Как можно заметить, многие уязвимости присущи любым устройствам, однако не стоит волноваться по этому поводу. На это есть 2 причины:
первая - радиус действия Вluetooth слишком мал, соответственно для атаки необходимо быть в зоне прямой видимости;
вторая - все устройства позволяют включить защиту Вluetooth или по крайней мере стать «невидимым» для остальных.
Проведен обзор технологии сотовой подвижной связи GSM. Определена структура СПС и рассмотрены механизмы информационной безопасности, реализованные в стандарте GSM. Проведен анализ реализованных механизмов ИБ и представлен прогноз перспектив развития механизмов обеспечения ИБ в сетях 3G. Проведен анализ существующих угроз ИБ и уязвимостей в сетях СПС.
По результатам проведенного анализа можно сделать вывод, что сети СПС технологии GSM представляют собой интегрированную структуру и включают в себя механизмы обеспечения ИБ абонентов сети. При этом, как было отмечено, технологии связи, применяемые в сетях СПС, продолжают развиваться, в том числе и механизмы обеспечения ИБ. Однако, как показал анализ угроз и уязвимостей сетей СПС GSM, их безопасность может быть нарушена.
В целом реализация атак на GSM требует огромных денежных средств. Определяется количеством от нескольких сотен тысяч долларов до миллионов, необходим широкий штат сотрудников, поддержка силовых структур. Если же у нарушителя будет стоять задача на некоторое время заглушить мобильную связь в определенном месте, будь то здание, офисное помещение, особого труда и денежных затрат такая операция не потребует. Оборудование на такую операцию стоит от нескольких сотен долларов до пару тысяч.
Все эксперты в области
защиты информации сходятся во мнении, что разработка мер безопасности для
широко используемых систем втайне от общественности -
это в корне порочный путь. Единственный способ гарантировать надежную
безопасность - это дать возможность проанализировать систему всему сообществу
специалистов.
2. ПРОПУСКНАЯ
СПОСОБНОСТЬ БЕЗПРОВОДНЫХ СЕТЕЙ
Скорость беспроводной сети зависит от нескольких факторов.
Производительность беспроводных локальных сетей определяется тем, какой стандарт Wi-Fi они поддерживают. Максимальную пропускную способность могут предложить сети, поддерживающие стандарт 802.11n - до 600 Мбит/сек (при использовании MIMO). Пропускная способность сетей, поддерживающих стандарт 802.11a или 802.11g, может составить до 54 Мбит/сек. (Сравните со стандартными проводными сетями Ethernet, пропускная способность которых составляет 100 или 1000 Мбит/сек.)
На практике, даже при максимально возможном уровне сигнала производительность Wi-Fi сетей никогда не достигает указанного выше теоретического максимума. Например, скорость сетей, поддерживающих стандарт 802.11b, обычно составляет не более 50% их теоретического максимума, т. е. приблизительно 5.5 Мбит/сек. Соответственно, скорость сетей, поддерживающих стандарт 802.11a или 802.11g, обычно составляет не более 20 Мбит/сек. Причинами несоответствия теории и практики являются избыточность кодирования протокола, помехи в сигнале, а также изменение расстояния Хемминга с изменением расстояния между приемником и передатчиком. Кроме того, чем больше устройств в сети одновременно участвуют в обмене данными, тем пропорционально ниже пропускная способность сети в расчёте на каждое устройство, что естественным образом ограничивает количество устройств, которое имеет смысл подключать к одной точке доступа или роутеру (другое ограничение может быть вызвано особенностями работы встроенного DHCP-сервера, у устройств из нашего ассортимента итоговая цифра находилась в диапазоне от 26 до 255 устройств).
Ряд производителей выпустили устройства, с поддержкой фирменных расширений протоколов 802.11b и 802.11g, с теоретической максимальной скоростью работы 22Мбит/сек и 108Мбит/сек соответственно, однако радикальной прибавки в скорости по сравнению с работой на стандартных протоколах в данный момент от них не наблюдается.
