Материал: Анализ выпуска готовой продукции

Внимание! Если размещение файла нарушает Ваши авторские права, то обязательно сообщите нам

Ритмичность производства и реализации продукции имеет важное значение для успешной работы предприятия, поскольку неритмичность приводит к:

-    сверхплановым остаткам незавершенного производства и готовой продукции;

-       к замедлению оборачиваемости;

-       штрафам за несвоевременные поставки продукции;

-       снижению выручки;

-       к перерасходу средств по фонду заработной платы, вызванному оплатой за простои и сверхурочные работы;

-       к росту себестоимости и снижению прибыли [14, с. 47].

Для оценки выполнения плана по ритмичности используются прямые и косвенные показатели. Прямые показатели:

-    коэффициент ритмичности;

-       коэффициент вариации;

-       коэффициент аритмичности;

-       удельный вес производства продукции за каждую декаду (сутки) к месячному выпуску;

-       удельный вес произведенной продукции за каждый месяц к квартальному выпуску;

-       удельный вес выпущенной продукции за каждый квартал к годовому объему производства, удельный вес продукции, выпущенной в первую декаду отчетного месяца, к третьей декаде предыдущего месяца.

Косвенные показатели ритмичности:

-    наличие доплат за сверхурочные работы;

-       оплата простоев по вине хозяйствующего субъекта;

-       потери от брака;

-       уплата штрафов за недопоставку и несвоевременную отгрузку продукции;

-       наличие сверхнормативных остатков незавершенного производства и готовой продукции на складах.

Оценка ритмичности осуществляется следующим образом:

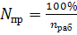
-    по данным отчетного периода составляется график фактического выпуска продукции. На каждый рабочий день этого периода рассчитывается фактический объем выпущенной продукции в процентах от всего объема;

-       рассчитывается среднедневной плановый выпуск продукции в процентах от всего объема по формуле (1.7):

                                                                                               (1.7)

где nраб- число рабочих дней в исследуемом периоде.

-       на каждый рабочий день фактический объем выпущенной продукции в процентах от всего объема сравнивается с плановым. Если фактический меньше планового, то в зачет выполнения плана по ритмичности на этот день принимается фактический объем, если больше - плановый.

-       определяется сумма объемов продукции, принятых в зачет плана по ритмичности. Она и характеризует процент выполнения этого плана.

При анализе ритмичности выпуска продукции применяют коэффициент ритмичности. Его величина определяется путем суммирования фактических удельных весов выпуска за каждый период, но не более планового их уровня.

Определяется как отношение среднеквадратического отклонения от планового задания за сутки (декаду, месяц, квартал) к среднесуточному (среднедекадному, среднемесячному, среднеквартальному) плановому выпуску продукции, формула (1.8)

                                                                                                                      (1.8)

где x2 - квадратическое отклонение от среднедекадного задания;

n- число суммируемых плановых заданий;

хпл - среднедекадное задание по графику.

Для оценки ритмичности производства на предприятии рассчитывается также показатель аритмичности как сумма положительных и отрицательных отклонений в выпуске продукции от плана за каждый день (неделю, декаду). Чем менее ритмично работает предприятие, тем выше показатель аритмичности[9; с.56].

Выделяют внутренние причины аритмичности-тяжелое финансовое состояние предприятия, низкий уровень организации, технологии и материально-технического обеспечения производства, а также планирования и контроля, внешние - несвоевременная поставка сырья и материалов поставщиками, недостаток энергоресурсов не по вине предприятия и др.

В процессе анализа необходимо подсчитать упущенные возможности предприятия по выпуску продукции в связи с неритмичной работой. Это разность между фактическим и возможным выпуском продукции, исчисленном исходя из наибольшего среднесуточного (среднедекадного) объема производства.

Исследования проводятся как в целом по предприятию, так и по отдельным видам продукции. В выводах указывается уровень выполнения плана по предприятию, изделиям, виновники невыполнения. В заключение анализа разрабатывают конкретные мероприятия по устранению причин неритмичной работы.

