![]()
bu
erdan
bo‘ladi.
Quyoshning ekvatori zonasida, uning aylanishi tufayli chiziqli tezligi 2 km/s bo‘lib, ekvatorining sharqiy va g‘arbiy qismlarining spektrlarida chiziqlarning siljishi mos ravishda, 0,035A kattalikni beradi.
Osmon jismlaridan kelayotgan nurlanishlarni o'rganishda spekral qurilmalardan keng foydalaniladi, shulardan biri spektrograflardir. Spektrografning eng soda ko'rinishi bu teleskop oldi tomoniga o'rnatilgan prizmadir. Bu turdagi qurilma obektiv-prizmali spektrograf deyiladi. Prizma turli to'lqin uzunliklarni spektrga sochib yuboradi, uni esa oson qayd etsa bo'ladi. Spektrning kengligini oshirish maqsadida, ekspozitsiya davomida teleskop spektrga perpendikulyar ravishda bir oz suriladi. Obektiv-prizmali spektrograf yordamida ko'p sonli spektrlar olinishi mumkin.
|
|
|
4.8-rasm. Tirqishli spektrografning ishlash printsipi. Tirqishdan o'tgan yorug'lik kollimatorga kelib tushadi (bir-biriga parallel qilinadi), prizma yordamida spektrga ajraladi va fotoplastinka yoki CCD kameraga proektsiyalanadi |
Osmon jismlari haqida yanada aniqroq ma'lumot olish uchun tirqishli spektrografdan foydalanish ma'qul. U teleskopning fokal tekisligida joylashgan tor tirqishdan iborat. Tirqishdan o'tgan yorug'lik kollimatorga yo'naltiriladi, u o'ziga tushgan barcha yorug'likni qaytarish yoki sindrish orqali parallel nurlar dastasiga aylantiradi. Shundan keyin prizma yordamida yorug'lik spektrga jaraladi va detektorda fokuslanadi. Hozirgi kunda detektor sifatida CCD-kameralar ishlatiladi. To'lqin uzunliklarni aniq belgilash maqsadida yulduz spektridan tashqari solishtirma spektr ham kuzatiladi. CCD-kameralar bilan moslangan zamonaviy spktrograflarda solishtirma spektr alohida tasvir sifatida olinadi. Katta tirqishli spektrograflar ko'p hollarda teleskopning fokusida joylashgan bo'ladi.
Spketrni hosil qilish uchun prizma o'rniga diffraktsion panjara ham ishlatiladi. Panjara yonma-yon turgan, bir millimetrga bir necha yuzdan iborat o'ta tor chuqurchalardan iborat. Yorug'lik ushbu chuqurchalarning devorlaridan qaytganda, qo'shni nurlar bilan interferentsiyalanadi va turli tartibdagi spektrlarni hosil qiladi. Panjaralarning ikkita turi mavjud: qaytaruvchi va o'tkazuvchi panjaralar. Qaytaruvchi panjarada prizma yoki o'tkazuvchi panjara kabi yorug'lik nurlari yutilmaydi. Panjara odatda prizmaga nisbatan yuqoriroq dispersiyaga, ya'ni spektrni yoyish qobiliyatiga ega. Dispersiyani panjaradagi chuqurchalarning zichligini oshirish orqali kattalashtirsa bo'ladi. Tirqishli spektrograflarda qaytaruvchi panjaralar keng tarzda ishlatiladi.
Qaytaruvchi difraksion panjara, parallel shtrixlar o‘yilgan alyuminlangan ko‘zgu bo‘lib, shtrixlarning oralig‘i va chuqurligi nurning to‘lqin uzunligi bilan solishtiriladi. Yorug‘lik nurlariga mo‘ljallangan difraksion panjaraning har millimetrlariga odatda 600 ga yaqin o‘zaro parallel shtrixlar o‘yilib, ixtiyoriy qo‘shni shtrix orasi qat’iy bir xil (1,66 mk) bo‘lishi ta’minlanadi. Shuning uchun difraksion panjaralarni yasash, murakkab vazifalardan hisoblanadi. Difraksion panjara yordamida spektr hosil qilish yorug‘likning difraksiyasi hamda interferensiya hodisalariga asoslangan.
Ajrata olish kuchi spektral qurilmalarning asosiy xarakteristikasi bo‘lib, bir-biriga juda yaqin joylashgan ( oralikda) to‘lqin uzunligidagi spektral chiziqlarni o‘zaro ajratib qayd qilishi bilan belgilanadi va quyidagicha ifodalanadi:
Astronomik obyektlarning temperatura (harorat)lari absolyut noldan millionlar gradusgacha bo‘lgan intervalin egallashadi. Haroratlar turli yo‘llar bilan aniqlanishi mumkin va ularning sonli qiymati qo‘llanilgan hususiy ta’riflarga bog‘liq. Ushbu turli haroratlar turli fizik jarayonlarni ifodalashda kerak bo‘ladi va ko‘p hollarda yagona bo‘lgan “haqiqiy” harorat mavjud emas.
Qo‘pincha tahlil o‘rganilayotgan obyektni, masalan yulduzni, qora jism bilan solishtirish orqali topiladi. Haqiqiy yulduzlar huddi qora jismdek nurlamasa ham, ularning spektrlari odatda, spektral chiziqlarning effektlari bartarf etilganidan keyin, qora jism spektri bilan approksimatsiyalashadi. Natijaviy tahlil Plank funksiyasini kuzatularga moslashtirish uchun qo‘llanilgan aniq mezonlarga bog‘liq.
Yulduz
sirtining temperaturasini ifodalovchi eng muhim kattalik bu efektiv
tahlil
.
Bu kattalik yulduznikiga teng bo‘lgan umumiy oqim zichligi bilan
nurlayotgan qora jismning tahlili deb ta’riflanadi. Effektiv tahlil
faqatgina barcha chastotalar bo‘yicha integrallashgan umumiy
nurlanishning quvvatiga bog‘liq bo‘lganligi uchun uni barcha
energiya taqsimotlariga qo‘llasa bo‘ladi, hattoki taqsimotlar
Plank qonunidan ancha uzoqlashgan bo‘lsa ham.
Oldingi
bo‘limda biz Stefan-Bolsman qonunini qo‘lga kiritdik – u umumiy
oqim zichligini tahlilga bog‘liq funksiya sifatida beradi. Endi biz
tahlilning shunday qiymatini topsak-ki, unga asoslanib Stefan-Bolsman
qonuni yulduz sirtidagi oqim zichligi
ning to‘g‘ri qiymatini bersa, demak biz aynan effektiv tahlilni
topgan bo‘lamiz. Sirtdagi oqim zichligi:

