Государственное образовательное учреждение высшего профессионального образования
Санкт-Петербургский государственный университет низкотемпературных и пищевых технологий

Кафедра процессов и аппаратов пищевых производств
Рабочая программа и методические указания
по выполнению контрольных работ для студентов специальности 190603
факультета заочного обучения и экстерната
Санкт-Петербург 2008
УДК 532.5
Гуляева Ю.Н., Жариков А.Н. Основы гидравлики и гидропри-вода: Рабочая программа и метод. указания к выполнению конт-рольных работ для студентов спец. 190603 факультета заочного обучения и экстерната. – СПб.: СПбГУНиПТ, 2008. – 40 с.
Приведена рабочая программа и методические указания к выполнению контрольных работ, содержащие основные сведения по гидравлике и гидравли-ческим машинам, контрольные вопросы и задачи, экзаменационные вопросы, список литературы.
.
Рецензент
Канд. техн. наук, доц. С.С. Ермаков
Рекомендованы к изданию редакционно-издательским советом уни-верситета
Санкт-Петербургский государственный
университет низкотемпературных
и пищевых технологий, 2008
Физические свойства жидкостей и газов. Удельный вес, плотность, сжимаемость, поверхностное натяжение.
Вязкость. Закон внутреннего трения Ньютона. Жидкости ньютоновские и неньютоновские. Идеальная жидкость. Давление насыщенного пара. Потоки адиабатический, изотермический, изоэнтропийный.
Литература: [1, с. 6–9]; [2, с. 6–20].
Силы, действующие в жидкости. Гидростатическое давление и его свойства. Дифференциальные уравнения равновесия жидкости (уравнения Эйлера). Поверхность равного давления, основное уравнение гидростатики. Эпюра давления. Удельная потенциальная энергия жидкости. Равновесие жидкости в сообщающихся сосудах, приборы для измерения давления. Закон Паскаля и его практическое применение.
Силы давления жидкости на плоскую и криволинейную поверхности. Центр давления. Относительное равновесие жидкости в равномерно вращающемся сосуде.
Закон Архимеда.
Литература: [1, с. 42–57; 2, с. 21–80; 3, ч.III, с. 1–49].
Виды движения жидкости: установившееся и неустановившееся, равномерное и неравномерное, напорное и безнапорное. Понятие элементарной струйки. Свойства элементарной струйки. Живое сечение потока, средняя скорость, смоченный периметр, гидравлический радиус, эквивалентный диаметр. Уравнение неразрывности (сплошности) газового и жидкостного потока. Понятие объемного и массового расхода.
Дифференциальное уравнение движения идеальной жидкости. Уравнение Бернулли для установившегося движения элементарной струйки идеальной жидкости. Геометрический и энергетический смысл уравнения Бернулли. Трубка Пито. Измерение скорости жидкости с помощью гидродинамической трубки.
Уравнение Бернулли для элементарной струйки вязкой жидкости. Уравнение Бернулли для плавноизменяющегося потока вязкой жидкости. Уклон пьезометрический и гидравлический. Потери напо- ра в трубопроводе. Виды гидравлических потерь. Принцип наложения потерь
Литература: [1, с. 83–88].
Основное уравнение равномерного движения. Режимы движения жидкости. Критическая скорость. Понятие о гидродинамическом подобии потоков. Критерий Рейнольдса. Критическое значение критерия Рейнольдса.
Ламинарный режим движения. Уравнение распределения скорости по сечению потока при ламинарном режиме движения жидкости в круглом трубопроводе. Связь между максимальной и средней скоростью. Расход и потеря напора при ламинарном режиме движения. Коэффициент гидравлического трения (коэффициент Дарси).
Турбулентный режим движения. Осредненная и пульсационная скорости.
Литература: [1, с. 84–111].
Уравнение распределения осредненной скорости по сечению турбулентного потока в круглом трубопроводе для двухслойной модели.
Толщина пристенного слоя. Понятие гидравлически гладких и гидравлически шероховатых труб. Определение потерь напора по длине трубопровода при турбулентном режиме движения.