Таким образом, выполнение плана по объему производства продукции анализируют нарастающим итогом с начала года, также при анализе выпуска готовой продукции необходимо проводить анализ ритмичности производства продукции, который позволяет проверить выпуск продукции на соответствие графику в объеме и ассортименте, предусмотренном планом.

1.4 Обоснование потребности в выпуске продукции в соответствии с заключенными договорами


По мере насыщения рынка и усиления конкуренции не производство определяет объем продаж, а возможный объем продаж является основой для разработки производственной программы. Предприятие должно производить только те товары и в таком объеме, которые оно может реально реализовать.

Одним из важнейших показателей экономической безопасности предприятия является уровень спроса на его продукцию. При осуществлении производственной деятельности предприятие должно заранее знать, какую и для кого оно производит продукцию и, что случится, если эта продукция не будет реализована.

Вероятность потерь для предприятия-изготовителя вследствие возможного отказа потребителя от его продукции является риском не востребованности продукции, который характеризуется величиной возможного экономического и морального ущерба, понесенного предприятием.

Чтобы избежать последствий не востребованности продукции необходимо изучить факторы ее возникновения с целью поиска путей предотвращения или минимизации потерь.

Выделяют внешние и внутренние причины не востребованности продукции. К внутренним относят:

-    неправильно составленный спрос на продукцию работниками предприятия;

-       неправильная ценовая политика предприятия на рынках сбыта;

-       снижение конкурентоспособности продукции в результате низкого качества сырья, оборудования, отсталой технологии, низкой квалификации персонала;

-       неэффективная организация процесса сбыта и рекламы продукции.

К внешним причинам относят:

-    неплатежеспособность покупателей;

-       повышение процентных ставок по вкладам;

-       демографические;

-       социально-экономические;

-       политические и др. [8; с. 83].

Для оценки риска не востребованности продукции, необходимо проводить анализ обеспеченности производства продукции контрактами и договорами, т.е. необходимо осуществлять выпуск продукции в соответствии с заключенными договорами. В то же время, недовыполнение плана по договорам для предприятия оборачивается уменьшением выручки, прибыли, выплатой штрафных санкций. Кроме того, в условиях конкуренции предприятие может потерять рынки сбыта продукции, что повлечет за собой спад производства. Каждый товар должен производиться лишь в том случае, когда есть платежеспособный спрос на него, подкрепленный заявками или договорами на его поставку. Таким образом, для успешной деятельности предприятия необходимо проводить анализ результатов его деятельности, а именно анализ выпуска готовой продукции, которая представляет собой изделия, полностью законченные обработкой, соответствующие действующим стандартам или утвержденным техническим условиям, принятые на склад или заказчиком и снабженные сертификатом или другим документом, удостоверяющим их качество.

Важными характеристиками выпуска готовой продукции являются ассортимент и структура, поскольку выполнение плана по ассортименту и структуре способствует наиболее полному удовлетворению потребностей общества в разнообразных видах продукции. При анализе деятельности предприятия необходимо также проверять соответствие выпуска продукции график к в объеме и ассортименте, предусмотренном планом. Выполнение плана по объему производства продукции анализируют нарастающим итогом с начала года.

2. Анализ выпуска готовой продукции на примере предприятия ОАО «Барановичский завод станкопринадлежностей»


ОАО «Барановичский завод станкопринадлежностей» является производителем универсальной зажимной технологической оснастки, необходимой для комплектации металлорежущих станков токарной, фрезерной, сверлильной и строгальной групп, а также узлов и деталей для автомобильной и тракторной техники.

Благодаря надежности и долговечности, технологическая оснастка Барановичского завода станкопринадлежностей завоевала высокую репутацию среди ведущих станкостроительных и машиностроительных предприятий СНГ и Балтии.

