Материал: Анализ состояния рынка услуг экстремального туризма в Беларуси

Внимание! Если размещение файла нарушает Ваши авторские права, то обязательно сообщите нам

2. Коэффициент детерминации

фактическое значение

нормативное (табличное) значение0,92

0,704--




3. F-статистика - фактическое значение (1/F) - нормативное (табличное) значение

 0,11 4,76

-

 0,03 0,05

Переменные регрессионной модели

4. Y-пересечение - фактическое значение - нормативное (табличное) значение

 33148,33 -

 0,98 2,44

 0,38 0,05

5. Фактор маркетинговой среды

5.1. Денежные доходы на душу населения (х2) - фактическое значение - нормативное (табличное) значение

 1127,76 -

 1,18 2,44

 0,3 0,05

5.2. Номинальная заработная плата (х3) - фактическое значение - нормативное (табличное) значение

 -0,26 -

 -1,1 -2,44

 0,34 0,05

5.3 Затраты на рекламную деятельность (х8) - фактическое значение - нормативное (табличное) значение

 112942,1 -

 0,62 2,44

 0,57 0,05

5.4 Количество туристических баз (х5) - фактическое значение - нормативное (табличное) значение

 -7853,54 -

 -1,32 2,44

 0,26 0,05

5.5 Число организаций, осуществляющих туристическую деятельность (х6) - фактическое значение - нормативное (табличное) значение

  -244,57 -

  -244,57 2,44

  0,64 0,05


Интерпретация результатов.

Если обратиться к нашему анализу, то коэффициент детерминации R2 равен 0,92, что составляет 92%. Этот результат следует толковать так: все исследуемые воздействующие факторы х2, х3, х5, х6 и х8 объясняют 92% вариации анализируемой функции (Y). Остальное же (8%) остается необъясненным и может быть связано с влиянием других, неучтенных факторов.

В этом случае имеющуюся расчетную величину R2расч необходимо сравнить с табличными (критическими) значениями R2крит для соответствующего уровня значимости . R2расч < R2крит, значит, со степенью вероятности 95 % нельзя утверждать, что анализируемая регрессия является значимой.

Проведем проверку по F-критерию. Обычно F-тест проводится путем сопоставления вычисленного значения F-критерия с эталонным (табличным) показателем Fтабл для соответствующего уровня значимости. Если выполняется неравенство Fрасч < Fтабл, то с уверенностью, например на 95 %, можно утверждать, что рассматриваемая зависимость у = b0 + b1x1 + b2x2 +…+ bkxk является статистически значимой.

Для анализа уравнения будем пользоваться величиной Fрасч, обратной представленной Excel. Отыщем по эталонной таблице критическую величину Fкрит при условии, что для числителя степень свободы f1 = k, т.е. составит 3 (число воздействующих факторов равно 3), а для знаменателя f2 = n − k− 1 = 10 − 5 − 1= 4. Тогда будем иметь следующие значения для Fкрит: 4,76 (для α = 0,05).

Соотношение Fрасч < Fкрит выполняется, значит уверенно можно говорить о высокой степени адекватности анализируемого уравнения.

Теперь выполним проверку с использованием уровня значимости α (Excel этот показатель именует как р). На листе Excel, находим позицию «Значимость F». Там указана величина 0,05. У нас заданное α = 0,05. Это говорит о возможной ошибке в 5%, поэтому делаем вывод о том, что действительно обнаруживается устойчивая зависимость рассматриваемой функции Y от воздействующих факторов х2, х3, х5, х6 и х8.

Использование t-критерия. Необходимые расчеты делает Excel, который выдает соответствующую компьютерную распечатку с обозначением значений показателя t. Анализируемый коэффициент считается значимым, если его t-критерий по абсолютной величине превышает 2,447 что соответствует уровню значимости 0,05.

