Каркас состоит из основания 10 и двух стоек (левой 2 и правой 8) и предназначен для установки и сборки всех сборочных единиц. В верхней части каркаса крепится держатель 11, который состоит из промежуточного каркаса, кронштейна и крышки 12. На крышке имеются воронки для загрузки муки и два патрубка для подачи жидких компонентов в дежу 13.
Стационарная дежа машины представляет собой сварной резервуар с полуцилиндрическим дном, выполненный из нержавеющей стали. К боковинам дежи крепятся левая 5 и правая 6 опоры, которые, в свою очередь, устанавливаются на верхних площадках стоек. Опоры представляют собой подшипник скольжения, к которому прикреплена поворотная звездочка. Внутри подшипника проходит шлицевый вал, на котором устанавливается приводная звездочка и закрепляется рабочий орган. В процессе замеса рабочий орган, состоящий из двух двуплечих крестовин и соединяющей их штанги, вращается и заставляет перемещаться перерабатываемую массу внутри дежи в разных направлениях, что позволяет получить однородную смесь с достаточной ее проработкой.
Привод крестовин рабочего органа дифференцированный и осуществляется от трехскоростного электродвигателя 16 через клиноременную передачу, цилиндрический редуктор и цепную передачу 3.
Для выгрузки готового теста дежа 13 с помощью привода 4 поворачивается вокруг горизонтальной оси на угол 120°. Для защиты привода от динамических нагрузок, возникающих в процессе замеса, месильная емкость закрепляется строго в вертикальном положении фиксатором 14.
Управление работой машины осуществляется с отдельно стоя-щего щита управления 15 и блока управления 7, встроенного в правую стойку корпуса машины. На панели шкафа щита управления монтируется блок реле времени, позволяющий программировать время замеса. Максимально возможное время замеса – 12 минут.
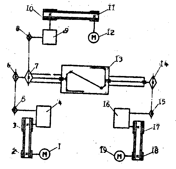
Кинематическая принципиальная схема тестомесильной машины РЗ-ХТИ-3 представлена на рис.12.

Рис. 12. Кинематическая принципиальная схема тестомесильной машины РЗ-ХТИ-3:
1, 12, 19 – электродвигатели; 2, 3, 10, 11, 17, 18 – шкивы клиноременных передач; 4, 9, 16 – редукторы; 5, 6, 7, 8, 14, 15 – звездочки; 13 – рабочий орган
Тестомесильная машина Т2-М-63 со стационарной, неподвижной при замесе дежой предназначена для замеса теста крепкой консис-тенции (бараночного) и для мучных кондитерских изделий. Применяется на предприятиях хлебопекарной и кондитерской промышленности.
Машина (рис. 13) состоит из станины 1, стационарной дежи 2, переднего 3 и заднего 4 валов с месильными лопастями, крышки 5 с загрузочным окном, механизма 6 поворота дежи, приводного устройства 7 и двух электродвигателей.

Рис. 13. Общий вид тестомесильной машины Т2-М-63: 1 – станина; 2 – стационарная дежа; 3 – передний вал; 4 – задний вал; 5 – крышка; 6 – механизм поворота дежи; 7 – приводное устройство; 8, 9 – ограждения; 10 – горловина
Опасные места закрыты ограждениями 8, 9. Все электрооборудование смонтировано в специальном шкафу.
Передний и задний валы устанавливаются в рабочее положение через большие отверстия в деже, закрытые корпусами подшипников. Корыто крепится к станине посредством корпусов подшипников переднего вала и четырех болтов.
Месильные лопасти располагаются параллельно в горизонтальной плоскости.
Подача муки и жидких компонентов производится через горловину 10 при вращающихся месильных лопастях. Машина работает по принципу натирания массы между двумя вращающимися лопастями и стенками дежи. После окончания замеса выключается электродвигатель привода лопастей и включается электродвигатель механизма поворота дежи.
Выгрузка теста осуществляется через разгрузочный люк, закрываемый откидной крышкой.
Кинематическая принципиальная схема тестомесильной машины Т2-М-63 представлена на рис. 14.

