Материал: Z701 Гуляева ЮН Жариков АН Основы гидравлики и гидропривода Раб рогр метод указ контр раб

Внимание! Если размещение файла нарушает Ваши авторские права, то обязательно сообщите нам

В технике различают два режима движения жидкости: турбулентный и ламинарный. При ламинарном режиме частицы жидкости движутся параллельно друг другу и оси потока, при этом давление и скорость в любой точке во времени остаются постоянными.

При турбулентном режиме частицы жидкости движутся в потоке хаотично, направление движения частиц может быть вдоль потока, поперек и даже в сторону, противоположную движению потока в целом. Давление и скорость жидкости в каждой точке потока с течением времени меняются, пульсируют, т. е. в турбулентном потоке появляется пульсационная составляющая этих величин.

Переход от одного режима движения к другому зависит от соотношения сил инерции и сил трения, действующих в потоке. Отношение сил инерции к силам трения характеризуется безразмерным параметром, называемым критерием Рейнольдса. Для круглой трубы Re записывается в виде

, или , (2.8)

где динамический коэффициент вязкости; плотность жидкости; – диаметр трубопровода; кинематический коэффициент вязкости; v – средняя скорость движения потока.

Критерий Re, при котором происходит смена режимов движения, называется критическим. Для круглого трубопровода . При значении Re  2300 – режим движения ламинарный, при Re  2300 – режим движения турбулентный.

При движении жидкости в каналах некруглого сечения вместо диаметра в формулу (3.8) подставляется эквивалентный диаметр , равный

,

где – площадь живого сечения потока; П – смоченный периметр.

При ламинарном режиме движения жидкости в круглом трубопроводе коэффициент Дарси равен

. (2.9)

Для гидравлически гладких труб (область гладкого трения) коэффициент Дарси не зависит от шероховатости стенок, и его значение может быть вычислено по формуле Блазиуса

(2.10)

причем эта формула справедлива при числах Re от 104 до 8·104, или по формуле Конакова, справедливой для любого значения числа Rе

. (2.11)

Когда высота выступов шероховатости имеет тот же порядок, что и толщина ламинарного слоя л, вычисляемая по соотношению

,

или меньше ее, наступает область гидравлически шероховатых труб. В случае, когда ламинарный подслой разрушен действием сил инерции потока, устанавливается квадратичная область, и можно определить по формуле Б.Л. Шифринсона

(2.12)

Для доквадратичной области (23/ < Rе < 220ε–9/8), располагающейся между областями гладкого и квадратичного трения, рекомендуется формула А.Д. Альтшуля

. (2.13)

Расчет потерь напора в местных сопротивлениях производят по формуле Вейсбаха

(2.14)

где – коэффициент местного сопротивления, берется из справочной литературы по виду сопротивления.

В инженерной практике часто приходится решать задачи по определению времени, скорости, расхода при истечении жидкости через отверстия и насадки. Действительная скорость истечения при постоянном напоре Н равна

(2.15)

где – коэффициент сопротивления; – коэффициент скорости.

Для определения расхода найденную действительную скорость необходимо умножить на площадь сжатого сечения струи. При истечении жидкости через круглое отверстие в тонкой стенке берется сечение в месте сжатия струи . Коэффициенты при этом равны: ;

Таким образом, расход

, (2.16)

или

(2.17)

где – коэффициент сжатия струи, (для круглого отверстия ); – площадь сечения отверстия; – коэффициент расхода ().

Истечение жидкости при переменном напоре представляет собой неустановившееся движение, при котором скорость и расход непрерывно меняются. Математические зависимости для их определения значительно сложнее, и в каждом конкретном случае рекомендуется уяснить решение задачи с помощью учебника [1, с. 146].

Время, в течение которого уровень жидкости в вертикальном резервуаре понизится от высоты до , может быть определено из выражения

, (2.18)

где – горизонтальное сечение резервуара; – площадь сечения отверстия или насадка; – коэффициент расхода отверстия или насадка.

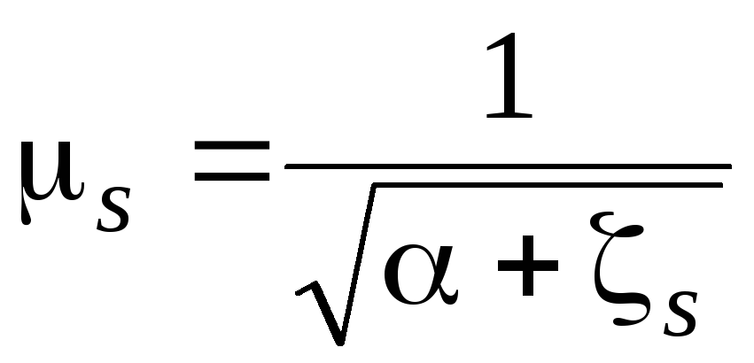
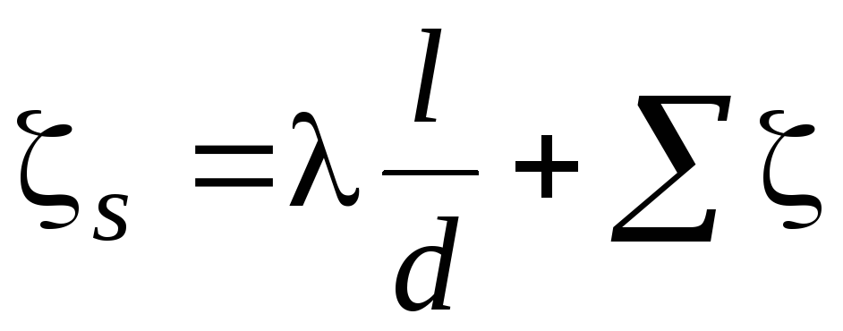
При расчете коротких трубопроводов используются следующие зависимости:

для определения потребного напора

, (2.19)

где – коэффициент сопротивления системы, ;

для определения расхода

(2.20)

где – коэффициент расхода системы, .

При расчете длинных трубопроводов используются зависимости:

(2.21)

и

(2.22)

где расходная характеристика трубопровода, ; Скоэффициент Шези, определяемый для квадратичной области гидравлического сопротивления трубопровода по формуле Н.Н. Павловского

,

где – гидравлический радиус, ; – коэффициент шероховатости стенок труб; П – смоченный периметр.

Учет местных потерь напора при расчете длинных труб можно произвести с использованием метода эквивалентных длин:

Тогда длина трубопровода, используемая в расчете, будет равна сумме геометрической длины трубопровода и эквивалентной длины

При внезапном перекрытии трубопровода кинетическая энергия, которой обладает жидкость, переходит в энергию давления. В результате происходит резкое повышение давления по всей длине трубопровода, сопровождающееся сжатием жидкости и растяжением стенок трубы. Это явление называется гидравлическим ударом. Повышение давления по длине трубопровода распространяется со скоростью, называемой скоростью распространения ударной волны с.

Повышение давления при гидравлическом ударе определяется по формуле Н.Е. Жуковского

, (2.23)

где – плотность жидкости; – средняя скорость жидкости до удара; – скорость распространения ударной волны.

В свою очередь,

, (2.24)

где Ежмодуль упругости жидкости; Ет – модуль упругости материала трубы; и – внутренний диаметр и толщина стенки трубы до удара.