Материал: Vremyanka_VKB21-23

Внимание! Если размещение файла нарушает Ваши авторские права, то обязательно сообщите нам

  1. Математическое ожидание

  1. Введем серию случайных величин число успехов в 1, 2, 3,…, n испытании

ξ

0

1

P

q

p

0

1

  1. Дисперсия

  • Распределение Пуассона

ξ

1

2

3

p

  • Геометрическое распределение

ξ

1

2

3

p

p

p∙q

p∙q²

  • Непрерывное равномерное распределение на отрезке

  • Показательное распределение

λ – величина обратная математическому ожиданию

Условные законы распределения

h

ξ

P11

P12

P1m

P21

P22

P2m

Pn1

Pn2

Pnm

Пусть в результате некоторого опыта случайная величина h принимает одно из своих возможных значений , а случайная величина ξ может принять одно из своих значений {Х1, Х2, Х3,…, Хn}. Условная вероятность того, что случайная величина ξ примет значение Хi , при условии, что случайная величина h приняла значение равна и называется условным законом распределения случайной величины ξ

Другими словами условным законом распределения случайной величины ξ при значение условным законом распределения случайной величины h= называется совокупность условных вероятностей

Аналогичным образом вводится условное распределение случайной величины h при фиксированном значении

В случае непрерывных случайных величин ξ и h вводится понятие условной плотности распределения случайной величины ξ при заданном значении случайной величины

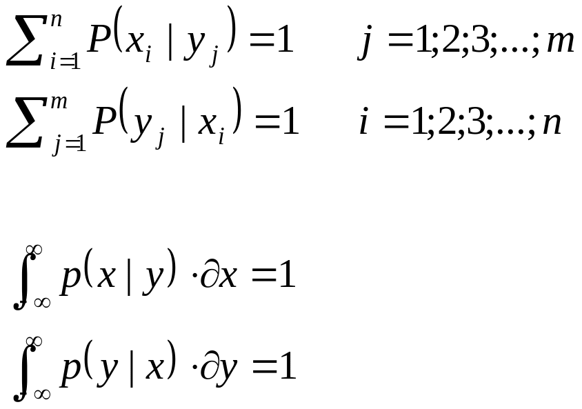
Свойства условных вероятностей и плотностей вероятностей

  1. Не отрицательность

  1. Нормированность

Условное математическое ожидание

Условным математическим ожиданием случайной величины h при некотором фиксированном значении случайной величины ξ = х называется

  • В случае дискретных случайных величин

  • В случае дискретных случайных величин

, где – называется функцией регрессии случайной величины h на случайную величину ξ

, где – называется функцией регрессии случайной величины ξ на случайную величину h

Пример

  • h

    ξ

    -2

    4

    1

    0.2

    0.4

    0.6

    3

    0.3

    0.1

    0.4

    0.5

    0.5

Корреляционный момент (корреляция) двух случайных величин

Рассматриваются случайные величины ξ и h для которых задан двумерный закон распределения, если они дискретные или плотности совместного распределения, если непрерывны, тогда корреляционный момент случайных величин ξ и h.

Свойства корреляционного момента

  1. , где D – дисперсия

  1. Если случайные величины ξ и h независимы, то