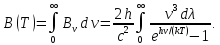
sirtga perpendekulyar ravishda
fazoviy burchak ostida
intensivlikga ega bo‘lgan nurlanish kelyapti (4.5-rasm).
vaqt
davomida nurlanish
masofani
bosib o‘tadi va
xajmni
to‘ldiradi. Endi
.
Shunday qilib,
xajmdagi energiya miqdori

Shu
sababli,
fazoviy burchakdan kelayotgan nurlanishning
energiya zichligi

va umumiy energiya zichligi barcha yo‘nalishlar bo‘yicha integrallash orqali qo‘lga kiritiladi. Izotrop nurlanish uchun biz quyidagiga ega bo‘lamiz:

Gipparxning
hali noaniq bo‘lgan klassifikatsiyasi 1856 yilda Norman R. Pogson
tomonidan o‘zgartirilgan edi. Yangi, kattaroq aniqlikdagi
sinflashtirish oldingiga iloji boricha mos keladi, ammo natijada,
astronomiyaga hos bo‘lgan, nomantiqiy ta’riflar bartaraf etildi.
Shunday qilib, endi birinchi sinfdagi yulduzlarning ravshanligi
oltinchi sinfdagi yulduzlarning ravshanligidan yuz marta kattaroq deb
qabul qilindi. Pogson
va
sinflarning ravshanliklari orasidagi nisbatni
deb
ta’riflaydi.
Ravshanlik
sinfi yoki yulduz
kattalik
kuzatiladigan oqim zichligi
(
)
birligida belgilanishi mumkin. 0 ga teng yulduz kattaligi oldindan
tanlangan
oqim zichligiga mos keladi deb qabul qildik. Shunda barcha boshqa
yulduz kattaliklari quyidagi tenglama orqali topiladi:

Tenglamadagi koeffitsient 2.512 emas, balkim aynan 2.5 ligini yodda tuting! Yulduz katataligi o‘lchovsiz birlik, ammo o‘quvchilarga aynan qasi kattalik haqida gap ketayotigani to‘g‘risida eslatib turish uchun biz buni, masalan 5 mag yoki 5m deb yozishimizz mumkin.
(4.8)
tenglamasi Pogson ta’rifiga ekvivalentligini ko‘rishimiz muimkin.
Agarla ikkita yulduzning yulduz kattaliklari
va
va ularning oqim zichliklari mos ravishda
va
bo‘lsa, unda

bu
erdan
kelib chiqadi.
Xuddi
shu yo‘l bilan ikkita yulduzning
va
yulduz kattaliklari va ularning
va
oqim zichliklari quyidagicha bir biri bilan bog‘langanligini
ko‘rsatishimiz mumkin:

Yulduz kattaliklar orinilan oltita sinfga nisbatan ikkala tomonga kengaygan.Eng ravshan yulduz Siriusning yulduz kattaligi manfiy bo‘lib, –1.5 ga teng. Quyoshning yulduz kattaligi –26.8, to‘liq Oyniki esa –12.5. Kuzatiladigan eng hira obyektlarning yulduz kattaliklari teleskopning o‘lchamiga, qabul qilgichning sezgirligiga va ekspozitsiya vaqtiga bog‘liq. Bu chegara eng hira tomonga tobora siljib kelmoqda; hozirgi kunda kuzatiladigan eng hira obyektlarning yulduz kattaligi 30mdan oshgan.
Kurinma yulduz kattaliklari yulduzlarning asli yorqinliklari haqida hech narsani bildirmaydi, chunki ular turli masofalarda joylashgan. Yulduzning o‘ziga xos ichki ravshanlikning miqdoriy o‘lchash natijasi absolyut yulduz kattaligi deyiladi. Bu kattalik kuzatuvchiga nisbatan yulduzning 10 parsek masofadagi ko‘rinma yulduz kattaligi deb ta’riflanadi (4.6-rasm).

4.6-rasm.
Hozir
biz ko‘rinma yulduz kattaligi
,
absolyut yulduz kattaligi
va
masofa
larni
bog‘lovchi tenglamani eltirib chiqamiz. Yulduzdan
fazoviy burchakdan chiquvchioqim,
masofada
yuzasi bo‘yicha taqsimlanganligi uchun oqim zichligi masofa
kvadratiga teskari proporsionaldir. Shuning uchun,
masofadagi
oqim
zichligining 10 parsek masofadagi
oqim
zichligiga nisbati quyidagicha bo‘ladi:
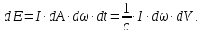
Har qanday temperaturaga ega bo‘lgan jism o‘zidan elektromagnit nurlanish chiqaradi. Issiqlik nurlanishi deyiluvchi bunday nurlanishning chastotasi jismning temperaturasi ortishi bilan ortib borib, taxminan 1000 K ga qadar jism infraqizil va radiodiapozonda, so‘ngra ko‘zga ko‘rinadigan diapozondagi nurlanish, qizdirish davom ettirilganda esa ultrabinafsha va rentgen diapozondagi nurlanishlar chiqadi.
Termodinamik muvozanatdagi jismlar uchun issiqlik nurlanishi qonunlari sodda ko‘rinishga ega bo‘lib, uning nurlanishi temperatura orqali aniqlanadi. Nurlanayotgan jism termodinamik muvozanatda bo‘lishi uchun u tashqi muhit bilan issiqlik almashmasligi lozim. Faqat shundagina bu jismni chegaralovchi hamma qismlarida temperatura bir xil qiymatga erishib, issiqlik muvozanati t, ya’ni termodinamik muvozanat ro‘y beradi.
Termodinamik muvozanatdagi jism absolyut qora jism deyiladi, u o‘ziga tushgan nurlanishni qaytarmaydi va sochmaydi, ammo u tushayotgan nurlanishni mutloq yutib olib, to‘liq qayta nurlaydi. Qora jism – bu real holatda mavjud bo‘lishi mumkin emas, shunga qaramay osmon obyektlarining ko‘pchiligi o‘zini xuddi ular kabi tutishadi.
Absolyut
qora jismning nurlanishi faqatgina o‘zining temperaturasiga bog‘liq
bo‘lib, uning shakliga, moddasiga, ichki tuzilishiga mutloq bog‘liq
emas. Nurlanishning to‘lqin uzunliklari bo‘yicha taqsimoti Plank
qonuniga
bo‘ysinadi, u esa faqatgina tepmeraturaga bog‘lik bo‘lgan
funksiyadir. Tepmeraturai
bo‘lgan qora jismning
chastotadagi intensivligi quyidagicha ifodalanadi:

