Таблица 1.3
|
|
Последняя цифра номера зачетной книжки |
|||||||||
|
0 |
1 |
2 |
3 |
4 |
5 |
6 |
7 |
8 |
9 |
|
|
A |
0,139 |
0,149 |
0,148 |
0,138 |
0,129 |
0,128 |
0,127 |
0,147 |
0,146 |
0,145 |
Таблица 1.4
|
|
Предпоследняя цифра номера зачетной книжки |
|||||||||
|
0 |
1 |
2 |
3 |
4 |
5 |
6 |
7 |
8 |
9 |
|
|
B |
0,839 |
0,749 |
0,848 |
0,838 |
0,929 |
0,928 |
0,927 |
0,947 |
0,946 |
0,945 |
2.1. Для исследования износа шейки коленчатого вала провели n замеров (табл. 2.1) его диаметра микрометром 1-го класса точности, имеющим Δ = ±4 мкм. Массив результатов измерений диаметра в миллиметрах приведен в табл. 2.2. Обработать результаты этих много-кратных измерений в соответствии с рекомендациями ГОСТ 8.207–76 и представить результаты измерений в форме D = B ± Δ, p = 0,95.
Таблица 2.1
|
|
Третья от конца цифра номера зачетной книжки |
|||||||||
|
0 |
1 |
2 |
3 |
4 |
5 |
6 |
7 |
8 |
9 |
|
|
n |
15 |
17 |
19 |
20 |
||||||
Пояснения и рекомендации к задаче 2.1
1. Из общего массива данных, приведенных в табл. 2.2, каждый студент находит свой вариант результатов наблюдений следующим образом: находит первое число на пересечении строки и столбца таблицы, соответствующих последней и предпоследней цифрам зачетной книжки, а последующие цифры выборки объема n берет, переходя к следующим столбцам этой строки с переходом на последующие строки. Например: номер зачетной книжки 3488, выборка объема n = 17 будет состоять из следующих результатов измерений: 56,586; 56,588; 56,590; 56,607; 56,590; 56,593; 56,588; 56,597; 56,602; 56,592; 56,598; 56,597; (далее переход на строку “0”) 56,601; 56,593; 56,597; 56,603; 56,597.
Таблица 2.2
|
Последняя цифра зачетной книжки |
|
||||||||||
|
9 |
8 |
7 |
6 |
5 |
4 |
3 |
2 |
1 |
0 |
||
|
56,580 |
56,586 |
56,587 |
56,593 |
56,586 |
56,576 |
56,592 |
56,587 |
56,582 |
56,588 |
0 |
Предпоследняя цифра зачетной книжки |
|
56,601 |
56,585 |
56,608 |
56,592 |
56,588 |
56,587 |
56,597 |
56,608 |
56,578 |
56,562 |
1 |
|
|
56,557 |
56,577 |
56,593 |
56,588 |
56,597 |
56,581 |
56,589 |
56,593 |
56,606 |
56,592 |
2 |
|
|
56,556 |
56,609 |
56,602 |
56,612 |
56,555 |
56,602 |
56,541 |
56,602 |
56,555 |
56,628 |
3 |
|
|
56,596 |
56,591 |
56,588 |
56,505 |
56,592 |
56,556 |
56,601 |
56,588 |
56,546 |
56,606 |
4 |
|
|
56,555 |
56,580 |
56,6077 |
56,602 |
56,617 |
56,558 |
56,597 |
56,607 |
56,608 |
56,555 |
5 |
|
|
56,591 |
56,588 |
56,605 |
56,555 |
56,588 |
56,596 |
56,558 |
56,605 |
56,591 |
56,596 |
6 |
|
|
56,579 |
56,606 |
56,597 |
56,602 |
56,582 |
56,554 |
56,607 |
56,597 |
56,562 |
56,608 |
7 |
|
|
56,606 |
56,586 |
56,588 |
56,590 |
56,607 |
56,590 |
56,593 |
56,588 |
56,597 |
56,602 |
8 |
|
|
56,592 |
56,598 |
56,597 |
56,601 |
56,593 |
56,597 |
56,603 |
56,597 |
56,603 |
56,577 |
9 |
|
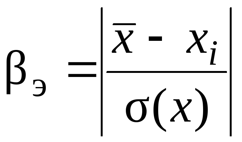
2. Для
проверки грубых промахов необходимо
воспользоваться критерием Романовского,
суть которого состоит в сравнении
экспериментального значения величины
с теоретическим значением βт,
приведенным в табл. 2.3: n
– объем выборки; α – уровень значимости,
численно равный вероятности совершить
ошибку первого рода, т. е. правильную
гипотезу забраковать (обычно принимают
α = 0,01÷0,05,
или от 1 до 5 %). Если βэ
≥
βт
при
α = 1 %, то сом-нительный
результат
xi
отбрасывают; если βэ
βт
при α = 5 %, то xi
принадлежит
рассматриваемому множеству, т. е. не
отбрасывается. В
промежуточных вариантах результат
считается сомнительным (из дальнейшего
расчета не исключается).
