Материал: Z701 Гуляева ЮН Жариков АН Основы гидравлики и гидропривода Раб рогр метод указ контр раб

Внимание! Если размещение файла нарушает Ваши авторские права, то обязательно сообщите нам

Взаимосвязь между различными единицами измерения давления приведена в табл. 1.

Таблица 1

Наименование

Обозначение

Па

бар

мм рт. ст.

мм вод. ст.

кгс/см2

Паскаль

Бар

Миллиметр ртутного столба

Миллиметр водяного столба

Атмосфера

1

105

133,3

9,8067

9,8064·104

10–5

1

1,333·10–3

9,8067·10–5

0,98067

7,502·10–3

750,2

1

7,36·10–2

736

0,102

1,02·104

13,6·103

1

104

1,02·10–5

1,02

1,36·10–3

10–4

1

Сила гидростатического давления на плоскую стенку определяется произведением единичного гидростатического давления в центре тяжести на величину площади стенки

, (1.5)

где hc расстояние по вертикали от центра тяжести стенки до свободной поверхности жидкости.

Давление в центре тяжести стенки равно

.

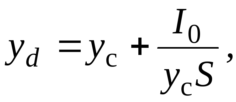
Точка приложения силы давления жидкости на стенку называется центром давления. Ее положение относительно линии уреза определяется уравнением

(1.6)

где расстояние в плоскости стенки от центра давления до линии уреза; расстояние в плоскости стенки от центра тяжести до линии уреза; – момент инерции площади стенки относительно оси, проходящей через центр тяжести и параллельной линии уреза.

Линией уреза называют линию пересечения свободной поверхности жидкости с плоскостью стенки или линию пересечения мысленного продолжения этих поверхностей.

Для вертикальной стенки положение центра давления будет определяться соотношением

где hd – глубина погружения центра давления.

Момент инерции зависит от конфигурации стенки. Например,

для круга диаметром

;

для прямоугольника

где h – высота прямоугольника; – ширина прямоугольника.

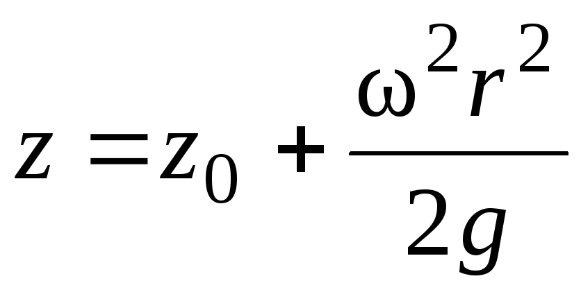
При относительном покое жидкости в равномерно вращающемся сосуде вокруг вертикальной оси свободная поверхность имеет форму параболоида вращения. Уравнение свободной поверхности имеет вид

, (1.7)

где – координата точки на свободной поверхности, т. е. расстояние от плоскости сравнения до точки; – расстояние от плоскости сравнения до вершины параболоида; – радиус вращения рассматриваемой точки; – угловая скорость; – ускорение свободного падения.

Объем параболоида можно выразить следующим образом:

, (1.8)

где п – частота вращения сосуда, с–1 .

Абсолютное давление в любой точке жидкости

, (1.9)

где – давление на свободной поверхности жидкости; – давление, вызванное центробежной силой; g (z0z) – давление, вызванное действием силы тяжести.

На тело, погруженное в жидкость, действует выталкивающая сила А, направленная вертикально вверх и равная, в соответствии с законом Архимеда, весу жидкости в объеме погруженного тела

А = gVт . (1.10)

2. Основные закономерности движения жидких сред

Раздел гидравлики, в котором изучаются законы движения жидкости и ее взаимодействие с соприкасающимися телами, называется гидродинамикой.

