Материал: Д5760 Усачев ЮА Домашние задания по Метрологии стандартизации сертификации Метод указ все спец

Внимание! Если размещение файла нарушает Ваши авторские права, то обязательно сообщите нам

пр  пр Р, Вт. (4)

Если погрешность одного из сомножителей задана в абсолютной форме, а другого – в относительной, то их необходимо привести к одной форме и затем воспользоваться формулами (1), (2) или (3), (4).

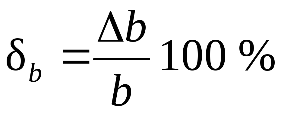
5. Предельная относительная погрешность частного не будет превышать суммы относительных погрешностей числителя и знаменателя. Например, если измеряемая величина а = b/c и значения b и с определены в процентах (, ), то предельную относительную погрешность а в процентах находят по формуле

na  (b + c), %. (5)

Предельную абсолютную погрешность определяют по формуле

(6)

(если i представлены в относительной форме – см. п. 4б).

6. Предельная абсолютная погрешность na разности приближенных чисел a = b – c не будет превышать суммы предельных погрешностей уменьшаемого и вычитаемого:

na  (nb + nс).

Предельная относительная погрешность разности

.

7. Округление погрешности, с которой получен результат измерения, производится до одной значащей (верной) цифры, если эти цифры 4, 5, 6, 7, 8, 9, и до двух значащих цифр, если первая цифра 1, 2 или 3.

Округление значения результата измерения (или расчета) необходимо производить после того, как произведено округление погрешности результата измерения. При этом наименьший разряд результата измерения должен соответствовать наименьшему разряду погрешности, с которой этот результат получен.

Примеры:

Неокругленное значение результата измерения

Неокругленное значение погрешности измерения

Округленное значение погрешности измерения

Округленное значение результата измерения

243,357 мм

4,26 мм

4 мм

243 мм

542,68 мм

7,87 мм

8 мм

543 мм

37,84 В

0,67 В

0,7 В

37,8 В

62,259 В

0,348 В

0,35 В

62,26 В

41,288 мА

0,0273 мА

0,027 мА

41,288 мА

1243,34 см3

452 см3

5·102 см3

12·102 см3

2456,44 м

65,2 м

7·10 м

246·10 м

8. При округлении погрешностей промежуточных результатов расчета рекомендуется сохранять на одну-две значащие цифры больше, чем при округлении результирующей погрешности измерений.

Приложение 2

Основные формулы, пояснения и примеры к Д3 № 2

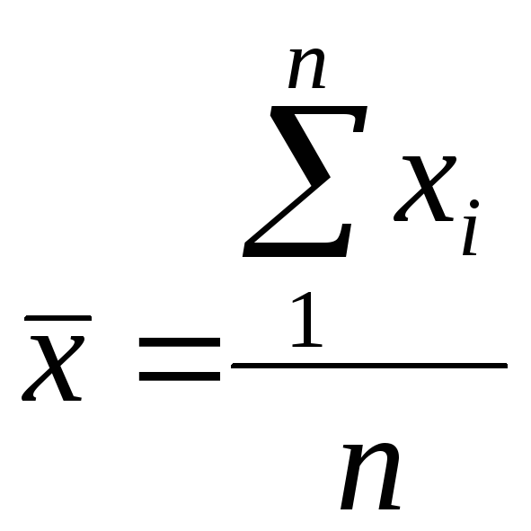
1. За результат многократных измерений принимается среднее арифметическое значение из n наблюдений (промежуточных измерений) измеряемой величины:

,

где хii-й результат наблюдения.

2. Исправленное значение результата многократных измерений

= + q1 + q2 + …,

где qi = –ci – поправка, учитывающая действия i-го влияющего фактора, здесь ci – систематическая погрешность, вносимая действием i-го влияющего фактора.

Значения ci могут быть получены в результате специально проведенного для этих целей эксперимента (например, построения графика поправок) или найдены расчетным путем. После исключения ci остается неисключенный остаток систематической погрешности θ = k, где θi – неисключенный остаток i-й систематической погрешности, который равен погрешности того образцового СИ, с помощью которого было найдено значение ci. Если поправка на систематическую погрешность не вводилась и систематическая погрешность не исключалась в процессе измерений или до их начала, то за θ принимают основную погрешность СИ, т. е. θ = .

3. Среднее квадратичное отклонение (СКО) единичных наблюдений, встречающихся при многократных измерениях одного и того же значения измеряемой величины, находят по формуле

,

где S(x) – количественная оценка случайной составляющей погрешности средства измерений (метода измерений).

