Материал: Анализ бедности в странах с переходной экономикой

Внимание! Если размещение файла нарушает Ваши авторские права, то обязательно сообщите нам

При формировании потребительской корзины исходят из круга потребностей, удовлетворение которых признается общественно необходимым, обеспечивающих нормальную жизнедеятельность человека.

Стоимость потребительской корзины является пороговым значением или чертой бедности, а бедными считаются, все кто имеют доходы ниже стоимости минимальной потребительской корзины.

Относительная черта бедности определяется относительно общего распределения дохода или потребления по стране. Относительная бедность измеряется непосредственно через оценку потребительских характеристик домохозяйства и понимается как недостаточность ресурсов, необходимых для достижения сложившихся в данном обществе стандартов потребления.

На основе социологического обследования (анкетирования) формируется список лишений связанных с питанием, одеждой, жильем, получением медицинской помощи и образования. Отсутствие выделенных благ и считают признаком бедности.

Субъективная концепция предполагает установление черты бедности на основе анализа представлений населения о том, какой объем ресурсов необходим для удовлетворения минимальных потребностей. Оценка субъективной бедности принципиальна для социальной политики, поскольку те, кто субъективно относят себя к бедным, как правило, претендуют на участие в социальных программах для бедных даже в том случае, если объективно таковыми не являются. При расчете показателя субъективной бедности необходимо ориентироваться на субъективную оценку денежных средств семьи и субъективную оценку принадлежности семьи к определенной социальной группе (крайне бедные, бедные, средний класс и др.).

Оценка остроты проблемы бедности в стране в целом или ее регионе основывается на использовании объективных статистических показателей.

Показатели оценки бедности должны отвечать следующим требованиям:

быть надежными;

сопоставимыми во времени и пространстве;

доступными для измерения.

К основным показателям бедности относят:

Предположим, что численность населения равняется n, а его бедная часть - q.

Тогда доля бедного населения (Н) определяется следующем образом:


Коэффициент фондов (коэффициент дифференциации доходов). Уровень бедности зависит не только от величины среднедушевых доходов, но и от распределения этих доходов по группам населения. Для оценки распределения используется коэффициент фондов - отношение доходов 10% населения с самыми высокими доходами к 10% населения с самими низкими доходами.

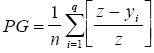
Глубина бедности. Этот показатель показывает, как далеко за чертой бедности находится домохозяйство. Глубина бедности определяет дефицит бедности всего населения, при чем понятие «дефицит бедности» обозначает количество ресурсов, необходимое для вывода бедных слоев населения из-за черты бедности путем выделения для этого денежных сумм. Глубина бедности непосредственно отражает средний дефицит совокупного дохода или потребления у всего населения по отношению к черте бедности.

Этот показатель получают, складывая все дефициты у бедных (предполагается, что дефицит у небедных равен нулю) и деля полученный результат на численность населения.

Другими словами, этот показатель оценивает общий объем ресурсов, необходимый для того чтобы поднять всех бедных на уровень черты бедности (деленный на количество населения). Этот параметр можно также использовать для неденежных индикаторов при условии, что показатель расстояния поддается интерпретации. Например, глубину бедности по образованию можно определить как количество лет обучения, необходимое или требующееся для достижения определенного порога. Следует также иметь в виду, что глубину бедности можно использовать в качестве параметра минимального количества ресурсов, необходимых для искоренения бедности, т. е. количества дотаций для вывода всех бедных из бедности при идеальном выявлении бенефициаров (т. е. чтобы каждый бедный получил именно тот объем помощи, который ему необходим для выхода из бедности).

Глубина бедности (PG) определяется следующим образом:

где q - количество бедных людей, п - общая численность населения, y -уровень дохода или потребления отдельного домохозяйства i, z - черта бедности отдельного домохозяйства i.

Острота бедности (среднеквадратичная глубина бедности). Этот показатель учитывает не только расстояние до черты бедности (глубину бедности), но и неравенство среди бедных. То есть больший вес приходится на домохозяйства, находящиеся за чертой бедности дальше других. Для определения остроты бедности часто пользуются индексом Сена, показывающий распределение доходов среди бедного населения

Индекс Сена (Р), определяется следующей формулой:


где H - доля бедного населения;- «коэффициент дефицита доходов», определяемый формулой

I=1-μ2/z. которой μ2. - доходы бедных, z - черта бедности;= q/(q+1) (стремится к 1 при больших значениях q)обозначает индекс Джини для бедных.

Данные показатели можно рассчитать как на основе домохозяйств, т.е. определяя долю домохозяйств, находящихся за чертой бедности, в случае с долей бедного населения, так и на уровне отдельных жителей, чтобы принять во внимание количество человек в каждом домохозяйстве.