Местные потери напора.
Литература: [2, с. 80–128, 134–158; 3, ч.1, с. 1–58].
Истечение жидкости через насадки и отверстия. Понятие о малом отверстии. Сжатие струи, коэффициент сжатия. Полное и неполное сжатие. Коэффициент скорости и расхода малого отверстия.
Истечение жидкости при переменном напоре. Время полного опорожнения резервуара.
Виды насадков. Истечение через цилиндрический насадок. Вакуум в зоне отжима насадка. Предельный напор.
Литература: [1, с. 141–146; 2, с. 194–209; 3, ч.1, с. 58–97].
Движение жидкости по трубам. Классификация трубопроводов. Коэффициент сопротивления системы трубопроводов. Величина потребного напора и расход потока через сечение трубопровода.
Гидравлический расчет трубопроводов. Расчет короткого трубопровода. Различные случаи расчета трубопроводов. Экономические соображения при расчете трубопроводов.
Литература: [1, с. 130–138; 2, с. 159–182; 3, ч. 2, с. 87–111].
Гидравлический удар в трубах. Скорость распространения ударной волны.
Литература: [1, с. 152–159; 2, с. 185–194; 3, ч.1, с. 111–122].
Определение насоса. Классификация насосов. Основные характеристики гидравлических машин. Устройство и принцип действия центробежного насоса.
Параметры насоса. Высота всасывания, кавитация. Движение жидкости в рабочем колесе. План скоростей.
Производительность центробежного насоса. Основное уравнение центробежного насоса. Напор статический и динамический, коэффициент реакции. Влияние угла установки лопатки на работу насоса. Характеристики насосов.
Основы теории подобия центробежных насосов. Коэффициент быстроходности. Классификация центробежных насосов по коэф-фициенту быстроходности.
Рабочие поля насосов. Универсальные характеристики центробежных насосов.
Работа насоса на сеть. Параллельное и последовательное соединение насосов при работе на сеть.
Литература: [1, с. 229–258; 2, с. 227–273; 3, ч. II, с. 2–75].
Поршневые насосы. Производительность поршневых насосов. Ротационные насосы. Радиально-поршневой насос, аксиально-порш-невой насос. Шестеренный насос. Лопастные насосы. Влияние различных факторов на КПД ротационных насосов.
Литература: [1, с. 264–283; 2, с. 332–354; 3, ч. II, с. 104–129].
Объемный гидропривод. Назначение и классификация гидропривода. Устройство гидравлической объемной передачи.
Литература: [2, ч.II, с. 129–172; 3, с. 354–378].
Курс «Основы гидравлики» включает в себя три раздела: гидростатика, гидродинамика, гидравлические машины.
В гидростатике рассматриваются физические свойства и законы равновесия жидкостей, а также воздействие жидкостей на стенки сосудов, трубопроводов и пр.
Жидкостью называется состояние физического тела, характеризующееся следующими отличительными свойствами:
1) текучестью, благодаря чему жидкость принимает форму сосуда, в который налита (в этом ее сходство с газообразным состоянием тела);
2) незначительным изменением своего объема при воздействии внешнего давления (в этом ее сходство с твердым состоянием тела).
Физическими свойствами жидкости являются: плотность, удельный вес, вязкость, мера сжимаемости.
Плотность – масса вещества, приходящаяся на единицу объема, кг/см3
![]()
где т – масса вещества; V – объем, занимаемый этой массой.
Удельным объемным весом = G / V = g называется вес жидкости в единице объема.
Плотность
газов связана с давлением и температурой
известным уравнением
,
где
– газовая постоянная. В изотермических
потоках
и отношение р /
= const.
При адиабатическом течении
,
где к – показатель адиабаты или
изоэнтропы. Изоэнтропический – это
идеальный адиабатический поток.