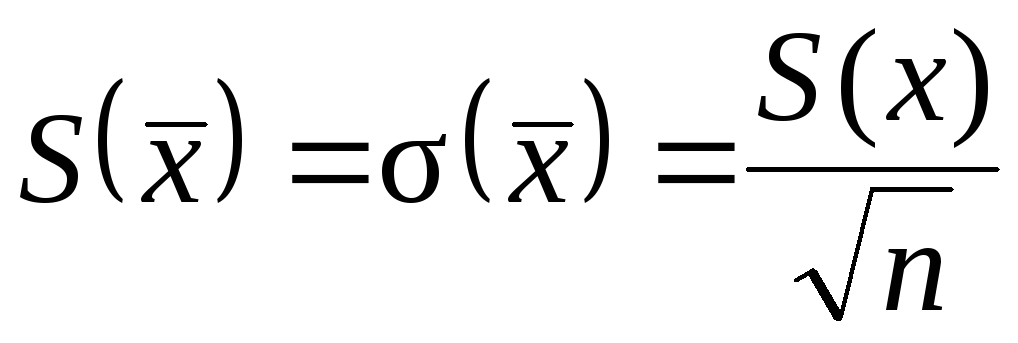
4. Среднее квадратичное отклонение результата многократных измерений

;

где S() – точечная количественная оценка случайной составляющей погрешности результата многократных измерений ; n – объем выборки (число наблюдений).

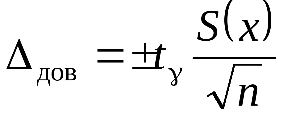
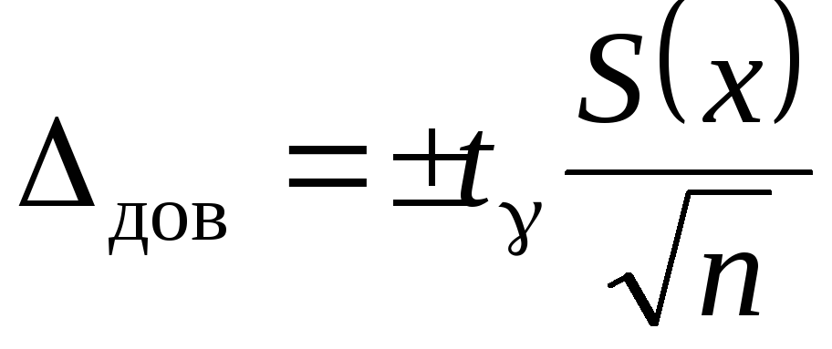
5. Интервальную оценку случайной составляющей погрешности находят в форме границ доверительного интервала дов, которые вычисляют по формуле

,

если S(х) прибора (метода) определяют по результатам обработки n-го количества экспериментальных данных, коэффициент t находят по таблице распределения Стьюдента в зависимости от заданной надежности γ (доверительной вероятности) и объема выборки n (или степени свободы f = n – 1);

,

если значение S(х) было найдено ранее (до эксперимента), коэффициент t находят по таблице значений функции Лапласа Ф(t) в зависимости от заданной надежности γ. Например, если γ = 0,95, то Ф(t) = γ/2 = 0,475. Этому значению Ф(t) соответствует t = 1,96 (см. табл. 2.7).

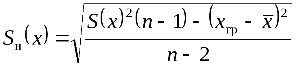
6. Если проверка грубых погрешностей (промахов) выявила таковые, они должны быть исключены из выборки; после этого необходимо заново найти значения , S(х). Для этого не обязательно заново производить весь расчет, можно найти новое значение по формуле

,

где – новое среднее значение измеряемой величины; – старое среднее значение; хгр – результат признанный грубым промахом; n – прежний объем выборки;

,

где – новое значение СКО; S(х) – старое значение СКО.

7. После того как найдены значения систематической (θ или си) и случайной (S() и границы доверительного интервала) составляющих погрешности результата многократных измерений, необходимо проверить два неравенства:

< 0,8; > 8.

Если удовлетворяется первое неравенство, то пренебрегают систематической составляющей погрешности и за погрешность результата принимают случайную составляющую погрешности – доверительный интервал , накрывающий истинное значение с вероятностью .

Если удовлетворяется второе неравенство, пренебрегают случайной составляющей погрешности и за погрешность результата принимают систематическую составляющую – θ (или си).

