданий.

Разбивочные оси подразделяют на продольные, обозначаемые заглавными буквами русского алфавита (кроме буквы З), и поперечные, обозначаемые арабскими цифрами.

Основными планировочными параметрами здания являются пролет и шаг колонн. Пролет- это расстояние между продольными разбивочными осями, шаг колонн- расстояние между поперечными осями. Совокупность этих параметров, выраженную в метрах, называют сеткой колонн, т.к. в местах пересечения осей обычно размещают колонны - основные несущие элементы каркаса здания. Обозначение сетки колонн: 6х6, 12х6, 12х12 и т.д. (больший размер обычно соответствует пролету).

Основой унификации геометрических размеров зданий и строительных изделий является единая модульная система (ЕМС). Под ЕМС в строительстве понимают совокупность правил координации размеров зданий и их конструктивных элементов на основе кратности этих размеров определенной линейной величине, принятой за модуль. В России размер основного модуля М принят равным 100 мм.

На основе единой модульной конструкции унифицируются основные объемно-планировочные параметры всех типов промышленных зданий и сооружений, на основе чего принято:

для одноэтажных зданий: размеры пролетов - 6, 12, 18, 24, 30 и более метров, шаг колонн - 6, 12 м;

для многоэтажных зданий: размеры пролетов - 6, 9, 12м,
шаг колонн - 6, 12 м.

На базе единой модульной системы разработаны и утверждены унифицированные габаритные схемы одноэтажных и многоэтажных промышленных зданий.

При проектировании предприятий ремонта бытовой РЭА необходимо учитывать, что если в здании отсутствуют колонны, то расстояние между несущими стенами должно быть равно размеру пролета. В этом случае при строительстве здания могут быть применены унифицированные строительные конструкции, что удешевляет строительство.

Планировка помещений предприятий ремонта бытовой РЭА должна обеспечивать удобные и безопасные условия труда, наиболее эффективное использование производственных площадей и рабочего времени. Рекомендуется на предприятиях ремонта радиотелевизионной аппаратуры иметь следующие помещения:

цехи ремонта аппаратуры;

административные помещения;

диспетчерский пункт;

салон приема и выдачи аппаратуры;

склад ремфонда и готовой продукции;

помещение для линейных радиомехаников;

помещение антенной службы;

склад запчастей;

склад дефектных деталей;

бытовые и вспомогательные помещения.

При выборе или проектировании указанных помещений необходимо учитывать нормы на производственные и непроизводственные помещения предприятия ремонта бытовой радиоэлектронной аппаратуры, которые изложены в строительных нормах и правилах. Взаимное расположение помещений должно обеспечивать рациональность технологического процесса ремонта аппаратуры, отсутствие пересечения потоков неотремонтированной и отремонтированной РЭА, минимальные затраты сил и времени на непроизводственные операции.

3. Расчет среднего годового потока заказов на ремонт РЭА и параметров надежности функциональных элементов

.1 Определим парк обслуживаемой РЭА данного типа

Поб=Nнас/К1=139274/11=12661 шт.,

где    Поб - парк обслуживаемой РЭА данного типа,нас- численность населения в обслуживаемом районе города,

К1 - коэффициент наличия РЭА в личном пользовании граждан.

3.2 Определим среднегодовое время работы РЭА данного типа

Тг=Дг×Тс=365×7=2555 час.,

где    Тг - среднегодовое время работы РЭА данного типа,

Дг - среднее количество дней в году,

Тс - среднее ежесуточное время работы данной РЭА.

В пунктах 2.3-2.11 рассчитаем параметры надежности 1-9 функциональных элементов (ФЭ).

3.3 Расчет параметров надежности 1-го ФЭ

.3.1 Определим количество паек в 1-ом ФЭ

Кп=Кмс×14+Кvt×3+Kvd×2+Kc×2+Kr×2+Ктр×4+

+Кинд×2+Ккр+Ккп+Кпр×2+Ка+Кг×2=

=6×14+8×3+10×2+8×2+8×2+1×4+1×2+

+7+5+5×2+1+1×2=189,

где    Кп - количество паек,

Кмс - количество микросхем,

Кvt - количество транзисторов,

Кvd - количество диодов,

Кс - количество конденсаторов,

Кr - количество резисторов,

Ктр - количество высокочастотных трансформаторов,

Кинд- количество катушек индуктивности,

Ккр - количество контактов разъемов,

Ккп - количество контактов переключателей,

Кпр - количество проводов соединений,

Ка - количество антенн,

Кг - количество громкоговорителей,

3.3.2 Определим интенсивность отказов 1-го ФЭ. В общем случае интенсивность отказов для j-го ФЭ равна

,

где    lj - интенсивность отказов j-го функционального элемента,- количество видов радиокомпонентов в функциональном элементе,- номер радиокомпонента в таблицах 1 и 2 задания на курсовое проектирование,

li - интенсивность отказов радиокомпонента i-го вида,i,j - количество радиокомпонентов i-го вида в j-ом функциональном элементе,нi,j - средний коэффициент нагрузки радиокомпонента i-го вида в j-ом функциональном элементе.

Формулу для интенсивности отказов 1-го ФЭ запишем в виде

=

=l1×K1,1×Кн1,1+l2×K2,1×Кн2,1+l3 ×K3,1 ×Кн3,1+ l4 ×K4,1 ×Кн4,1+

+l5 ×K5,1 ×Кн5,1+ l6 ×K6,1 ×Кн6,1+l7 ×K7,1 ×Кн7,1+ l8 ×K8,1 ×Кн8,1+

+l9 ×K9,1 ×Кн9,1+ l10 ×K10,1 ×Кн10,1+l11 ×K11,1 ×Кн11,1+ l12 ×K12,1 ×Кн12,1+

+l13 ×K13,1 ×Кн13,1+ l14 ×K14,1 ×Кн14,1=

=0.000000013*6*0.29+0.0000008*8*0.75+0.0000002*10*0.29+0.00000005*8*0.51+0.000000043*8*0.2+0.000000043*1*0.43+0.00000002*1*0.57+0.000000062*7*0.54+0.00000007*5*0.81+0.000000015*5*0.31+0.00000036*1*0.1+0.0000007*1*0.5+0.00000001*189*1=0.000008523 1/час.

3.3.3 Определим вероятность безотказной работы 1-го ФЭ

(t)=exp(-l1×T)=

=exp(-0.000008522×100000)=0.426

где    Pj(t) - вероятность безотказной работы j-го ФЭ,

Т - время, за которое определяется P(t). Согласно условию задачи время Т равно 100000 часов.

3.3.4 Определим вспомогательный параметр А для 1-го ФЭ

=(1-P1(t))/P1(t)=

=(1-0.426)/0.426=1.347

3.4 Расчет параметров надежности 2-го ФЭ

.4.1 Определим количество паек в 2-ом ФЭ

Кп=Кмс×14+Кvt×3+Kvd×2+Kc×2+Kr×2+Ктр×4+

+Кинд×2+Ккр+Ккп+Кпр×2+Ка+Кг×2=

=3*14+8*3+6*2+5*2+6*2+1*4+6*2+4+8+2*2=132

3.4.2 Определим интенсивность отказов 2-го ФЭ

=

=l1×K1,2×Кн1,2+l2×K2,2×Кн2,2+l3 ×K3,2 ×Кн3,2+ l4 ×K4,2 ×Кн4,2+