Составляющими успешной работы предприятия являются современная структура управления, постоянная модернизация производственных мощностей, непрерывное совершенствование выпускаемой продукции. Сочетание высокопрофессионального коллектива и гибкой технологической базы производства позволяет предприятию быстро обновлять модельный ряд выпускаемых изделий, улучшать их качественные и эксплуатационные характеристики, что в свою очередь помогает достойно конкурировать с различными зарубежными аналогами.

Главные принципы деятельности предприятия на протяжении всего существования остаются неизменными: традиции, качество и надежность.

Основные типы продукции, выпускаемой предприятием:

-    патрон токарный ручной, трех или четырехкулачковый;

-       патрон токарный механизированный двух или трехкулачковый;

-       тиски станочные, поворотные и неповоротные, с ручным приводом, а также с гидравлическим усилением. Тиски слесарные (в том числе поворотные);

-       стол поворотный (в том числе горизонтально-вертикальный), с ручным и механизированным приводами. Предназначен для установки и закрепления деталей при обработке их на металлорежущих станках. Пневмоцилиндр вращающийся зажимной, гидроцилиндр. Предназначены для установки в металлорежущих станках в качестве привода механизированных патронов;

-       головка электромеханическая 7921-0003 предназначена, преимущественно, для механизированного зажима инструмента в шпинделях фрезерных станков, а также может быть применена в качестве привода с односторонним вращением выходного вала, для получения малого числа оборотов исполнительного механизма при максимальном крутящем моменте;

-       электромеханическая зажимная головка ЭМГ. Предназначены для механизированного зажима инструмента в шпинделях фрезерных, расточных и других станков, привода кулачков токарных патронов, перемещения пинолей задних бабок. Головки могут встраиваться как во вновь создаваяемое оборудование, так и при модернизации действующих станков;

-       четырехпозиционные резцедержатели, предназначены для группы токарных станков Московского ОАО "Красный пролетарий", ОАО "САСТА" г. Сасово, ОАО «Гомельский завод станочных узлов»;

-       резцедержатели с цилиндрическим хвостовиком для токарных станков с ЧПУ. Предназначены для закрепления призматических резцов сечением 25х25 мм, а также для закрепления инструмента с цилиндрическими и коническими хвостовиками;

-       суппорт для установки на токарные станки мод. 16Р25П, 16К20, СА 562, ГС 526УМ, МК6056 и их модификации;

-       муфта разрывная и муфта быстроразъемная, предназначены для быстрого соединения и разъединения гибких трубопроводов сельхозмашин, преимущественно с тракторами, или для других гидравлических устройств. Муфты прошли ресурсные испытания на ПО "МТЗ" и применяются для комплектации тракторов «Беларусь»;

-       детали и узлы на конвейер Минского тракторного завода для комплектации редуктора переднего моста и рулевого управления тракторов «Беларус» (стаканы, корпуса, втулки, кронштейны, рулевые тяги) [12].

Основные показатели хозяйственной деятельности ОАО «Барановичский завод станкопринадлежностей» за 2011-2013гг. приведены в таблице 2.1

Таблица 2.1

Динамика основных показателей хозяйственной деятельности ОАО «Барановичский завод станкопринадлежностей» за 2011-2013гг.

