Материал: UMK_Umumiy_astronomiya_Fizika

Внимание! Если размещение файла нарушает Ваши авторские права, то обязательно сообщите нам

Tm = T + t. (2.13)

Grinvich meridianiga nisbatan esa, T0 =T + t0 u holda (2.7) ga ko‘ra m = t – t0 bo‘ladi.

Zeniti ma’lum bo‘lgan yoritgichlar asosida  va yni aniqlash uchun ma’lum bir joyda ekvatorial kordinatalar 1 va 1 bo‘lib, zenitdan uzoqliklari z1 va z2 bo‘lgan yoritgichlar uchun parallaktik uchburchakning

cosz = sinsin + coscoscost (2.14)

formulasidan foydalanamiz, ya’ni

cosz1= sinsin1 + coscos1cost1 (2.15)

cosz2 = sinsin2 + coscos2cost2 (2.16)

bu yerda t1= s1- 1 yoki t1= s1+ t - 1, shuningdek, t2= s2 - 2 yoki t2= s2 + t - 2, chunki s1=s1+ t, bunda ketma-ket kuzatish oralig‘ida t o‘zgarmas deb qaraladi.

Bevosita kuzatish yordamida yoritgichning zenitdan uzoqliklari z1 va z2 lar o‘lchanib, o‘lchanish momentlarida yulduz soatlarining ko‘rsatishlari s1 va s2 belgilanadi. Yoritgichlarning koordinatalari 1, 1 va 2, 2 lar esa Astronomik har yilliklardan olinadi. Natijada ikki noma’lumli (t va ) ikki tenglama sistemasi vujudga keladi va bu sistemadan soat tuzatmasi va geografik kenglama oson topiladi. Agar bu ikki (t, ) kattaliklardan biri, masalan  ma’lum bo‘lsa, u xolda

(2.17)

dan t topilib, so‘ngra

t=ts+ (2.18)

tenglamadan soat tuzatmasi topiladi. Agar soat burchagini topish tenglamalaridan ikkita bir xil balandlikdagi (ya’ni z1=z2) yoritgichlar uchun tuzilsa, u xolda cosz1=cosz2 ligidan

(2.19)

 va t noma’lumlardan iborat tenglik hosil bo‘ladi. Ushbu tenglik  va t ni boshqa metodlari bilan birgalikda hisoblashda keng qo‘llaniladi. Bunday usulning afzalligi shundaki, bunda yoritgichlarning zenitdan uzoqligini o‘lchashga ehtiyoj qolmaydi va barcha kuzatishlar, yoritgichlarning aniq bir almuqantaratni kesib o‘tishda yulduz soatlaridan Vaqtni belgilashga olib keladi.

Geografik kenglama  va t ni yoritgichlarning kulminatsiya momentlarida kuzatishlar asosida aniqlashei ko‘rib chiqaylik. Agar yoritgichning kulminatsiyasi janubda bo‘lsa

h=900+ yoki h900= (2.20)

z=900h ligidan z= bo‘ladi. Shuningdek, agar yoritgich zenitdan shimolda kulminatsiyada bo‘lsa

z= (2.21)

bo‘ladi. Agar yoritgich pastki kulminatsiyada bo‘lsa h=+900, u holda 900z=+900 yoki =1800z bo‘ladi. Bu tenglamalar orqali yoritgichning zenitdan uzoqligini o‘lchab t ni topish mumkin. Yuqori kulminatsiyadagi yoritgich (t=0) uchun

t = s (2.22)

va pastki kulminatsiyadagi yoritgich (t=12h yoki t=1800) uchun esa

t = s + 12h (2.23)

Keyin ushbu tengliklardan yoritgichlarning kulminatsiya momentlarida yulduz soatlari ko‘rsatishi asosida soat tuzatmalarini oson topish mumkin.

§ 2.3. Quyosh sistemasi jismlarigacha bo‘lgan masofalarni aniqlish

Bizning Quyosh sistemamizga kiruvchi jismlargacha (sayyoralar, Oy, mayda sayyoralar va hokazo) masofalar trigonometrik parallaks deyiluvchi usul yordamida topiladi.

Kuzatuvchiga nisbatan uzoq, ya’ni u borib bo‘lmaydigan nuqtalargacha masofani aniqlash geometriya kursidan bizga ma’lum. 2.3-rasmda A nuqtadan turib, daryoning narigi qirg‘og‘ida joylashgan B daraxtgacha masofani topish kerak bo‘lsin.

2.3-rasm.

Daryoning biz turgan tomonida biror C nuqtani olib, AC ning uzunligini katta aniqlik bilan o‘lchaymiz. Bu kesma ning uchlaridan V daraxtga qarasak, unga tomon yo‘nalishlarning (AB va BC) kuzatuvchining A dan C ga siljishiga mos ravishda siljishiga guvoh bo‘lamiz. Qaralayotgan obyektga tomon yo‘nalishning, kuzatuvchining siljishiga mos ravishda bu xilda siljishi, parallaktik siljish deyiladi. AC masofa esa bazis deyiladi. Bazisning ma’lum uzunligi va uning uchlaridan obyektga tomon yo‘nalishlar bilan hosil qilgan A va C burchaklarga (o‘lchashlar asosida ular oson topiladi) ko‘ra B daraxtgacha masofa aniqlanadi.

Quyosh sistemasidagi jismlargacha masofalarni aniqlash usuli ham mohiyati jihatidan geometriya kursida qaralgan, borib bo‘lmaydigan obyektlargacha masofani o‘lchash usuliga juda o‘xshash. Faqat bu o‘rinda bazis sifatida Erning katta o‘lchamlari (radiusi yoki diametri) olinadi.

