Материал: UMK_Umumiy_astronomiya_Fizika

Внимание! Если размещение файла нарушает Ваши авторские права, то обязательно сообщите нам

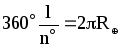
ifodadan topilib, qiymati (1.55) ga qo‘yiladi. Natijada Quyoshning mahalliy o‘rtacha vaqt bilan hisoblangan chiqish va botish momentlari chiqadi.

Osmon jismlarining chiqish va botish nuqtalarining azimutlarini parallaktik uchburchakning sin=sincosz-cossinzcosA formulasidan refraksiya, parallaks va ko‘rinma radiuslarini hisobga olmay turib, ya’ni cosz=0 deb, quyidagicha topish mumkin.

(1.58)

(1.58) ifoda azimutning A1=A va A2=3600-A qiymatlarini beradi. Bulardan birinchisi yoritgichning botish nuqtasiga tegishli azimutni bersa, ikkinchisi uning chiqish nuqtasining azimutini ifodalaydi.

Quyosh nurlari tog` cho`qqilarini tog` etagiga nisbatan uzoqroq vaqt ichida yoritib turadi va u Yer atmosferasining yuqori qatlamlarini yanada uzoq vaqt yoritib turadi. Shuning uchun Quyosh botish va chiqish oldidan g`ira-shira bo`ladi. Bu hodisani grajdancha g`ira-shira va astronomik g`ira-shira hodisalariga ajratish mumkin. Yertalabki va kechqurungi g`ira-shira davomiyligi Dt Quyoshning chiqish va botishidagi soat burchagiga, j va d¤ larga bog`liqdir.

cos(t+Dt) = (sinh¤ - sinj sind¤) / cosj cosd¤ (1.59)

dan h¤ = –18° da astronomik g`ira-shira, h¤ = –6° da grajdancha g`ira-shira tugashligini nazarga olsak, bu formuladan g`ira-shira davomiyligi Dt ni topish mumkin.

Xuddi shunday Oy harakatiga tegishli ma'lumotlarda diskining yuqori chegarasining chiqish va botish momentlari beriladi. Oygacha bo'lgan masofa sezilarli darajada o'zgargani sababli Oy radiusi uchun ma'lum bir doimiy qiymatni ishlata olmaymizyu Ammo uni har qanday vaqt uchun hisoblab topish mumkin. Bundan tashqari, Oy Yerga shunchalik yaqin-ki, uning aylanishi tufayli tayanch yulduzlarga nisbatan Oyning yo'nalishi o'zgaradi.

Quyosh, sayyoralar va ayniqsa Oyning hiqish va botish momentlarini hisoblash ularning yulduzlarga nisbatan harakati tufayli yanada murakkabalashadi. Biz, masalan, yarimkunning koordinatalarini chiqish va botish momentlarini baholashda ishlatishimiz mumkin va ular keyinchalik ancha aniqroq chiqish va botish momentlarini interpolyatsiya qilishda ishlatiladi.

Yangi vaqt momentlarni topishda bu koordinatalar qo'llansa ancha katta niqlikka erishish mumkin. Yanada kattaroq aniqlik talab etilsa, iteratsiya usulidan foydangan ma'qul.

II bob. Astronomiyaning amaliy va astrometrik masalalari

§ 2.1. Yer radiusini aniqlash. Triangulyasiya usuli

Yerda ixtiyoriy nuqta uchun, odatda, ikkita sferik koordinata bilan belgilanadi (ammo, shu bilan birga ba'zi hisob-kitoblarda to'g'riburchakli hamda boshqa koordinatalarni ishlatish qulayroq bo'lishi mumkin). Ayrim hollarda, uchinchi koordinata, ya'ni markazga nisbatan olingan masofa ishlatilishi mumkin. Yerning bir qutbidan ikkinchi qutbini ulab turuvchi yarim aylanalar meridianlar deb ataladi. Berilgan meridian hamda Grinvich Observatoriyasidan o'tuvchi bosh meridian orasidagi burchak geografik uzunlama deyiladi. Grinvichdan sharq tomonga hisoblanadigan uzunlamalarni musbat va g'arb tomonga hisoblanadigan uzunlamalarni manfiy deb qabul qilingan. Shuning uchun qaralayotgan uzunlama Grinvichga nisbatan sharqda yoki g'arbdaligi aniq ko'rsatilishi maqsadga muvofiq.