Кроме того, скорость работы любой пары устройств существенно падает с уменьшением уровня сигнала, поэтому зачастую наиболее эффективным средством поднятия скорости для удалённых устройств является применение антенн с большим коэффициентом усиления.
Эфир - и, соответственно, радиоканал - в качестве среды передачи существует лишь в единственном экземпляре и ведет себя так же, как раньше концентратор в сети Ethernet: при попытке передачи данных несколькими сторонами одновременно сигналы мешают друг другу. Поэтому стандартами WLAN предусматривается, что перед передачей станция проверяет, свободна ли среда. Однако это отнюдь не исключает ситуацию, когда две станции одновременно идентифицируют среду как свободную и начинают передачу. В «разделяемом» Ethernet соответствующий эффект называется коллизией.
В проводной сети
отправители могут распознать коллизии уже в процессе передачи, прервать ее и
повторить попытку после случайного интервала времени. Однако в радиосети таких
мер недостаточно. Поэтому 802.11 вводит «пакет подтверждения» (ACK), который
получатель передает обратно отправителю; на эту процедуру отводится
дополнительное время ожидания. Если сложить все предусмотренные протоколом
периоды ожидания - короткие межкадровые интервалы (Short Inter Frame Space, ) и
распределенные межкадровые интервалы функции распределенной координации
(Distributed Coordination Function Inter Frame Space, DIFS) для беспроводной
сети стандарта 802.11а, то накладные расходы составляют 50 мкс на пакет (см.
Рисунок 1).
Рисунок 1. Если станция
WLAN собирается начать передачу и находит среду занятой, то ей придется
подождать некоторое время. Доступ к среде регулируется при помощи «межкадровых
интервалов» разной длины (DIFS и SIFS)
Помимо этого, при вычислении издержек следует учесть, что каждый пакет данных содержит не только полезные данные, но и необходимые заголовки для многих протокольных уровней (см. Рисунок 2). В случае пакета длиной 1500 байт, передаваемого по стандарту 802.11 со скоростью 54 Мбит/с, появляются «лишние» 64 байт с издержками в 20 мкс. Пакет АСК обрабатывается физическим уровнем так же, как и пакет данных, в нем отсутствуют лишь части от порядкового номера до контрольной суммы. Вдобавок заголовок укорочен, поэтому для пакета АСК необходимо всего 24 мкс.
В общей сложности передача 1500 байт полезной нагрузки со скоростью 54 Мбит/с занимает 325 мкс, поэтому фактическая скорость передачи составляет 37 Мбит/с.
С учетом издержек на ТСР/IP (еще 40 байт на пакет, пакеты подтверждения TCP) и повторов из-за сбоев в передаче достигаемая на практике скорость будет равна 25 Мбит/с - такое же соотношение значений номинальной/фактической скоростей получается и при использовании 802.11b (от 5 до 6 при 11 Мбит/с).
Для 802.11g, наследника
11b, принцип работы которого мало чем отличается от 802.11а, требование
обратной совместимости с IEEE 802.11b может привести к тому, что скорость
передачи окажется еще меньше. Проблема возникает, когда в диалог двух станций
11g может вмешаться карта 802.11b: последняя не способна распознать, что среда
в данный момент занята, поскольку в 802.11g используется отличный от 11b метод
модуляции.
3. АЛГОРИТМЫ В БЕЗПРОВОДНЫХ СЕТЯХ
беспроводная сеть bluetooth
В данной работе предлагается оптимизированный вариант - алгоритм альтернативной маршрутизации, разработанный на основе существующих решений. Он использует принципы построения кратчайших путей, которые применяются в алгоритмах Дейкстри и Беллмана-Форда, и методы определения средней задержки, традиционные для сетей с пакетной коммутацией.
Разработанный для ретрансляторов алгоритм альтернативной маршрутизации основан на минимизации средней задержки на всех кратчайших маршрутах, причем определение задержек на участках включает анализ статических характеристик сети (топологии и пропускных способностей каналов связи) и характера передаваемого трафика (учет оптимальных показателей задержек для разных видов трафика).
