Материал: Vremyanka_VKB21-23

Внимание! Если размещение файла нарушает Ваши авторские права, то обязательно сообщите нам

Коэффициент корреляции и его свойства

Коэффициент корреляции есть отношение корреляционного момента к произведению стандартных отклонений случайных величин

Если , то случайные величины ξ и h называются некоррелированными

Если , то случайные величины ξ и h называются коррелированными

Свойства

  1. Если случайные величины ξ и h независимые, то они некоррелированные ( )

Если случайные величины ξ и h коррелированные ( ), то эти случайные величины зависимы

Обратные утверждения неверны !

  1. Нормированной случайной величиной называется отношение отклонения случайной величины от ее математического ожидания к стандартному отклонению

Коэффициент корреляции двух случайных величин ξ и h равен корреляционному моменту их нормированных случайных величин

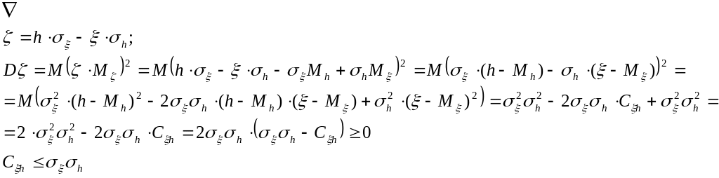
  1. Если случайные величины ξ и h линейно-зависимые, то модуль коэффициента корреляции

где a,b произвольные коэффициенты.

Если линейная зависимость между ξ и h носит возрастающий характер, тогда коэффициент корреляции равен 1. Если линейная зависимость между ξ и h носит убывающмй характер, тогда коэффициент корреляции равен -1.

  1. Коэффициент корреляции является мерой линейной зависимости двух случайных величин

  1. Степень линейной зависимости

0 ÷ 0.3

0.4 ÷ 0.7

0.8 ÷ 1

С.Л.З.

Слабая

Средняя

Сильная

Уравнения Регрессии

Кривые, которые задаются двумя уравнениями, называются кривыми регрессии. Ограничимся случаем, когда кривые регрессии являются прямыми (прямые регрессии).

уравнение регрессии случайной величины h на случайную величину ξ

уравнение регрессии случайной величины ξ на случайную величину h

Характеристики

  1. В общем, для произведения случайной величины ξ и h прямые регрессии не совпадают

  2. Если модуль коэффициента корреляции равен 1, т.е. ξ и h линейно-зависимы, то оба уравнения регрессии совпадают между собой и с самим уравнением линейной зависимости ξ и h

  3. Обе прямые регрессии проходят через точку т.е. пересекаются в этой точке

  4. Прямая регрессии случайной величины h на случайную величину ξ имеет следующий смысл, если случайные величины ξ и h коррелированны ( ), то правая часть уравнения регрессии обеспечивает наилучшее приближение случайной величины h к случайной функции вида в смысле метода наименьших квадратов