частота
вращения червяка
-
1;
частота
вращения червячного колеса
-
1;
Скорость скольжения v, м/с рассчитывается по формуле из таблицы 4.1, [2]:
,
(2.1)

Принимаем
материал зубчатого венца: Бр010Н1Ф1,

.
Начальные
допускаемы контактные напряжения
,МПа
при H1>45
HRC
.
Максимально
возможные допускаемые контактные
напряжения
,МПа
рассчитывается по формуле из таблицы
4.1, [2]:
(2.2)

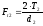
Расчётный
срок службы
,ч
рассчитаем по формуле:
,
(2.3)
где
– количество
лет службы привода (
лет, задано по условию задачи);
-
количество недель в году (
);
– количество
рабочих дней в неделю (принимаем
);
– количество
рабочих смен в день(принимаем
);
– количество
часов в смену (принимаем
);

Коэффициент
режима работы
Эквивалентное число циклов нагружения
рассчитаем по формуле:
(2.3)

Коэффициент
долговечности
рассчитаем по
формуле:
(2.4)

Коэффициент,
учитывающий скорость скольжения
выбираем по таблице А.11 [1, страница 223]
в зависимости от скорости
скольжения

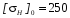
Допускаемые
контактные напряжения
МПа
рассчитываем по формуле:
(2.5)

Начальные
допускаемые напряжения изгиба
,
МПа рассчитываем по формуле:
(2.6)

Максимально
возможные допускаемые напряжения изгиба
,
МПа рассчитываем по формуле:
,
(2.7)

Коэффициент
режима работы принимаем равным
[2,
A10].
Эквивалентное
число циклов нагружения
,
рассчитываем по
формуле:
,
(2.8)

Коэффициент
долговечности
,
рассчитываем по формуле:
,
(2.9)

Допускаемые
напряжения изгиба
,
МПа рассчитываем по формуле:
,
(2.10)

Исходные данные:
передаточное отношение u=8.5
крутящий
момент на валу червячного колеса
Н·м;
допускаемые
контактные напряжения
,
МПа.
число заходов червяка z1, принимаем в зависимости от передаточного отношения u: z1 = 4.
Число зубьев червячного колеса z2, рассчитываем по формуле:
z2 = z1· u, (2.11)
z2 = 4· 8.5=34
Коэффициент диаметра червяка q, выбираем по ГОСТ 2144-93, q=10.
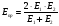
Модуль упругости для червяка Е1, Па и червячного колеса Е2, Па принимаем равными: Е1=2.1·1011Па, Е2=0.9·1011Па.[2, таблице 4.2]
Приведенный модуль упругости Епр, Па рассчитываем по формуле:
,
(2.12)

Межосевое
расстояние
,
м рассчитываем по формуле:
,
(2.13)

Модуль m, рассчитываем по формуле:
,
(2.14)

Принимаем m=10 [2, А12].
Коэффициент смещения x, рассчитываем по формуле:
,
(2.15)

Делительный диаметр червяка d1, мм рассчитываем по формуле:
,
(2.16)

Делительный диаметр червячного колеса d2, мм. Рассчитываем по формуле:
,
(2.17)

Диаметр вершин червяка da1,мм. рассчитываем по формуле:
,
(2.18)

Диаметр вершин червячного колеса da2, мм. Рассчитываем по формуле:
,
(2.19)

Диаметр впадин червяка df1, мм. Рассчитываем по формуле:
,
(2.20)

Диаметр впадин червячного колеса df2, мм. Рассчитываем по формуле:
,
(2.21)

Диаметр внешнего цилиндра червячного колеса dae2, мм. рассчитываем по формуле:
,
(2.22)

Длину нарезанной части червяка b1, мм рассчитываем по формуле:
,
(2.23)

Ширину червячного колеса b2, мм. рассчитываем по формуле:
,
(2.24)

Угол
подъёма винтовой линии червяка
,
рассчитываем по формуле:
,
(2.25)

напряжениям
Исходные данные:
Коэффициент распределения нагрузки между зубьями KH =1,1;
Угол
обхвата червяка колесом
= 50º = 0,8727 рад.
Угол
профиля
=
20º;
Коэффициент,
учитывающий уменьшение длины контактной
линии
= 0.75.
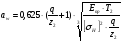
Коэффициент
торцового перекрытия
,
рассчитываем по формуле:
,
(3.1)

Контактные
напряжения
,
МПа рассчитываем по формуле:
,
(3.2)
Перегрузку
,%
определяем по формуле:
,
(3.3)

Условие прочности выполняется.
Эквивалентное число зубьев zv, рассчитываем по формуле:
,
(3.4)

Коэффициент
формы зуба для шестерни и колеса
принимаем
равным
=
1.4 [2, А13].
Нормальный модуль mn, рассчитываем по формуле:
,
(3.5)

Коэффициент
расчётной нагрузки принимаем равным
.
Окружное усилие на червячном колесе Ft2, Н. рассчитываем по формуле:
,
(3.6)

Напряжения
изгиба
,
МПа рассчитываем по формуле: