Материал: А27819 Лазарев В.Л. Робастое управление

Внимание! Если размещение файла нарушает Ваши авторские права, то обязательно сообщите нам

видов продуктов во время обработки. Также причинами нестационарности могут являться износ технологического оборудования и многие другие факторы. В большинстве случаев коэффициенты передаточной функции целесообразно рассматривать как случайные величины, исчерпывающим описанием которых является закон распределения р(ai) или р(bj). Для решения практических задач, как правило, оказывается достаточным знание двух основных характеристик ука-

занных коэффициентов: математического ожидания ma , mb

j

и дис-

 

 

 

i

 

персий a2

,

b2

. Причем в качестве значений величин коэффициен-

i

 

j

 

 

 

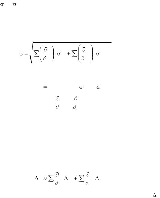
тов используются их математические ожидания. Влияние случайных вариаций отдельных коэффициентов на характеристики объекта или системы может быть оценено величинами среднеквадратических отклонений σ этих характеристик по формуле

 

L 2

2

 

 

L 2

2

 

,

(4.10)

 

 

 

a

i

 

 

 

b

j

(i) ai

( j) b j

 

 

 

 

 

 

 

 

 

 

где L – характеристика или обобщенный критерий какого-либо свойства объекта или системы. В общем случае

L L (ai ,bj ) ;

i

I; j J .

(4.11)

Частные производные

L

и

L

называются коэффициентами

 

 

 

ai

b j

 

 

влияния и характеризуют чувствительность рассматриваемой характеристики L к изменению отдельных коэффициентов ai и bj. Формула (4.10) справедлива для наиболее часто встречающегося на практике случая, когда коэффициенты ai и bj не коррелированы между собой.

Отклонение критерия от номинального значения, обусловленное отклонениями коэффициентов ai и bj, может быть определено из выражения (4.11) путем разложения его в ряд Тейлора с последующим оставлением первых линейных членов разложения

L

L

ai

 

L

b j .

(4.12)

 

 

 

ai

( j) b j

(i)

 

 

 

Следует отметить, что точность представления величины L будет тем выше, чем меньше величины отклонений соответствующих

71

коэффициентов ai и bj. Если известны только максимально возможные отклонения величин коэффициентов передаточной функции aimax и bjmax, то мажорантная оценка может быть получена из выражения

 

L 2

 

 

 

2

 

 

2

 

L

2

(4.13)

Lmax

 

 

aimax

 

 

b jmax .

ai

(j ) bj

(i)

 

 

 

Для иллюстрации вышеизложенного рассмотрим пример. Имеется звено – амортизатор, состоящий из пружины и демп-

фера, схема которого приведена на рис. 4.1.

Рис. 4.1. Схема амортизатора

Входная величина звена х – усилие, прилагаемое к амортизатору, выходная величина y – перемещение платформы амортизатора. Даны: m – масса подвижной части; с1 – коэффициент жесткости пружины; с2 – коэффициент демпфирования. Требуется получить математическое описание зависимости между переменными y и х.

Так как перемещение происходит только в направлении оси y, соответствующее математическое описание может быть получено на основании уравнения равновесия сил, действующих вдоль этой оси. При этом полагаем, что вес подвижной части изначально скомпенсирован деформацией пружины.

В результате имеем дифференциальное уравнение

x c1 y c2 y(1) my(2) ,

72

или в операторной форме

x y(c

c

2

p mp2 ) .

1

 

 

Здесь первое слагаемое в правой части уравнения описывает усилие, создаваемое пружиной, второе – демпфером, третье описывает силу инерции.

После преобразований получаем

y xW ( p) , W ( p)

 

k

 

,

 

 

 

 

 

 

T 2 p2

 

T p 1

2

 

1

 

где k

1

, T

c2

,

T

2

m

.

 

 

 

 

 

c1

1

c1

 

2

c1

 

 

 

 

 

 

 

Имея математическое описание, можно осуществить анализ свойств звена и выдать рекомендации по его последующему синтезу с целью получения требуемых свойств. Так, например, вид переходного процесса выходной переменной y(t) (апериодический или колебательный) определяется решением исходного дифференциального уравнения для единичного ступенчатого воздействия на входе x 1(t)

и зависит от знака дискриминанта характеристического полинома P( )

P( )

T 2 2

T

 

1.

 

 

 

 

 

 

2

1

 

 

 

 

 

 

 

Дискриминант D этого полинома равен

 

 

 

 

 

 

 

 

 

c2

2

 

m

 

 

 

 

D T

2

4T

2

 

4

.