Рис. 14. Кинематическая принципиальная схема тестомесильной машины Т2-М-63: 1 – механизм опрокидывания дежи; 2 – рабочие органы; 3, 4, 9, 10 – шкивы клиноременных передач; 5 – электродвигатель привода механизма опрокидывания; 6 – дежа; 7, 11 – зубчатые колеса; 8 – электродвигатель привода лопастей
Техническая характеристика тестомесильных машин со стационарными дежами приведена в табл. 2.
Таблица 2
|
Показатель |
Тестомесильная машина |
||
|
ТММ-120 |
РЗ-ХТИ-3 |
Т2-М-63 |
|
|
Производительность, т/сут |
6 |
28 |
21 |
|
Вместимость дежи, м3 |
0,12 |
0,35 |
0,38 |
|
Число месильных валов |
1 |
1 |
2 |
|
Количество сырья на один замес, кг |
68 |
150 |
150 |
|
Частота вращения месильных валов, с–1 (об/мин) |
0,26 (15,5) |
1,1; 1,5; 2 (60, 90, 120) |
0,63 (38) |
|
Установленная мощность электродвигателя, кВт |
3,0 |
21,1 |
5,5 |
|
Габаритные размеры, мм: длина ширина высота |
1005 910 1432 |
1860 1440 1670 |
1400 850 1550 |
|
Масса машины, кг |
482 |
2300 |
720 |
Расчет тестомесильных машин периодического действия выполняется при создании новой конструкции либо при уточнении технических данных существующей машины, подвергшейся реконструкции с целью совершенствования ее рабочего процесса. При создании новой машины расчет начинается с обоснования выбора единичной мощности (производительности). Затем определяется вместимость дежи, далее производится расчет баланса энергозатрат, расчет мощности, требуемой для привода тестомесильной машины, подбор электродвигателя и редуктора. После этого выполняются прочностные расчеты, которые здесь не рассматриваются, так как порядок их выполнения является общим для всех машин. На основании расчета энергозатрат дается оценка мероприятий по совершенствованию рабочего процесса тестомесильной машины.
Производительность тестомесильной машины выбирается из расчета обеспечения тестом разделочных линий и печей в соответствии с параметрическими рядами технологического оборудования хлебозаводов. Для хлебопекарных печей параметрическим рядом установлены следующие рабочие площади пода: 10, 16, 25, 50, 60, 100 и 125 м2. Для обеспечения производительности указанного ряда необходимо иметь 2–3 типоразмера машин.
Производительность тестомесильной машины определяется по формуле, кг/ч,
(1)
где Пп – производительность печи по горячему хлебу, кг/ч; y – упек к горячему хлебу, %; К0 – коэффициент, учитывающий возможные остановки на регулировку и очистку, К0 = 1,2...1,3.
Затем определяется вместимость дежи по формуле, м3,
(2)
где τ – длительность замеса теста, с; τв – длительность вспомогательных операций, с; ρ – плотность теста, кг/м3; К1 – коэффициент заполнения месильной камеры, К1 = 0,4…0,5.
При выполнении проверочного расчета производительность тестомесильной машины по известной вместимости дежи определяют по формуле, кг/ч,
.
(3)
Далее составляется баланс энергозатрат на рабочий процесс
А = А1 + А2 + А3 + А4, (4)
где А1 – работа, затрачиваемая на перемешивание массы, Дж; А2 – ра-бота, затрачиваемая на перемещение месильных лопастей, Дж; А3 – работа, затрачиваемая на нагрев теста и соприкасающихся с ним металлических частей машины, Дж; А4 – работа, затрачиваемая на изменение структуры теста, Дж.
Конечные формулы для определения слагаемых уравнения (4)
(5)
(6)
(7)
Определить работу А4 весьма затруднительно. В первом приближении ее можно вычислить из баланса энергии замеса в эксперименте. Поскольку структурные изменения в тесте зависят от интенсивности замеса, А4 приближенно можно определить так
А4 = (0,05...0,10) А1. (8)
Значения величин, входящих в формулы (5)–(7):
r1, r2 – малый и большой радиусы месильной лопасти, м;
а – число месильных лопастей;
b – высота месильной лопасти, м;
– толщина месильной лопасти, м;
– угол атаки месильной лопасти, град.;
h – вертикальная проекция месильной лопасти, м;
Ѕ – шаг месильных лопастей, м;
n – частота вращения месильной лопасти, с–1;
μ – средняя вязкость теста, Пас;
f – зазор между торцом месильной лопасти и корпусом, м;
l – зазор между нижней кромкой месильной лопасти и корпусом, м;
К – коэффициент подачи теста, равный 0,5;
ρ л – плотность материала месильной лопасти, кг/м 3;
ρ – плотность теста, кг/м 3.
Далее определяется мощность электродвигателя привода тестомесильной машины по формуле, Вт,
(9)
где η1 – КПД основных механизмов тестомесильной машины; η2 – КПД промежуточных механизмов привода (вариатора, редуктора), при их отсутствии η2 = 1.
В зависимости от величины Nэ по каталогу подбирается приводной электродвигатель. Допускать увеличение мощности свыше 20 % по сравнению с расчетной не следует, так как при этом значительно снижается КПД электродвигателя.
Одним из основных показателей качества замеса теста является удельная работа замеса, определяемая по формулам, Дж/г,
(10)
или
(11)
где mт – масса замешиваемого теста, г.