Бедность может быть измерена и по возможностям в достижении каких-либо благ. Индекс лишения по любой из базовых возможностей человека рассчитывается как доля населения, которая не имеет нормативного уровня обеспечения потребностей в общей численности потенциальных потребителей таких благ.

Так, индекс образовательной ограниченности (А) можно рассчитать как отношение численности детей в возрасте 3-17 лет, которые не посещают детский сад или школу, к общему количеству детей соответствующей возрастной группы.

Индекс ограниченности занятости (В) рассчитывается как отношение числа безработных, которые страдают от застойной формы безработицы или которые работают неполный рабочий день (неделю) не по своему желанию, а находясь в вынужденном неоплачиваемом отпуске, к численности занятых. Означенный выше индекс можно рассчитать также как отношение количества лиц, которые работают не по образованию или квалификации, к численности экономически активного населения. Индекс ограниченности здорового способа жизни (С) определяется отношением количества лиц, которые живут на загрязненных территориях, а также на территориях, которые характеризуются избыточным содержимым вредных веществ в питьевой воде и атмосферном воздухе к общей численности населения.

Индекс ограниченности нормальных жилищных условий (D) определяется соотношением количества домохозяйств, которые проживают в условиях, которые не отвечают санитарно-гигиеническим нормам и социальным стандартам, и общей численности домохозяйств. Индекс ограниченности доступа к медицинских услугам (E) вычисляется как отношение численности населения, которое территориально удаленно от пункта первой медицинской помощи, обслуживается медицинским учреждением, недостаточно обеспеченным профильными специалистами или неукомплектованным необходимым медицинским оснащением, к общей численности населения.

На основе перечисленных индексов ограниченности доступа к базовым возможностям вычисляется интегральный индекс Iabcde который объединяет определенные за каждым отдельным индикатором показатели

Такой многоаспектный показатель как интегральный индекс ограничения доступа к базовым возможностям может стать действенным инструментом социальной политики. То есть, при определении права домохозяйства на получение адресной социальной помощи расчет интегрального индекса бедности по возможностями будет играть роль коррективного коэффициента, в котором отражаются специфические особенности региона.

После измерения уровня бедности, определения черты бедности и вычисления всех необходимых показателей оценщику необходимо проанализировать полученные данные. Существуют различные инструменты, применяемые при данном анализе, начиная от простых описаний и заканчивая регрессионным анализом. Для анализа бедности необходимо сравнить а) характеристики домохозяйств по разным группам бедных слоев населения, б) сравнить показатели бедности между группами, в) сравнить бедность на протяжении некоторого временного отрезка, г) проанализировать корреляции бедности. Проводя анализ, необходимо быть уверенным в том, что все характеристики статистически верны.

Наиболее часто для решения такого рода задач применяются качественные методики. Они помогают в понимании поведения домохозяйств, плюс ко всему не стоит забывать о том, что качественные методики всегда могут быть дополнены количественными, что придаст анализу более завершенный вид. Количественные методики используются, главным образом, для решения задач определения участия домохозяйств в неформальных сетях; различия в доходах и потреблении домохозяйств, в частности, сезонные изменения; стратегии, применяемые домохозяйствами для уменьшения их уязвимости по отношению к изменениям доходов.

Вопрос о критериях и показателях бедности не является новым для обществоведения. Накоплен значительный опыт изучения феномена бедности в европейских странах. Происходит обобщение методов обсчета бедности в украинской экономической науке. Вместе с тем, отсутствуют пространственные, географические, исследования процессов бедности. Для исследования географических аспектов бедности, по нашему мнению, наиболее приемлемыми являются показатели, отражающие демографические параметры бедности, а также показатели, характеризующие уровень доступности населением социальной сферы и дающие представление об экономическом развитии изучаемой территории.

2. АНАЛИЗ БЕДНОСТИ В СТРАНАХ С ПЕРЕХОДНОЙ ЭКОНОМИКОЙ

2.1 Страны с переходной экономикой: описание и отличительные черты

Как понятно, есть две главные модели экономики: командная и рыночная. Командная (плановая) экономика характеризуется прямым муниципальным регулированием всех экономических процессов, для рыночной же свойственна минимизация вмешательства регулирующих органов в экономическую деятельность резидентов. Промежуточное место занимают страны с переходной экономикой.

Страны с переходной экономикой - это те, которые на этот момент находятся на пути от планового режима ведения хозяйства к рыночному. На самом деле, это страны бывшего Русского Союза, после его распада избрали рыночную модель. Потому все страны бывшего СССР, не считая, пожалуй, Беларуси - это страны переходной экономики. Для их типично ускорение экономического развития после периода кризисных явлений плановой системы (на самом деле, конкретно из-за неспособности правительства планировать всю экономическую жизнь страны и произошел распад Союза), создание и развитие новых компаний, увеличение уровня жизни населения, уровня зарплаты, ликвидация товарного недостатка и другое. Экономика становится более открытой как изнутри, так и снаружи - это означает, что как предприниматели-резиденты получают огромную степень свободы в разработке и развитии собственного бизнеса, так и иноземцы получают возможность инвестировать имеющиеся у их свободные деньги в объекты и предприятия, находятся в стране.