Umumiy
oqim
,
bu erda
– yulduz radiusi, va
masofadagi oqim zichligi endi quyidagicha bo‘ladi:

bu
erda
yulduzning ko‘rinma
burchak diametri.
Effektiv
tahlilni bevosita o‘lchash uchun biz yulduzning umumiy oqim
zichligini va burchak diametrini o‘lchashimiz kerak bo‘ladi. Bu
ishni diametrni interferometriya yo‘li bilan o‘lchangan juda kam
sonli hollarda amalga oshirsa bo‘ladi.
Agarda
biz yulduz sirida ma’lum bir
to‘lqin uzunligida oqim zichligi
Plan qonunidan kelib chiqadi deb qabul qilsak, unda biz ravshanlik
temperaturasi
ni olgan bo‘lamiz.
Unda
izotrop holati uchun biz
ega bo‘lamiz. Agarda yulduzning radiusi
va erdan masofasi
bo‘lsa, kuzatiladigan oqim zichligi quyidagicha bo‘ladi:
![]()
Spektral
qurilmaning burchak dispersiya deb ataluvchi parametri
ifoda bilan aniqlanadi, bu erda
- bir-biridan
to‘lqin uzunliga farqlanuvchi spektrda yotuvchi elementdan (prizma
yoki difraksion panjara) o‘tgan ikki parallel monoxromatik nurlar
dastasi orasidagi burchakni xarakterlaydi.