Наименование показателей

2011

2012

2013

Отклонение +/-

Темп роста, %





2012 к 2011

2013 к 2012

2012 к 2011

2013 к 2012

1

2

3

4

5

6

7

8

Выручка от реализации продукции, товаров, работ, услуг

354661,8

388635,3

613026,8

33973,5

224391,5

109,6

157,7

Себестоимость реализованной продукции, товаров, работ, услуг

320989,8

336931,5

532201,1

15941,7

195269,6

105,0

158,0

Валовая прибыль

33672,0

51703,8

80825,7

18031,8

29121,9

153,6

156,3

Управленческие расходы

0,0

1193,4

21401,5

1193,4

20208,1

-

1793,3

Расходы на реализацию

910,8

690,2

1073,5

-220,6

383,3

75,8

155,5

Прибыль (убыток) от реализации продукции, товаров, работ, услуг

32761,2

49820,2

58350,6

17059,0

8530,4

152,1

117,1

Прочие доходы по текущей деятельности

30987,4

23672,5

46889,8

-7314,9

23217,3

76,4

198,1

Прочие расходы по текущей деятельности

30109,8

27026,6

56483,3

-3083,2

29456,7

89,8

209,0

Прибыль (убыток) от текущей деятельности

33638,9

46466,1

48757,1

12827,2

2291,0

138,1

104,9

Доходы по инвестиционной деятельности

220,8

317,1

423,2

96,3

106,1

143,6

133,5

Расходы по инвестиционной деятельности

237,4

708,9

87,3

471,5

-621,6

298,7

12,3

Доходы по финансовой деятельности

3715,0

2417,4

661,7

-1297,6

-1755,7

65,1

27,4

Расходы по финансовой деятельности

5558,6

1488,4

2153,4

-4070,3

665,1

26,8

144,7

Прибыль (убыток) от инвестиционной, финансовой и иной деятельности

-1860,2

508,3

-1123,3

2368,5

-1631,6

-27,3

-221,0

Прибыль (убыток) до налогообложения

31778,6

46974,4

46260,4

15195,8

-714,0

147,8

98,5

Чистая прибыль (убыток)

26367,2

34819,4

36844,6

8452,2

2025,2

132,1

105,8

Рентабельность продаж, %

9,2

12,8

9,5

3,6

-3,3

-

-


В 2012г. темпы роста выручки от реализации продукции (109,60%) были выше темпов роста их себестоимости (105,0%). В связи с этим, рентабельность увеличилась на 3,6 процентных пункта и составила 12,8%. Темпы роста выручки от реализации продукции (157,7%) в 20132г. были ниже темпов роста их себестоимости (158,0%). В связи с этим, рентабельность снизилась на 3,3 процентных пункта и составила 9,5% по сравнению с рентабельностью в 2012г.-12,8%.

Проведем анализ производства продукции по ассортименту и структуре за 2011-2012гг. и за 2012-2013гг., полученные данные отражены в таблице 2.2 и таблице 2.3.

Таблица 2.2- Анализ производства продукции по ассортименту и структуре в сопоставимых ценах за 2011-2012гг.

Типы выпускаемой продукции

Отпускная цена, млн. руб.

Объем производства, ед

Структура продукции, %

Стоимость выпущенной продукции в ценах базисного периода, млн. руб.

Изменение выпуска продукции, за счет структуры, млн. руб.



2011

2012

2011

2012

2011

Факт при базисной структуре

2012


1

2

3

4

5

6

7

8

10

Тиски станочные

6,1

3516

3164

7,3

6,3

21591,8

22671,7

19430,1

-3241,6

Тиски слесарные с наковальней

1,3

2833

2975

5,9

5,9

3698,8

3883,9

3884,2

0,4

Стол поворотный делительный

9,3

5941

6631

12,3

13,1

55360,0

58129,0

61789,6

3660,6

Пневмоцилиндры вращаюшиеся зажимные не полые

10,1

7047

7870

14,6

15,6

70934,4

74482,4

79218,6

4736,2

Электромеханические головки

7,5

7210

7536

15,0

14,9

53998,2

56699,1

56439,7

-259,4

Суппорты

8,4

2317

2585

4,8

5,1

19561,4

20539,8

21824,0

1284,2

Диски инструментальные

2,9

6134

7289

12,7

14,4

17605,5

18486,1

20921,3

2435,1

Патроны токарные ручные стальные

17,4

4136

4057

8,6

8,0

72111,6

75718,4

70734,2

-4984,2

Патроны токарные с механизированным зажимом стальные

16,1

2251

2143

4,7

4,2

36287,9

38103,0

34548,3

-3554,7

Резцедержатели

2,1

1317

1585

2,7

3,1

2718,2

2854,1

3271,3

417,2

Устройство запорное (муфта быстроразъемная)

0,1

5407

4680

11,2

9,3

794,0

833,7

687,3

-146,5

Итого

-

48108

50515

100

100

354661,8

372401,3

372748,7

347,4