Обычно, страны с переходной экономикой завлекают особенное внимание со стороны зарубежных субъектов, желающих производить так именуемые прямые инвестиции в экономику этих стран. Предпосылкой такового завышенного энтузиазма является возможность более прибыльного вложения капиталов, которую можно разъяснить через действие законов спроса и предложения. Капитал - это таковой же ресурс, как и сырье и рабочая сила, а означает, существует его рынок, а ценой его является процент доходности инвестиций. Естественно, на рынках капитала продвинутых стран уже существует определенный его излишек, а означает, его доходность очень низкая (примером могут послужить процентные ставки в забугорных банках, изредка превосходят 3-4 процента годичных). В то же время, в государствах переходной экономики наблюдается значимый недочет капитала, а означает, норма доходности вкладывательных проектах там будет значительно выше.

Черта государств с переходной экономикой включает и некие отрицательные черты: резвое соц расслоение, в итоге которого разница меж доходами богатых и бедных составляет 10-ки и сотки раз. Более того, находится политическая и соц непостоянность, высочайшая возможность появления конфликтов, увеличение уровня преступности и другие. Также необходимо отметить, что страны с переходной экономикой могут характеризоваться неидеальной и нестабильной системой государственного законодательства, которые могут плохо принимать зарубежные инвесторы, которые предпочитают более размеренным странам с наименьшей нормой доходности.

Основными задачками правительства страны с переходной экономикой должны стать:

В социальной сфере - обеспечение равенства и стабильности, сведения к минимуму вероятности появления конфликтов на социальной почве, забота о незащищенных слоях населения (выплата пенсий, стипендий, пособий по безработице);

В экономической сфере - увеличение вкладывательной привлекательности страны, приведение системы законодательства (в том числе и в сфере налогообложения) в согласовании с глобальными эталонами, обеспечения защиты зарубежных инвесторов от конфигураций законодательства и налоговой системы на долгий период.

Система стран с переходной экономикой довольно многочис­ленна. Сюда относятся 13 государств Восточной Европы, 15 госу­дарств бывшего СССР, а также Китай и Вьетнам. В процессе пе­рехода от административно-командной к рыночной экономике сформировались примерно три группы стран, отличающиеся друг от друга стартовыми возможностями осуществления реформ, тем­пом и характером их проведения и достигнутыми результатами.

Первая группа стран представлена Польшей, Венгрией, Сло­вакией, Чехией, Словенией и странами Балтии. Для этой группы стран характерно непродолжительное (по историческим меркам) существование плановой экономики - около 40 лет, причем в менее жестком ее варианте.

Вторая группа представлена Россией, другими странами-чле­нами СНГ, а также Болгарией, Румынией, Югославией, Албани­ей, Монголией. Для бывшего СССР характерно длительное суще­ствование административно-командной системы (более 70 лет) в самом жестком ее варианте. Экономика характеризовалась мак­симальным огосударствлением средств производства, тотальным регламентированием хозяйственной деятельности, подавлением любых попыток частной инициативы и частной собственности, крайней степенью монополизации хозяйственной деятельности. Кроме того, в обществе распространились уравнительные тенден­ции и иждивенчество.

Третья группа стран представлена странами Восточной Азии (Китай, Вьетнам). Господство плановой экономики в этом ре­гионе продолжалось 25-30 лет.

Практика рыночных преобразований во всех трех группах стран позволяет отметить, что либерализация хозяйственной жизни (отмена государственного контроля, развитие предприни­мательской деятельности, «малая» приватизация) проходит срав­нительно легко. Либерализация цен, демонополизация экономи­ки и ее финансовая стабилизация сталкиваются с возможностью широкого социального недовольства. Крайне трудно разрешимой задачей оказывается эффективная приватизация крупных хозяй­ственных объектов и преодоление структурных диспропорций.

.2 Экономическое развитие стран с переходной экономикой

Мировая  экономика значительно ослабла в 2012 году. Число стран с переходной экономикой, особенно в  Европе, которые уже вошли в «двойной спад», растет, а в тех из них, которым угрожают неприятности с суверенным долгом, кризис углубился. Многие страны с переходной экономикой попали на «траекторию нисходящей спирали» из-за высокого уровня безработицы, слабости совокупного спроса, усугубляемой жесткой экономией бюджетных средств, высокого государственного долга и финансовой неустойчивости.