Jismlargacha masofalarni aniqlash ularning gorizontal parallakslarini topish orqali bajariladi. 2.4-rasmga ko‘ra, Yer markazidan gorizontal sutkalik parallaksi bo‘lgan M osmon jismigacha masofa to‘g‘ri burchakli uchburchak CQ2M dan

yoki (2.24)

orqali topiladi. Bu erda -odatda yoy sekundlarida ifodalanishini (Oydan boshqa osmon jismlari uchun) e’tiborga olsak

(2.25)

bo‘ladi. Bu ifodaning qiymatini oldingi tenglamaga quyib, yoritgichgacha masofa

(2.26)

ifoda orqali topish mumkinligini aniqlaymiz.

Yuqorida keltirilgan formula yordamida faqat Quyosh sitemasidagi jismlargacha bo‘lgan masofalarni hisoblash mumkin. Quyosh sistemasidan juda katta masofada yotgan osmon jismlari, jumladan, yulduzlargacha bo‘lgan masofalarda osmon jismlarining sutkalik parallaks burchaklarini o‘lchashning iloji yo‘q, chunki bunday katta masofalar oldida bazis sifatida qaralayotgan Yer diametri hisobga olmaslik darajada kichikdir.

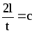
Radiolokatsion usulda ham Quyosh sistemasidagi jismlargacha bo‘lgan masofalarni topish mumkin. Buning uchun o‘ta qisqa impulsli radiosignal osmon jismiga borib qaytib kelguncha ketgan vaqt t ni aniq belgilash zarur bo‘ladi. U holda ligidan (bu yerda s–yorug‘lik tezligi), ifoda yoritgichgacha masofani belgilaydi.

2.4 – rasm. Sutkalik parallaksni aniqlash

Yoritgichlarning gorizontal parallakslarini Yerdan turib topish mumkin bo‘lsa, u holda ulargacha masofani yuqorida keltirilgan formula yordamida oson aniqlasa bo‘ladi. Shunga binoan, yoritgichning sutkalik parallaksini qanday topish mumkinligi ustida to‘xtaymiz.

Sayyoramiz ixtiyoriy meridianining ikki – O1 va O2 nuqtalaridan turib ikki kuzatuvchi Quyosh sistemasiga kiruvchi ma’lum M yoritgichning kulminatsiyasini kuzatayotgan bo‘lsin (2.4-rasm). Har ikkala nuqta ham Yerning shimoliy yarimsharida joylashgan va yoritgich ular zenitidan janub tomonda bo’lsin. U holda, va , parallakslari hamda . Chizmada hosil bo‘lgan O1TO2M to‘rtburchak burchaklari uchun

,

yoki

. (2.27)

bo‘ladi.

Ikkita nuqtada yoritgichlarning parallakslarini uning sutkalik gorizontal parallaksi p orqali ifodalab

r0sin(A-1)-p sin(B-2)=1-2

yoki

p[sin(1-1)-sin(2-2)]= 1-2 (2.29)

ko‘rinishini oladi. Bu yerdan p ni topsak

(2.30)

bo‘ladi.

§ 2.4. Quyosh sistemasi jismlarining o‘lchamlarini aniqlish

Quyosh sistemasiga kiruvchi osmon jismlari, yulduzlardan farq qilib, juda kichik bo‘lsada. Ma’lum burchak ostida ko‘rinadi. Shuning uchun ham ulargacha masofa aniq bo‘lganda, ularning chiziqli o‘lchamlarini hisoblash qiyinchilik tug‘dirmaydi.

2.5-rasm.

Samoda M sayyoraning radiusi r Yerdagi K kuzatuvchiga burchak ostida ko‘rinsin (2.5-rasm). U holda KLM to‘g‘ri burchakli uchburchakdan

yoki (2.31)

bo‘ladi. KM oraliq l dan juda kam farq qilganidan KM=l yozish mumkin unda

r=lsin (2.32)

bo‘ladi. Bu yerdan l ni aniqlaydigan bo‘lsak

(2.33)

Binobarin planeta radiusi r:

(2.34)

yoki va -yoy sekundi bilan o‘lchanadigan burchaklar bo‘lganidan

(2.35)

ifoda orqali topiladi. Masalan Oy uchun r=57, =15,5. U holda Oyning radiusi yuqoridagi ifodaga ko‘ra

(2.36)

bo‘ladi, bu esa Oy radiusining Yer radiusi birligidagi qiymatidir.

10-Ma’ruza. Oy orbitasi, ko’rinma fazalar va aylanish davrlari. Oy libratsiyasi.

§ 2.5. Oy fazalari va tutilishi

Yerning tabiiy yo’ldoshi Oy Yer atrofida soat strelkasi aylanishi yo’nalishiga teskari bo’lgan aylanaviy orbita bo’ylab harakat qiladi. Siderik oy – Oyning Yer atrofida bir marta aylanib chiqish uchun ketadigan vaqti 27.233 sutkaga teng. Amaliy jihatdan muhimroq ahamiyatga ega bo’lgan sinodik oy – Oy fazalarining o’zgarish davomiyligi 29.531 sutkaga teng. Oy orbitasi taxminan elliptik. Uning yarimo’qi uzunligi 384000 km bo’lib, ekstrensiteti esa 0.055 ga teng. Asosan Quyosh ta’siri sababli Oyning orbita elementlari vaqt davomida o’zgarib turadi. Shunga muvofiq, Oy va Yer o’rtasidagi masofa 356400 kmdan 406700 kmgacha, Oyning ko’rinma burchak diametrini esa 29.4' - 33.5' oralig’ida o’zgaradi.