В алгоритме предусмотрены механизмы анализа пропускных способностей каналов связи с точки зрения их оптимальности, расчет оптимального веса путей на основании этой информации и минимизации функции задержки у сети на основании анализа потока по маршрутам, при котором размер задержки мог бы соответствовать общепринятым характеристикам передачи определенных видов трафика.
Алгоритм использует принципы построения кратчайших путей, которые используются в алгоритмах Дейкстры и Беллмана-Форда, и способы определения средней задержки, традиционные для сетей с пакетною коммутацией. Функциональная блок-схема алгоритма приведена на рисунке и включает следующие составляющие:
. Блок определения оптимальных пропускных способностей - анализирует базовую топологию сети и определяет оптимальность пропускных способностей. На основании полученных данных подсчитывает вес каналов связки сети для дальнейшего анализа.
. Блок анализа среднего времени задержки - отвечает за расчет среднего времени задержки в сети на основании оптимальных пропускных способностей и начальных потоков в сети.
. Блок определения маршрутов - отвечает за построение кратчайших маршрутов между всеми узлами сети.
. Блок построения допустимого потока - обеспечивает распределение потоков по кратчайшим путям.
. Блок минимизации средней задержки - обеспечивает расчет девиации потоку на основе минимизированной функции значения средней задержки в сети.
. Тело алгоритма - объединяет
работу каждого из блоков и обеспечивает последовательное функционирование
алгоритма.
Рисунок - блок-схема
алгоритма
Сформулируем задачи, которые должны быть решены с помощью спроектированного алгоритма:
наиболее рациональное использование каналов для решения задачи используются следующие приемы:
а) анализ пропускных способностей каналов связи в сети и расчет оптимальных меток;
б) использование альтернативных маршрутов;
в) распределение трафика между альтернативными маршрутами исходя не из соотношения суммарных метрик маршрутов, а из соотношения максимальных метрик каналов данного маршрута;
г) выбор доступных для использования альтернативных маршрутов только по критерию максимального времени передачи (маршрут может быть принят к использованию, если время передачи по маршруту не превышает установленного для данного типа трафика максимально допустимого).
) соблюдение требований к параметрам сетевой передачи.
Далее рассмотрим приемы решения указанных задач. Задача соблюдения требований к параметрам сетевой передачи решается таким способом:
а) минимизация задержки передачи сообщений в сетях сложной топологии;
б)минимизация СКВ задержки.
Сделаем оценку оптимальности функционирования по алгоритму.
Введем обозначения:
где і - номер пары узел-адресат - узел-получатель; первая формула - поток пакетов, которые поступают в і-ый канал; вторая - поток пакетов, поступающих из узла в сеть.
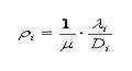
Нагрузку і-ого канала
пакетами считаем по следующей формуле:
где первый множитель - средняя длина пакета, Di - пропускная способность
і-ого канала.
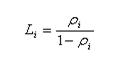
Среднее количество
пакетов в і-ом канале составляет:
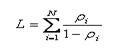
Учитывая общее
количество узлов в сети, среднее количество пакетов у сети в целом составляет:
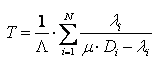
В соответствии с
формулой Литтла

Клейнрока для анализа средней задержки в сети:
Полученная формула для
оценки времени задержки эффективно используется для решения различных
оптимизационных задач. К таким задачам относят оптимизацию пропускной
способности каналов и выбор маршрутов передачи сообщений.
4. ПОСТАНОВКА ЗАДАЧИ
Предположим, что имеется некоторое количество видео-файлов, объем которых не превышает 10 Гигабайт. Эти файлы нужно передать абоненту на расстояние, на котором сигнал способен передаваться на максимально допустимой скорости. Из предлагаемых сетей 3G, LTE, VANet, WiMax необходимо выбрать оптимальную беспроводную сеть для передачи видеоконтента на расстояние, которое задает пользователь.