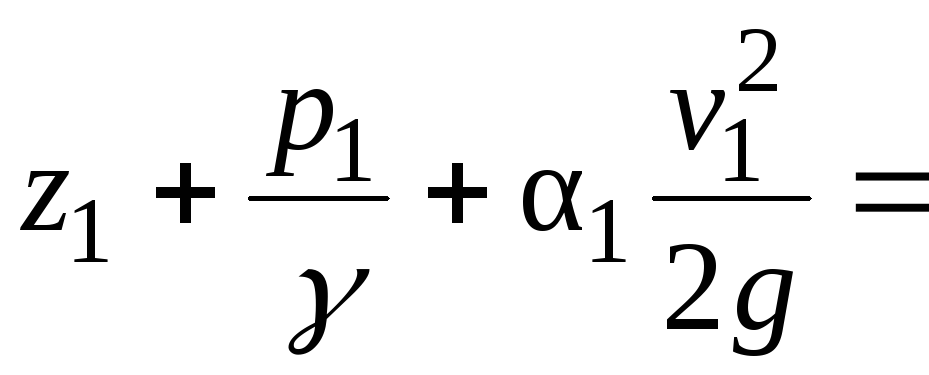
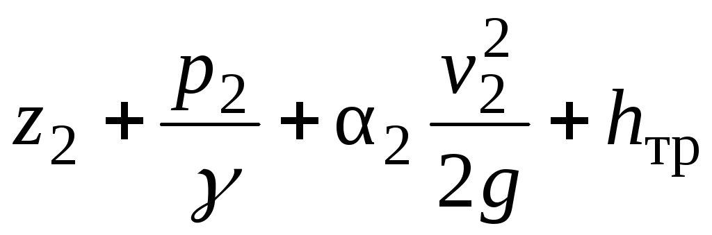
Основным уравнением гидродинамики является уравнение Бернулли, устанавливающее зависимость между удельной потенциальной и удельной кинетической энергией. Для потока реальной жидкости (обладающей вязкостью) уравнение Бернулли имеет вид

, (2.1)

где расстояние от плоскости сравнения до центра тяжести сечения потока; р – давление жидкости в заданном сечении; – средняя скорость движения потока;  – коэффициент кинетической энергии, характеризующий неравномерность распределения скоростей в поперечном сечении потока; – потери энергии (напора) между рассматриваемыми сечениями.

С энергетической точки зрения каждый член уравнения Бернулли (2.1) обозначает величину удельной энергии, т. е. энергии единицы веса жидкости: удельная потенциальная энергия положения; – удельная потенциальная энергия давления; удельная кинетическая энергия.

Для измерения местных скоростей в трубопроводах больших диаметров пользуются трубкой Пито-Прандтля. По разности уровней жидкости в коленах дифференциального манометра определяется скоростной напор h. Скорость жидкости в данном сечении определяется следующим образом:

. (2.2)

Для реальной жидкости уменьшение полной энергии в направлении движения потока точно соответствует величине гидравлических потерь.

Практическое значение уравнения Бернулли огромно. Оно позволяет определять величины давлений и скоростей в любом сечении трубопровода. В свою очередь, знание этих величин необходимо для определения расхода жидкости, установления режима движения жидкости, определения гидравлических потерь и т. д.

Гидравлические потери энергии в трубах и каналах складываются из потерь энергии по длине и из ее потерь в местных сопротивлениях (в кранах, вентилях, проводах и т. д.) .

.

Отношение потерянного напора между сечениями 1–2 к расстоянию между этими сечениями называется гидравлическим уклоном

. (2.3)

Для идеальной жидкости гидравлический уклон равен 0, для реальной – имеет только положительные значения.

Отношение разности удельных потенциальных энергий двух рассматриваемых сечений к расстоянию между ними называется пьезометрическим уклоном

. (2.4)

Пьезометрический уклон в зависимости от изменения скорости может иметь как положительное, так и отрицательное значение: например, при сужении трубопровода он имеет значения больше нуля, а при расширении – меньше нуля.

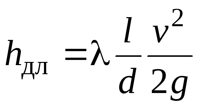
Потери напора по длине трубопровода определяются по формуле Дарси-Вейсбаха

, (2.5)

или

, (2.6)

где – коэффициент гидравлического трения по длине (коэффициент Дарси); – длина рассматриваемого трубопровода; диаметр трубопровода или эквивалентный диаметр канала; – коэффициент сопротивления по длине.

Значения можно определить по соответствующим формулам или графически по графику ВТИ (Г.А. Мурина), зная режим движения жидкости и относительную шероховатость трубопровода

, (2.7)

где – абсолютная шероховатость стенок трубопровода; – диаметр.