bu erda

Itensiflikning
ta’rifidan,
ning o‘lchash birligi kelib chiqadi:

Qora jim nurlanishini yopiq bo‘shliqda hosil qilish mumkin, uning devorlari tushayotgan (va bo‘shliqdan chiqaytgan) barcha nurlanishni to‘liq yutishi kerak. Bo‘shliqning devorlari va nurlanish o‘zaro muvozanatda bo‘ladi, ikkalasi bir hil xaroratga ega va devorlar yutgan energiyaning barchasini nurlaydi. Nurlanish energiyasi doimo devor atomlarining issiqlik energiyasiga va undan qayta nurlanishga aylangani uchun, qora jismning nurlanishi yana issiqlik nurlanishi deyiladi.
Plank qonuni (4.14) bilan belgilanadigan qora jism spektri uzliksizdir. Bu haqiqiy bo‘ladi agarda nurlovchi jismning o‘lchami asosiy to‘lqin uzunligiga nisbatan juda katta bo‘lsa. Bo‘shliq holatida buni bo‘shliqda qamalgan turg‘un to‘lqinlar nurlanishi sifatida qarab, tushuntirsa bo‘ladi. To‘lqin uzunliklar bo‘shliq o‘lchamiga nisbatan qancha kichik bo‘lsa, turli to‘lqin uzunliklarning soni shuncha ko‘p bo‘ladi. Qattiq jismlarning spektrlari uzliksiz bo‘lishini yuqorida aytib o‘tganmiz; qo‘p hollarda bunday spektrlar Plank qonuni bilan juda yahshi ifodalanadi (approksimatsiyalanadi).
Plank
qonunini to‘lqin uzunligi bo‘yicha funksiya sifatida ham
yozishimiz mumkin. Buning uchun talab etishimiz kerak bo‘ladi:
.
Chastota kattalashganda, to‘lqin uzunligi kichiklashadi, shuning
uchun bu erda minus belgisi mavjud.
bo‘lganligi sababli, yozishimiz mumkin:
Shunday
qilib,
va 10 pk masofalardagi yulduz kattaliklari orasidagi ayirma, yoki
boshqacha qilib aytganda
masofa
moduli:

yoki

Ma’lum bir tarixiy sabablarga ko‘ra bu tenglama deyarli har doim quyidagicha yozilib

faqatgina parsek birligida ifodalangan masofalarga haqiqiydir. (O‘lchamli qiymatning logariflash, asli olganda, fizika nuqtai nazaridan absurddir –mantiqga ega emas). Ba’zi hollarda masofa kiloparsek yoki megaparseklarda berilishi mumkin, bunda (4.12)dagi konstantalar o‘zgarishi kerak albatta. Bundan qochish uchun biz aynan (4.11)dagi formuladan foydalanishni tavsiya etamiz.
Absolyut
bolometrik yulduz kattaligini yorqinlik birligida ifodalash mumkin.
=
10 pk masofadagi umumiy oqim zichligi
bo‘lsin, xuddi shu kattalik
Quyosh
uchun bo‘lsin. Yorqinlik
bo‘lganligi
sababli, quyidagiga ega bo‘lamiz:

yoki

Absolyut
bolometrik yulduz kattaligi
bo‘lgan
holati yorqinlik
ga mos keladi.

bu erda

yoki

va
funksiyalari
shunday ifodalanadiki, ularning biri yordamida to‘liq intensivlikni
topish mumkin bo‘ladi:

Ushbu integrallarning birinchisidan foydalangan holda to‘liq intensivlikni topib ko‘ramiz:

Endi
biz integral ostidagi o‘zgaruvchanni
ga o‘zgartiramiz, undan


Bu ifodadagi aniq integral tepmeraturaga bog‘liq bo‘lmagan faqat bir haqiqiy sondir. Shuning uchun quyidagini topgan bo‘lamiz:

bu
erda konstanta
quyidagiga
teng:

(Ushbu
qiymatini topish uchun integralning qiymatini hisoblashimiz kerak
bo‘ladi. Ammo buning uchun hech qanday elementra usuli mavjud emas.
Nazariy fizikachilarga juda qo‘l keladigan ekzotik funksiyalar
bilan yaxshi tanish bo‘lganlarga biz shuni aytishimiz kerakki, bu
integralni
ko‘rinishida ifodalasa ancha oson bo‘ladi. Bu erda
– Rimanning zeta funksiyasi va
– gamma finksiyadir. Integral qiymatlariga o‘tsak,
bu oddiy faktorial
.
Qiyinroq qismi bu
.
Buni Fure-qator sifatida
kengaytirish va bu qatorni
hisoblash orqali amalga oshirsa bo‘ladi).
Intensivligi
bo‘lgan izotrop nurlanishning oqimi zichligi
(4.1-bo‘limga qara):