− радіаційно-стимулююча дифузія.
Методи легування напівпровідників
|
Високотемпературна |
|
Іонна |
|
Радіаційно-стимулююча |
|||||||
|
|
дифузія |
|
імплантація |
|
дифузія |
||||||
|
|
|
|
|
|
|
|
|
|
|
|
|
|
|
|
|
|
|
|
|
|
|
|
|
|
|
|
В |
|
В |
|
Введення |
|
|
|
|
||
|
Оброблення |
|
Оброблення |
|||||||||
|
замкнутій |
|
відкритій |
|
|
іонів домішки |
|
|
||||
|
|
|
|
частинами |
|
частинами |
||||||
|
|
системі |
|
системі |
|
|
|
|
|
|||
|
|
|
|
|
|
високої |
|
низької |
||||
|
|
|
|
|
|
|
|
|
|
|
||
|
|
|
|
|
|
|
|
|
|
енергії |
|
енергії |
|
|
З твердої фази |
|
|
|
Температурне |
|
|
||||
|
|
|
|
|
|
|
|
|
||||
|
|
|
|
|
|
|
|
|
||||
|
|
|
|
|
оброблення |
|
|
|
|
|||
|
|
|
|
|
|
|
|
|
|
|
|
|
|
|
|
|
|
|
|
|
|
|
|||
|
|
|
Рисунок 9.2 – Методи легування напівпровідників |
|||||||||
Для кожної групи характерне використовування спеціалізованого технологічного устаткування, що забезпечує проведення процесу в строго контрольованому режимі. Оскільки основні характеристики ІМС визначаються параметрами р-n-переходів і легованих областей, які залежать від розподілу домішок в структурах при легуванні, до процесів легування висувають жорсткі вимоги з прецизійності геометричних розмірів легованих областей і точності розподілу концентрації домішки. Це, у свою чергу, обумовлює вимоги до технологічних режимів процесів легування із забезпечення заданого розподілу введеної домішки.
Високотемпературна дифузія. Методи дифузії є основними і найпоширенішими при легуванні напівпровідників.
При дифузії в кристалах розрізняють переміщення домішкових атомів і атомів даного твердого тіла (самодифузія). Швидкість дифузії залежить від градієнта концентрації атомів. Чим більший градієнт концентрації, тим інтенсивніше переміщення атомів.
Теоретично в реальних кристалах передбачається три механізми дифузії: взаємний обмін місцями (обмінний), як в ідеальному кристалі; поміж вузлами; по вакансіях.
Математичний опис дифузійних процесів стосовно ідеальних газів і розчинів був вперше зроблений в 1855 р. А. Фіком у вигляді двох законів, заснованих на рівняннях теплопровідності.
Перший закон Фіка характеризує швидкість дифузії атомів однієї речовини в іншу при постійному в часі потоці цих атомів і незмінному градієнті їх концентрації:
135
j = - DСN, |
|
(9.4) |
де j – вектор густини потоку атомів |
речовини; D – |
коефіцієнт |
пропорційності або коефіцієнт дифузії; |
СN – вектор |
градієнта |
концентрації дифундуючих атомів. |
|
|
Коеффієнт дифузії визначає густина потоку атомів речовини при заданому градієнті концентрації. Оскільки дифузійний потік атомів речовини йде у напрямі вирівнювання перепаду концентрації, то коефіцієнт D (см2 /с) є мірою швидкості, з якою система здатна за заданих умов вирівняти різницю концентрацій. Ця швидкість залежить тільки від рухливості дифундуючих атомів в кристалічних гратках напівпровідника.
Швидкість дифузії залежить від кристалографічного напряму, проте за звичайних умов в напівпровідниках виявляється тільки слабка анізотропія. Крім того, при підвищених температурах в реальному технологічному процесі переважне переміщення атомів в найбільш «вигідному» кристалографічному напрямі перекривається безладним броунівським тепловим рухом атомів.
Градієнт концентрації при об'ємній дифузії має три складових по координатних осях. Якщо глибина дифузії значно менша поперечних розмірів площі, на якій вона відбувається, то приймають, що дифузія йде в одному напрямі. Одновимірне рівняння Фіка має вигляд
j(x) = - D |
dN |
, |
(9.5) |
|
dx |
||||
|
|
|
де j(x) – густина потоку або число атомів речовини, переносних в
одиницю часу через одиничну площу; dN / dx – градієнт концентрації дифундуючої домішки у напрямі дифузії.
Другий закон Фіка визначає швидкість накопичення розчиненої домішки в будь-якій площині, перпендикулярній напряму дифузії. Для одновимірного випадку
dN/dt=[d/dx·D·dN/dx], (9.6)
де dN/dt – зміна концентрації дифундуючої речовини в часі.
У загальній формулі (9.6) враховується можлива залежність коеффіцеєнта дифузії від концентрації домішки, оскільки частота обміну місцями атомів залежить від структури напівпровідника. Якщо коефіцієнт D вважати постійним, то рівняння (9.6) прийме вигляд
dN |
= D |
d 2 N |
. |
(9.7) |
|
dt |
dx2 |
||||
|
|
|
При цьому передбачається, що температура дифузійного процесу і, отже, значення коефіцієнта дифузії D , дуже залежного від температури, залишаються незмінними. Проте якщо концентрація дифундуючої домішки достатньо велика, то коефіцієнт дифузії також залежить від неї, що необхідно враховувати при розв’язанні рівняння (9.7).
136
Розподіл домішок. В процесі отримання мікроелектронних структур нерідко розв’язують задачі, в яких за наперед відомим коефіцеєнтом дифузії визначають деякі дифузійні характеристики: розподіл концентрації домішки, товщину дифузійного шару, потік дифузанта через яку-небудь поверхню, кількість введеної домішки і т.д. Для цього потрібне розв’язання рівняння другого закону Фіка.