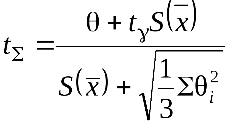
Если не удовлетворяется ни одно из двух неравенств, то погрешность результата находят по эмпирической формуле, учитывающей систематическую и случайную составляющие погрешности:

;

.

На этом обработка результатов многократных измерений заканчивается.

8. При известной случайной погрешности прибора (х), заданных границах дов и надежности γ доверительного интервала можно найти необходимое число измерений n. Преобразуя известное выражение

,

найдем

,

где t – коэффициент, зависящий от заданной вероятности γ (см. п. 5).

9. Если по результатам n измерений найдены: оценка результата измерений , S(x), S() и заданы границы доверительного интервала дов, то можно найти доверительную вероятность, соответствующую этому доверительному интервалу. Например, по результатам семи измерений (n = 7) массы исследуемой пробы найдены =12,37 г; S(x) = 0,26 г; S() = 0,098 г. Найти, с какой вероятностью γ доверительный интервал с границами дов = 0,235 г накроет истинное значение измеряемой величины. Решение:

1) из выражения находим ;

2) по табл. 2.8 распределения Стьюдента находим, что этому значению tγ соответствует γ, находящееся в интервале 0,90–0,95. Интерполируя, находим:

; ;

; ;

.

Ответ: интервал дов = 0,235 г накроет истинное значение с вероятностью 94,4 %.

Приложение 3

Основные формулы, пояснения и примеры к Д3 № 3

1. При решении задач по вычислению погрешностей косвенных измерений необходимо знать формулу, связывающую косвенно измеряемую величину z с величинами, измеряемыми прямыми методами. Например, производительность насоса Q можно найти, измерив объем V, который будет наполнен за время :

Q = V/.

Погрешность любой косвенно измеряемой величины при технических измерениях, когда известны только предельные погрешности результатов прямых измерений хi (при некоррелированных хi), вычисляют по формуле

.

Для нашего примера

.

2. При решении задач на условные обозначения классов точности на шкале прибора необходимо знать, что означает этот знак. Например:

а) 2,5 означает, что для этого прибора основная погрешность задана в виде приведенной погрешности γ, и она равна 2,5 % в любой точке шкалы прибора. Зная, что , можно найти , где  – значение абсолютной погрешности прибора; хN – нормированная величина, равная размаху шкалы прибора в единицах измеряемой величины. Например, для прибора со шкалой –30…+100 °С

°С  3,2 °С;

б) означает, что для этого прибора основная погрешность задана в виде относительной погрешности , которая равна 1,5 % в любой точке шкалы этого прибора. По аналогии с предыдущим случаем , где хд – действительное значение измеряемой величины (показание прибора). Например, для прибора со шкалой 0–5 МПа на отметке шкалы 4 МПа

;

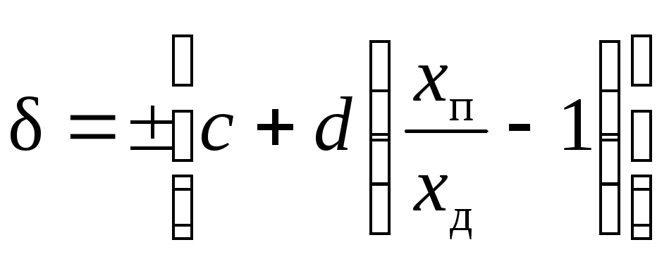
в) 0,1/0,05 означает, что для этого прибора допустимая погрешность в каждой точке шкалы различна, и она определяется по формуле

, %,

где xп – предельное значение шкалы прибора; xд – показание прибора; с и d – числитель и знаменатель условного обозначения класса точности.

Например, для вольтметра со шкалой 0–1000 В на отметке 500 В

, % = 0,15 %;

.

3. При решении вопроса о пригодности прибора, имеющего предельно допустимую погрешность си (или си), для измерения с погрешностью результата, не превышающей доп (или доп), необходимо, чтобы удовлетворялись неравенства

си  доп, (1)

если известны абсолютные погрешности;

си  доп, (2)

если известны относительные погрешности.

Если погрешности прибора и результата измерений заданы в различной форме (си и доп или си и доп), то необходимо обе величины привести к одному виду ( или , безразлично к какому) и проверить одно из неравенств – 1 или 2.

Например: пригоден ли прибор с диапазоном измерения 0–150 В класса точности для измерения напряжения в диапазоне 100–130 В с погрешностью доп  1,5 В.