 

 

 

 

 

 

 

 

 

 

 

 

1

2

c1

 

 

c1

 

 

 

 

 

 

 

 

 

 

 

 

 

 

Если D , то соответствующее характеристическое уравнение

Р( ) = 0 имеет пару сопряженных мнимых корней

1,2

j

, что

 

 

 

 

 

 

 

 

 

 

 

 

обусловливает наличие колебательной переходной характеристики h(t)

 

 

 

 

 

 

2

2

e t sin ( t ) ,

 

 

 

h(t)

k 1

 

 

 

 

 

 

 

 

 

 

 

 

 

 

 

 

 

 

 

 

 

 

 

 

 

 

 

T

 

 

 

4T 2

T 2

 

 

 

 

где

1

 

,

 

2

1

,

arctg

 

.

2T

2

 

2T 2

 

 

 

 

 

 

 

 

 

 

 

 

 

 

2

 

 

2

 

 

 

 

 

 

 

 

 

 

 

 

 

 

 

 

 

 

73

 

 

 

 

Если D

 

, то характеристическое уравнение Р(

) = 0 имеет

пару отрицательных вещественных корней

1

1;

2

2 , что обу-

словливает наличие апериодической переходной характеристики

 

 

 

h(t) k 1

 

2

e 1t

 

1

 

e 2t

,

 

 

 

 

 

 

 

 

 

 

 

 

 

 

 

1

2

1

 

2

 

 

 

 

 

 

 

 

 

 

 

 

 

 

 

 

 

 

 

 

 

T

 

T 2

4T 2

 

 

 

 

 

 

 

 

где

1

1

2

.

 

 

 

 

 

 

 

 

1,2

 

2T 2

 

 

 

 

 

 

 

 

 

 

 

 

 

 

 

 

 

 

 

 

 

 

 

 

 

 

 

 

 

 

 

 

 

 

 

 

 

 

 

 

 

2

 

 

 

 

 

 

 

 

 

 

 

 

Отсюда видно, что варьируя параметрами элементов звена с1, с2 и m, можно добиваться требуемого вида переходного процесса. Например, если требуется обеспечить апериодический переходной процесс, то необходимо подобрать пружину и демпфер с параметрами, обеспечивающими выполнение условия D , т. е.

с2

2

m

 

 

 

 

 

 

 

 

 

4

0, или c2

2 mc1 .

с1

с1

 

 

 

 

 

Также, варьируя отдельными параметрами элементов звена, можно осуществлять целенаправленный его синтез и по другим характеристикам, например по длительности переходного процесса.

Если масса подвижной части невелика и ею можно пренебречь (m 0), то передаточная функция такого звена примет более простой вид

 

k

W ( p)

 

.

T1 p 1

Имея математическое описание в виде передаточной функции звена, несложно получить и другие его характеристики: переходные в виде переходной функции h(t) и функции веса w(t); частотные, например, АЧХ – А( ), ФЧХ – ( ), АФЧХ и др.

Используя приведенный пример, можно также проиллюстрировать влияние нестационарности, например коэффициента Т1, на такую характеристику звена, как длительность переходного процесса. При рассмотрении последнего варианта передаточной функции, когда m = 0, для заданного 5 %-го допуска на отклонение выходной величины от установившегося значения длительность переходного процесса будет равна

74

L 3T1.

Если в процессе эксплуатации такого амортизатора происходят изменения коэффициентов с1 и с2 (например, вследствие изменений свойств материала пружины и рабочей жидкости демпфера под действием температуры или их износа), то эти обстоятельства будут являться причиной нестационарности рассматриваемого коэффициента Т1. В этом случае оценка отклонения длительности переходного процесса от номинального значения может быть осуществлена в соответствии с выражением (4.12)

L

(3T1)

T1

3 T1.

T1

 

 

 

Величина среднеквадратического отклонения этого же пара-

метра при известной дисперсии

2

в соответствии с выражени-

T1

 

 

ем (4.10) будет равна

L3 T1 ,

амажорантная оценка Lmax, согласно выражению (4.13), составит

Lmax 3 T1max .

Аналогично реализуются процедуры разработки математического описания ряда других объектов, встречающихся на практике, и его использования для решения задач анализа и синтеза.

4.3. Экспериментальные методы получения математического описания

Рассмотренный в предыдущем подразделе аналитический метод получения математического описания зачастую оказывается неэффективным. В первую очередь это связано с тем, что многие процессы в объектах характеризуются одновременным протеканием различных взаимосвязанных явлений, которые, в свою очередь, определяются распределением параметров во времени и в пространстве агрегата. Такими, например, являются процессы тепло- и массообмена, характеризующиеся изменением коэффициентов тепло- и массопереноса, диффузии и других как во время обработки, так и в объ-

75