Таблица 2.3
|
Уровень значимос-ти α, % |
βт |
|||||||
|
n = 4 |
n = 6 |
n = 10 |
n = 12 |
n = 15 |
n = 17 |
n = 19 |
n = 20 |
|
|
1 |
1,73 |
2,16 |
2,62 |
2,75 |
2,9 |
2,97 |
3,04 |
3,05 |
|
2 |
1,72 |
2,13 |
2,54 |
2,66 |
2,80 |
2,86 |
2,93 |
2,96 |
|
5 |
1,71 |
2,10 |
2,41 |
2,52 |
2,64 |
2,71 |
2,76 |
2,78 |
3. Если систематическую погрешность не удалось исключить, а погрешность прибора, указанная в паспорте, не разделена на систематическую и случайную составляющие, например Δ = ±23 мг, то границу систематической составляющей погрешности результата из-мерения принимают равной ±Δ.
4. Нормальность закона распределения результатов измерений диаметра вала можно проверить, используя правило трех сигм.
2.2. Проведено
n
измерений напряжения электрической
цепи и найдены
значения
= 18,56 В,
(и) = 0,33 В;
закон распределения случайной погрешности
– нормальный. Систематическая погрешность
исключена до начала измерений. Найти
границы доверительного
интервала с вероятностью γ = 0,95.
Число измерений n
и значение коэффициента
распределения Стьюдента приведены в
табл. 2.4.
Таблица 2.4
|
|
Последняя цифра зачетной книжки |
|||||||||
|
0 |
1 |
2 |
3 |
4 |
5 |
6 |
7 |
8 |
9 |
|
|
n |
4 |
5 |
6 |
7 |
10 |
15 |
17 |
19 |
20 |
25 |
|
tγ |
3,182 |
2,776 |
2,571 |
2,447 |
2,662 |
2,145 |
2,120 |
2,10 |
2,093 |
2,064 |
2.3. Сколько измерений необходимо сделать с помощью прибора, имеющего случайную погрешность (х) = k, чтобы при доверительной вероятности = с границы доверительного интервала не превышали = ±0,1 мм. Значения k и с приведены в табл. 2.5 и 2.6.
Таблица 2.5
|
|
Последняя цифра зачетной книжки |
|||||||||
|
0 |
1 |
2 |
3 |
4 |
5 |
6 |
7 |
8 |
9 |
|
|
k, мм |
0,45 |
0,39 |
0,41 |
0,38 |
0,35 |
0,46 |
0,48 |
0,43 |
0,37 |
0,36 |
Таблица 2.6
|
|
Предпоследняя цифра зачетной книжки |
|||||||||
|
0 |
1 |
2 |
3 |
4 |
5 |
6 |
7 |
8 |
9 |
|
|
= с |
0,90 |
0,918 |
0,92 |
0,94 |
0,95 |
0,96 |
0,972 |
0,978 |
0,984 |
0,99 |
В табл. 2.7 приведен фрагмент значений функции Лапласа Ф(t); в табл. 2.8 – фрагмент таблицы коэффициента t распределения Стьюдента.
Таблица 2.7
|
Ф(t) |
0,450 |
0,459 |
0,460 |
0,470 |
0,475 |
0,480 |
0,486 |
0,489 |
0,492 |
0,495 |
|
t |
1,65 |
1,74 |
1,75 |
1,88 |
1,96 |
2,06 |
2,20 |
2,30 |
2,40 |
2,58 |
Таблица 2.8
|
Число измерений |
Доверительная вероятность |
||||
|
0,80 |
0,90 |
0,95 |
0,98 |
0,99 |
|
|
5 |
1,53 |
2,13 |
2,78 |
3,75 |
4,60 |
|
7 |
1,44 |
1,96 |
2,45 |
3,14 |
3,71 |
|
10 |
1,38 |
1,83 |
2,26 |
2,82 |
3,25 |
|
20 |
1,33 |
1,73 |
2,09 |
2,53 |
2,85 |