Использование уровня значимости. В этом случае оценка проводится путем анализа показателя р, т.е. уровня значимости α. Коэффициент признается значимым, если рассчитанное для него р-значение (эти данные выдает Excel) меньше (или равно) 0,05 (т.е. для 95 %-ной доверительной вероятности). По результатам нашего анализа выходит, что ошибка по своим коэффициентам очень большая, поэтому они не значимы для уравнения.

Таким образом, можно сделать вывод о том наибольшее влияние на развитие отрасли экстремального туризма оказывают такие факторы, как денежные доходы на душу населения в месяц, номинальная заработная плата, количество туристических баз, число организаций, осуществляющих туристическую деятельность и затраты на рекламную деятельность.

ГЛАВА 2. АНАЛИЗ ПОТРЕБИТЕЛЕЙ И КАЧЕСТВА ПРЕДЛАГАЕМЫХ УСЛУГ

.1 Анализ потребителей

Для анализа потребителей рынка экстремального туризма была рассчитана численность детерминированной выборки, необходимой для проведения исследования. Для этого используем формулу (2.1) случайной бесповторной выборки:

 (2.1)

где n - объём выборки; t - коэффициент доверия, определяемый по таблице в зависимости от заданной вероятности; т.к. р=0,954, то t=2;

σ - среднее квадратическое отклонение; Δ - допустимая ошибка.

Среднее квадратическое отклонение определяется по формуле (2.2):

, (2.2)

где хmax - максимальный возраст = 55 лет;

хmin - минимальный возраст = 18 лет.

Допустимая ошибка определяется по формуле (2.3):

 (2.3)

Среднее квадратическое отклонение будет равно:

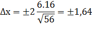
Допустимая ошибка:

Теперь получаем объём выборки:

Таким образом, мы получили, что необходимый объём выборки для проведения маркетингового исследования составляет 56 человек.

Это минимальное число, которое необходимо опросить. Далее рассчитаем репрезентативность выборки. Репрезентативность выборки - это способность выборки представлять изучаемую совокупность. Для определения репрезентативности необходимо, чтобы следующие неравенство было верно:

 (2.4)

 (2.5)

25,048

,1923-1,64  25,048 26,1923+1,64

Так как неравенство выполняется, то выборку можно считать репрезентативной.

В результате анкетирования было опрошено 56 человек, 53% женщин и 47% мужчин, различных возрастных категорий и социальных статусов. Ниже приведена таблица, которая представляет половозрастную структуру выборки и показывает процентное отношение мужчин и женщин к общему количеству их в определенной возрастной категории.

Таблица 2.1 - Половозрастная структура выборки

Числ. населения в возрасте, лет:

Всё население

Выборка


оба пола

% от числ.

мужчины

% от возр. группы

женщины

% от возр. группы

оба пола

Муж.

Жен.

1

2

3

4

5

6

7

8

9

10

18-24

683931

10,86

352684

51,57

331247

48,43

63

28

35

25-35

1570782

24,94

776541

49,44

794241

50,56

7

0

7

36-45

1335595

21,21

634146

47,48

701449

52,52

21

15

6

46-55

1443146

22,92

691247

47,90

751899

52,10

0

0

0

55-65

1263688

20,07

591294

46,79

672394

53,21

0

0

0


На вопрос: «Какой вид отдыха вы предпочитаете, активный или пассивный?», графический результат представлен на рисунке 2.1:

Рисунок 2.1 - Процентное соотношение людей, предпочитающий активный или пассивные отдых

Из проведенного опроса заметно, что 93% опрошенных людей предпочитают активный отдых, чем пассивный ( 7% опрошенных людей).

На вопрос: «Какой вид активного туризма привлекает Вас больше?», графический результат представлен на рисунке 2.2:

Рисунок 2.2 - Процентное распределение респондентов, предпочитающее различные виды экстремального туризма

На данный вопрос анкеты большее количество людей (59%) ответило, что предпочитают летний вид туризма, 34 % ответило, что зимний, остальных респондентов не привлекает ни один вид активного туризма.