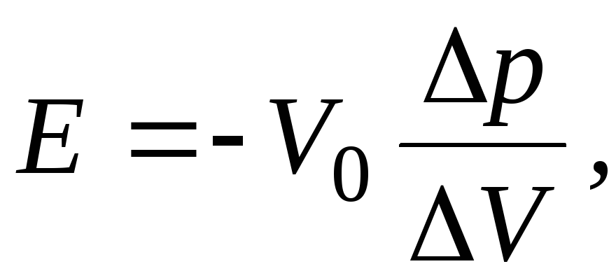
Мерой сжимаемости является модуль объемного сжатия Е, н/м2
![]()
где
– изменение давления;
–
изменение
объема;
– начальный объем.
Вязкость. При движении жидкости между ее частицами возникают силы внутреннего трения. Способность жидкости оказывать сопротивление сдвигу частиц относительно друг друга называется вязкостью. Ньютон высказал гипотезу о том, что сила внутреннего трения пропорциональна площади поверхности соприкасающихся слоев жидкости и градиенту скорости, т. е.
(1.1)
где
– коэффициент пропорциональности,
называемый динамическим
коэффициентом
вязкости;
du
/ d
– градиент скорости.
Уравнение (1.1) можно представить как закон Ньютона внутреннего трения:
(1.2)
где τ – касательное напряжение или напряжение сдвига.
Кинематическим
коэффициентом вязкости
называется отношение
![]()
Жидкости, движение которых подчиняется закону, представленному в уравнении (1.2), называются ньютоновскими.
В пищевой промышленности имеется ряд жидкостей, движение которых не подчиняется закону (1.2). К ним относятся мясные и рыбные фарши, высокожирные сливки, творог, кремы, джемы и пр. Эти жидкости называются неньютоновскими. Для ньютоновских жидкостей отношение касательного напряжения к градиенту скорости, равное динамическому коэффициенту вязкости
![]()
есть величина постоянная при данной температуре, а у неньютоновских это отношение не является постоянным.
В большинстве случаев движение неньютоновских жидкостей описывается законом
![]()
где
y
= du
/ d
– скорость сдвига;
– индекс течения; k
– коэффициент пропорциональности.
Для ньютоновских сред n = 1 и k = .
Идеальная жидкость. Часто с целью упрощения решения ряда задач гидравлики вводится понятие идеальной жидкости. Идеальной жидкостью называется воображаемая жидкость, которая характеризуется, во-первых, абсолютной несжимаемостью и, во-вторых, отсутствием вязкости. Поскольку вязкость жидкости проявляется только при ее движении, то при изучении покоящейся жидкости нет необходимости деления жидкости на реальную и идеальную.
В общем случае на жидкость действуют массовые или объемные силы (тяжести, инерции) и поверхностные (давления и трения).
Одно из основных понятий гидростатики – гидростатическое давление. Гидростатика занимается изучением изменения давления покоящейся жидкости. Различают абсолютный и относительный покой. Абсолютный покой – покой жидкости относительно Земли. При относительном покое жидкость находится в покое относительно стенок сосуда, в котором она помещается, но сам сосуд движется относительно Земли.
Среднее
гидростатическое давление
есть отношение силы давления жидкости
к площади поверхности
,
на которую эта сила действует
.
Основным уравнением гидростатики является выражение для величины гидростатического давления в любой точке покоящейся жидкости
,
(1.3)
где g – ускорение свободного падения.
Согласно
уравнению (1.3) полное гидростатическое
давление в
точке обусловлено давлением на поверхности
жидкости
,
глубиной ее погружения
и плотностью данной жидкости .
Абсолютным давлением называется сумма атмосферного и избыточного давления
.
(1.4)
Если сосуд открыт,
то р0 = ратм,
и
.
Если
сосуд закрыт и над поверхностью жидкости
имеется избыточное давление, то
и
.
Как
видно из формул (1.3) и (1.4), изменение
полного гидростатического давления по
глубине происходит по закону прямой
линии. Графическое изображение
называется эпюрой
гидростатического давления.
Если
абсолютное давление меньше атмосферного,
то недостаток давления до атмосферного,
равный
называется
вакуумом или давлением разрежения
.