Biz yashayotgan sayyora – Yerning shar shaklida ekanligini birinchi bo‘lib Aristotel aniqlagan. U Oy tutilayotganda uning Yer soyasidan o‘tish hodisasini o‘rganish asosida buni kuzatuvdan topgan.

2.1 – rasm. Qadimda masofani aniqlash usuli

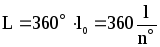
Bizga Yer radiusini aniqlashning bir necha usullari ma’lum. Bu usullar ichida eng qadimiysi eramizdan avvalgi III asrda yunon astronomi Eratosfen qo‘llagan usuldir. Bu usulga ko‘ra, dastlab ma’lum Yer meridiani yoyining uzunligi - topilib, so‘ngra u asosda meridian aylanasining uzunligi - aniqlanadi. Buning uchun tanlangan Yer meridiani yoyining uzunligi n0 uning uchlarida (A va B da )turgan kuzatuvchilarning geografik kenglamalarining farqi , bu kuzatuvchilar uchun bir vaqtda kulminatsiyada bo‘lgan M yoritgichning zenitdan uzoqliklarining farqi ga ko‘ra topiladi, ya’ni

(2.1)

So‘ngra mazkur meridian yoyining uzunligi o‘lchanadi. Bu topilgan kattaliklar asosida 10 –ga to‘g‘ri kelgan meridian yoyning uzunligi tenglikdan topiladi. U holda meridian aylanasining uzunligi

(2.2)

ga teng bo‘ladi. Ikkinchi tomondan bo‘lganidan, mos ravishda, bu tengliklarni o‘ng tomonlarini tenglab,

(2.3)

ni olamiz. Bundan Yer radiusi - ni quyidagi ifodadan topamiz:

(2.4)

bu yerda ni uzunligini topish, qadimda ancha murakkab ish bo‘lib, ayni paytda maxsus triangulyasiya usuli deyiluvchi usul asosida oson topiladi.

Triangulyasiya usulining asosiy mohiyati shunda-ki, aniqlanishi talab etilgan Q1Q2 uzunlik – Yer meridiani yoyining har ikkala tomonida bir-biridan 30-40 km uzoqlikda bir necha A,B,C, D, E kabi nuqtalar tanlanadi (2.2rasm). Bu nuqtalarda balanligi bir necha o‘n metrga etadigan geodezik signallar o‘rganilib, ularning ixtiyoriy biridan qaralganda, kamida qolgan ikkitasi ko‘rinadigan qilib tanlanadi. Juda tekis sirtda joylashgan ixtiyoriy ikki geodezik signal orasidagi masofa (masalan BD) maxsus shkalalangan lenta yordamida aniq o‘lchab olinadi va u bazis deb yuritiladi.

2.2 – rasm.

Tanlangan masofa – bazis uzunligini o‘lchashning aniqligi juda yuqori bo‘lib, 10 kilometrga 2 mm ni tashkil qiladi. So‘ngra teodolitni ketma-ket A, B, C, D, E ... nuqtalarda joylashgan geodezik signallar tepasidagi kuzatish maydonchalariga o‘rnatib, Q1AB, ABC, BCD, ... burchaklar o‘lchab olinadi. So‘ngra Q1AB uchburchagida Q1A bazisning uzunligiga va har uchala burchagiga ko‘ra Q1AB va AB tomonlarini hisoblab topish mumkin, keyin ABC uchburchakning ma’lum AB tomoni va hamma ichki burchaklariga ko‘ra BC va AC tomonlarini topish mumkin va hokazo. Shuni aytish kerakki bu hisoblashlarda yasatilgan uchburchaklar – sferik uchburchaklar ekanligi etiborga olinishi zarur. Natijada, siniq chiziqlarning uzunliklarini aniqlash mumkin. Bu siniq chiziqlarni AB meridian yoyiga proeksiyalab, bazis yonalishining azimutiga tayangan holda Q1Q2 yoy uzunligi l ni topish mumkin.