На вопрос: «Знаком ли вам такой вид туризма, как экстремальный?», графический результат представлен на рисунке 2.3:

Рисунок 2.3 - Процентное соотношение респондентов, знакомых с экстремальным туризмом

Все опрошенные люди в той или иной мере знакомы с таким видом туризма, как экстремальный, они либо занимались, либо хотя бы слышали о нем.

На вопрос: «Занимались ли вы когда-нибудь одним из видов экстремального туризма ?», графический результат представлен на рисунке 2.4:

Рисунок 2.4 - Процентное соотношение респондентов, занимавшихся либо не занимавшихся одним из видов экстремального туризма

Из опрошенных людей большая часть ( 66%) никогда не занималась экстремальным туризмом, и 34% участника анкетирования занимались уже одним из видов экстремального туризма.

На вопрос: «Хотели бы Вы заняться экстремальным туризмом?», графический результат представлен на рисунке 2.5:

Рисунок 2.5 - Процентное соотношение респондентов, желающих заняться одним из видов экстремального туризма

Абсолютно большинство респондентов (93%) хотело бы заняться одним из видов экстремального туризма, остальные 7 % ответили отрицательно.

На вопрос: «Где вы предпочитаете отдыхать, в своей стране или за рубежом?», графический результат представлен на рисунке 2.6:

Рисунок 2.6 - Процентное распределение респондентов, предпочитающих отдых у себя в стране либо за рубежом

Возможно из-за недостаточно высокого уровня услуг в нашей стране, большая часть людей предпочитает отдыхать за рубежом (84%), и лишь 16% отдыхают в своей стране.

На вопрос: «Знаете ли Вы какие-нибудь белорусские организации, оказывающие услуги в сфере экстремального туризма?», графический результат представлен на рисунке 2.7:

Рисунок 2.7 - Процентное соотношение респондентов, осведомленных о белорусских организациях, оказывающих услуги в сфере экстремального туризма

Как показал опрос, немного людей (34%) осведомлены об организациях, оказывающих услуги в сфере экстремального туризма. Оставшиеся 66% никогда ранее не слышали о таких организациях.

На вопрос: «Пользовались ли Вы когда-либо услугами организаций, оказывающих услуги в сфере экстремального туризма?», графический результат представлен на рисунке 2.8:

Рисунок 2.8 - Процентное соотношение респондентов, пользовавшихся когда-либо услугами организаций, оказывающих услуги в сфере экстремального туризма

Из людей, участвовавших в опросе, только 34% пользовались услугами организаций, оказывающих услуги в сфере экстремального туризма, остальные же либо не слышали о подобных организациях, либо не обращались туда.

На вопрос: «Если вы пользовались услугами организаций, оказывающих услуги в сфере экстремального туризма, удовлетворило ли Вас качество услуг ?», графический результат представлен на рисунке 2.9:

Рисунок 2.9 - Процентное соотношение удовлетворения респондентов, пользовавшихся услугами организаций, оказывающих услуги в сфере экстремального туризма

Как показало анкетирование, только 16% процентов людей, пользовавшихся услугами организаций оказывающих услуги в сфере экстремального туризма, осталось полностью удовлетворено качеством услуг, 18% удовлетворена частично, а остальные 66% затрудняются ответить, возможно в связи с тем, что они не пользовались подобными услугами.

. Ваш пол:


Участниками опроса было 53% женщин и 47% мужчин.

. Ваше семейное положение:


Из опрошенных людей лишь 23% состоит в браке.

. Ваше образование:


Большинство участников анкетирования имеют высшее образование (61%), 31% еще учатся в высших учебных заведениях либо не закончили четыре курса, и 8% респондентов имеют среднее специальное образование.

. Ваш возраст:


В анкетировании принимали участие люди разных возрастных категорий, но возраст большинства опрашиваемых людей (69%) находится в пределах от 18 до 24 лет.

. Ваш род занятий:


Большее количество опрошенных людей являются специалистами с высшим студентами (59%), 31% опрошенных - специалисты с высшим образованием. И среди участников анкетирования нет служащих, без высшего образования, либо рабочих.