Yana
bir takrorlash kerak-ki, faqatgina burchak diametri
ma’lum bo‘lsagina
ni aniqlasa bo‘ladi. Yorqinlik
temperaturasi
quyidagi tenglamadan topsa bo‘ladi:

Yulduz mutloq qora jismdek nurlamagani uchun, uning yorqinlik temperaturasi (4.29)da ishlatiladigan muayyan to‘lqin uzunligiga bog‘liq.
Radioastronomiyada
yorqinlik tahlil manbaning intensivligini (yoki sirtqi yorqinligini)
ifodalashda ishlatiladi. Agarda
chastotadagi intensivlik
bo‘lsa,
quyidagidan yorqinlik temperaturasi topiladi:

sirtki
yorqinligi kuzatilanayotgan obyektnikidek bo‘lgan qora jismning
haroratini anglatadi.
Radio
diapazondagi to‘lqin uzunliklari juda katta bo‘lgani sababli
Reley-Djins approksiyamatsiyasining
sharti odatda bajariladi (millimetr va submillimetr sohalaridan
tashqari) va shunda biz Plank qonunini quyidagicha yozishimiz mumkin:

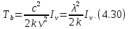
Shunday qilib, biz radioastronomik yorqin harorati uchun quyidagi ifodaga kelamiz:
(4.30)
Radioteleskop
yordamida qayd etiladigan signal miqdori bu
– antenna
haroratidir.
Antenna harorati o‘lchanganidan keyin quyidagidan yorqinlik
haroratini topamiz:

bu
erda
– antennaning nur effektivligi (odatda u
).
Agrda manba etarli daradaja keng bo‘lib, nurni butunlicha, ya’ni
antenna tushayotgan nurlanishni qabul qilib oladigan
fazoviy burchakni egallasagina (4.33) tenglamasini qullasa bo‘ladi.
Agarda manba tuzgan
fazoviy
burchak
burchakdan kichik bo‘lsa, kuzatiladigan antenna harorati

Manbaning
burchak diametri nomva’lum bo‘lganda ham rang
harorati
ni aniqlasa bo‘ladi (5.11-rasm). Biz faqat ma’lum bir
to‘lqin uzunliklari diapazornida nisbiy energiya taqsimotini
bilishimiz kerak bo‘ladi, oqimning absolyut qimaytlari talab
etilmadi. To‘lqin uzunligiga bog‘liq funksiya ko‘rinishida
kuzatiladigan oqim zichligi turli haroratlarda Plank funksiyasi bilan
solishtiriladi. Eng yaxshi moslashganlikni beradigan harorat
intervaldagi rang haroratini beradi. Turli to‘lqin uzunliklar
intervallari uchun rang harorati odatda har hil bo‘ladi, bunga
sabab – kuzatiladigan energiya taqsimotining shakli qora jism
spektridan keskin farq qilishi mumkin.
|
|
|
4.9-rasm.
Rang haroratini aniqlash. Ikkita
|
Rang
haroratini topishning eng sodda usuli quyidagicha. Biz ikkita
va
to‘lqin uzunliklarida
oqim zichligini o‘lchaymiz. Agarda biz intensivlik taqsimotini
Plank funksiyasiga bo‘ysinadi deb olsak, unda ushbu oqim
zichliklarning nisbati Plank qonunidan olingan nisbatiga teng
bo‘lishi kerak:

Ushbu tenglamaning echimi sifatida topilgan harorat rang harorati bo‘ladi.
Kuzatilgan
oqim zichliklari muayyan
va
yulduz kattaliklariga mos keladi. Yulduz kattaliklarning ta’rifi

formulani beradi, bu erda konstanta yulduz kattaliklari shkalasidagi turli nol punktlari mavjudligining oыibatidir. Agarda harorat unchalik katta bo‘lmasa, unda biz spektrning optik qismi uchun Vin approksimatsiyasini ishlatishimiz mumkin bo‘ladi:

Buni quyidagicha qayta yozishimiz mumkin:

bu
erda
va
ma’lum bir konstantalar. Bu formula ikkita yulduz kattaliklari
ayirmasi va rang harorati orasida sodda ko‘rinishdagi bog‘lanish
mavjudligini ko‘rsatadi.