Практично при створенні напівпровідникових ІМС становлять інтерес два випадки дифузії: з нескінченного і скінченного джерела домішки.
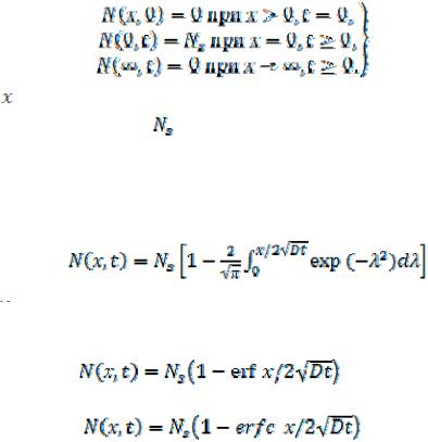
Дифузія з нескінченного (постійного) джерела домішки в напівпровідникову пластину, діаметр якої значно більший її товщини, відбувається на глибину, істотно меншу товщини пластини. Під нескінченним (постійним) джерелом розуміють такий стан системи, коли кількість домішки, що йде з приповерхневого шару напівпровідника в його об'єм, рівна кількості домішки, що надходить в приповерхневий шар. Таким є джерело домішки з нескінченно великим вмістом атомів, які в ньому і у поверхні напівпровідникової пластини мають істотно більші швидкості, ніж в об'ємі пластини. Початкову і граничну умови в цьому випадку записують таким чином:
|
, |
(9.8) |
де – відстань від поверхні; x = 0 – координата поверхні, через яку |
||
відбувається дифузія; |
– приповерхнева концентрація |
домішки, |
підтримувана постійною протягом всього процесу;
–концентрація дифундуючої домішки на будь-якій глибині у будь-який час;
– час
дифузії.
За цих умов розв’язання рівняння другого закону Фіка має вигляд
, |
(9.9) |
де 
– змінна інтеграції.
Другий член в квадратних дужках є виразом функції помилок,
тому рівняння (9.9) можна записати таким чином: |
|
|
(9.10) |
або |
|
, |
(9.11) |
де
– символ, що означає доповнення функції помилок до
одиниці.
Формула (9.11) описує розподіл концентрації домішки залежно від координати (глибини) і часу (рис. 9.3,а).
137
Рисунок 9.3 – Графіки розподілу концентрації домішки в
напівпровіднику при |
; а – за законом доповнювальної функції |
помилок; б – за законом Гауса |
|
З формули (9.11) виходить, що розподіл домішки визначається її приповерхневою концентрацією Ns , коефіцієнтом дифузії D і часом
дифузії t . Якщо процес дифузій перервати, а потім відновити, то загальний розподіл домішки
. (9.12)
У цьому виразі індекси 1 і 2 відносяться відповідно до першої і другої стадій процесу.
Максимальне значення приповерхневої концентрації (9.10),(9.11) обмежується межею розчинності домішок, дифундуючих в напівпровідник. Густина потоку домішкових атомів, проникаючих в напівпровіднику через поверхню при x = 0,
= |
= |
. |
(9.13) |
Кількість домішок дифундуючих в напівпровідник за час t
. (9.14)
Дифузія зі скінченного (обмеженого) джерела має місце, коли граничною умовою є абсолютно непроникна поверхня. При цьому потік через поверхню ( x = 0 ) відсутній при всіх значеннях t і 0 , тобто
138



.
Умови дифузії зі скінченного джерела домішки одержують таким чином: в тонкому приповерхневому шарі напівпровідникової пластини d створюють надмірну концентрацію домішки Ns (заганяння), після чого поверхню пластини покривають матеріалом із значно меншим, ніж у напівпровідника, коефіцієнтом дифузії (наприклад, SiO2 ) і піддають
нагріву, під час якого відбувається дифузія домішки в глибину пластини (розгін), а на її поверхні (при х = 0) потік домішки практично рівний нулю протягом будь-якого часу. При цьому початкові умови для домішкового розподілу такі:
(9.15)
За цих умов розв’язок рівняння другого закону Фіка має вигляд
(9.16)
де Q – загальна кількість домішки в напівпровідниковій пластині у будь-який момент часу.
Рівняння (9.16) є функцією розподілу (закон) Гауса і показує розподіл концентрації домішки залежно від глибини і часу (рис. 9.3, б).
Порівняння рівнянь (9.11) і (9.16), що описують розподіл домішки для двох основних граничних умов, показує: в першому випадку концентрація домішки на поверхні пластини залишається постійною, а усередині пластини весь час підвищується і при
; у
другому випадку концентрація домішки на поверхні пластини постійно зменшується і при t→∞ загальна кількість домішки в пластині Q прямує до рівномірного розподілу на всій її глибині.
Дифузія з нескінченного джерела проводиться в основному при ізоляції напівпровідникових структур і формуванні емітерних областей, а дифузія зі скінченного джерела – при створенні багатошарової структури і формувань базових областей транзисторів, а також при ізоляції структур.
Радіаційно – стимулююча дифузія. Цей метод дифузії заснований на введенні домішки в результаті бомбардування напівпровідникового кристала легкими іонами з енергією, достатньою для зсуву атомів підкладки в міжвузлові положення.
Вакансії, що утворюються, мігрують в кристалі, міняючись положенням в гратках з сусідніми атомами, внаслідок чого домішкові атоми займають положення у вузлах кристалічних граток, здійснюють таку дифузію з поверхневого джерела домішки, сформованого наперед шляхом додаткового оброблення поверхні пластини іонами електрично неактивних домішок ( H , He, N , Ar і ін.). Опромінювання проводиться або в процесі
139