Специфика использования радиоэфира в качестве среды передачи данных накладывает свои ограничения на топологию сети. Если сравнивать ее с топологией проводной сети, то наиболее близкими вариантами оказываются топология "звезда" и комбинированная топология "кольцо" и "общая шина". Следует упомянуть, что развитие беспроводных сетей, как и многое другое, проходит под неусыпным контролем соответствующих организаций. И са мой главной среди них является Институт инженеров электротехники и элек троники (Institute of Electrical and Electronic Engineers, IEEE). В частности, беспроводные стандарты, сетевое оборудование и все, что относится к бес проводным сетям, контролирует Рабочая группа по беспроводным локаль ным сетям (Working Group for Wireless Local Area Networks, WLAN), в состав которой входят более 100 представителей из разных университетов и фирм- разработчиков сетевого оборудования. Эта комиссия собирается несколько раз в год с целью совершенствования существующих стандартов и создания новых, базирующихся на последних исследованиях и компьютерных дости жениях.
В России также организована ассоциация БЕспроводных СЕтей передачи ДАнных ("БЕСЕДА"), которая занимается ведением единой политики в области беспроводных сетей передачи данных. Она же и контролирует развитие рынка беспроводных сетей, предоставляет различные услуги при подключении, создает и развивает новые центры беспроводного доступа и т. д. Теперь что касается непосредственно топологии беспроводных сетей. На сегодняшний день используют два варианта беспроводной архитектуры или, проще говоря, варианта построения сети: независимая\ конфигурация (Ad-Hoc) и инфраструктурная конфигурация. Отличия между ними незначительные, однако они кардинально влияют на такие показатели, как количество подключаемых пользователей, радиус сети, помехоустойчивость и т. д.
НЕЗАВИСИМАЯ КОНФИГУРАЦИЯ
Режим независимой конфигурации (рис. 9.1), часто еще называемый "точка-точка", или независимый базовый набор служб (Independent Basic Service Set, IBSS), - самый простой в применении. Соответственно такая беспроводная сеть является самой простой в построении и настройке.
Чтобы объединить компьютеры в беспроводную сеть, достаточно, чтобы каж-дый из них имел адаптер беспроводной _связи. Как правило, такими адаптерами изначально оснащают переносные компьютеры, что вообще сводит построение сети только к настройке доступа к ней. Обычно такой способ организации используют, если сеть строится хаотично или временно, а также если другой способ построения не подходит по каким-либо причинам. Режим независимой конфигурации, хоть и прост в построении, имеет некоторые недостатки, главными из которых являются малый радиус действия сети и низкая помехоустойчивость, что накладывает ограничения на расположение компьютеров сети. Кроме того, если нужно подключиться к внешней сети или к Интернету, то сделать это будет непросто.
ИНФРАСТРУКТУРНАЯ КОНФИГУРАЦИЯ
Инфраструктурная конфигурация, или, как ее еще часто называют, режим "клиент/сервер", - более перспективный и быстроразвивающийся вариант беспроводной сети.
Она имеет много плюсов, главными из которых являются возможность подключения достаточно большого количества пользователей, более высокая помехоустойчивость, полный контроль подключений и многое другое. Кроме того, есть возможность использования комбинированной топологии и проводных сегментов сети. Для организации беспроводной сети с использованием инфраструктурной конфигурации, кроме адаптеров беспроводной связи, установленных на компьютерах, также необходимо иметь как минимум одну точку доступа (Access Point).
В этом случае конфигурация носит название базового набора служб (Basic Service Set, BSS). Точка доступа может работать как автономно, так и в составе проводной сети и служить мостом между проводным и беспроводным сегментами сети. При такой конфигурации компьютеры общаются только с точкой доступа, которая и руководит передачей данных между ними (рис. 9.2) (в проводной сети аналогом является концентратор).
Конечно, одной точкой
доступа сеть может не ограничиваться, что и случается с ее ростом. В этом
случае базовые наборы служб образуют единую сеть, конфигурация которой носит
название расширенного набора служб (Extended Service Set, ESS). В этом случае
точки доступа обмениваются между собой информацией, передаваемой через
проводное соединение (рис. 9.3) или через радиомосты, что позволяет эффективно
организовывать трафик в сети между ее сегментами (фактически точками доступа).