Ko‘rib chiqilgan triangulyasiya usuli Yer meridiani yoyini o‘lchash uchun birinchi marta Gollandiyada 1615 yilda Snellus tomonidan qo‘llanilgan. Ma’lum bo‘lishicha, uning 10 li yoyining uzunligi hamma yerda bir xil bo‘lmay, ekvator yaqinida 110,6 km bo‘lgani holda, Yer qutbi zonasida 111,7 km ni tashkil qilar ekan. Binobarin, Yerning formasi shardan farq qilib, sferoid formada ekanligi aniqlandi.

1979 yilda Xalqaro geodeziya va geofizika uyushmasi (IUGG) Tayanch Geodezik Sistemasi - 1980 (GRS-80) ni qabul qilgan va u Yerga bog'langan asosiy koordinatalar sistemalarida qo'llaniladi. GRS-80 dagi tayanch ellipsoid quyidagi o'lchamlarga ega:

ekvator radiusi – a= 6,378,137 m,

qutbiy radiusi – b = 6,356,752 m,

bosiqlik – f=((a-b))/a= 1/298.25722210.

Yerning shakli geoid deb atalab, okean sathi bilan belgilanadi. U sferoiddan ko'pi bilan 100 metrga farq qiladi. Yer ekvatori va uning haqiqiy shakliga yaqinlashtirilgan ellipsoidga o'tkazilgan normal orasidagi burchak geodezik kenglama deyiladi. Suyuqlik sirti (masalan, okean) vertikal chiziqqa perpendekulyar bo'lganligi uchun geodezik va geografik kenglamalar amalda deyarli bir-biriga juda yaqin bo'ladi.

§ 2.2. Kuzatuvchining geografik uzunlama va kenglamasini topish

Kuzatuvchi turgan joyning uzunlamasini aniqlashda aniq vaqtni bilish zaruriyati tug‘iladi. Joyning geografik koordinatalarini va Yerdagi predmetning azimutini aniqlash esa, o‘z navbatida geodeziya bilan bog‘liq bo‘lib, bu xalq xo‘jaligi uchun katta ahamiyatga ega. Shuningdek, joyning geografik koordinatalarini aniqlash, havo va dengiz kemalari qatnovida yo‘l topish uchun juda zarur hisoblanadi. Aniq vaqtni va geografik uzunlamani topish.

Berilgan vaqt momentida aniq vaqt T va shu momentdagi soatning ko‘rsatish vaqti T orasidagi farq vaqt tuzatmasi t deyiladi, ya’ni

T-T=t (2.5)

u holda aniq vaqt T=T+t.

Aniq vaqtni topish uchun soat tuzatmasini topishga to‘g‘ri keladi. Soat tuzatmasi ko‘satishining aniq vaqtdan oldin ketishi yoki orqada qolishiga ko‘ra mos ravishda manfiy yoki musbat ishorali bo‘lishi mumkin. Juda katta aniqlik bilan yuradigan astronomik soatlar ko‘rsatishi ham aniq vaqtdan bir tekis orqada qolavermaydi yoki oldinga ketavermaydi. Buning sabablari birinchidan astronomik soatlarni ham texnik jihatdan absolyut mukammallashtirishning iloji yo‘qligida bo‘lsa, ikkinchidan, tashqi muhitning (temperatura, havo namligi, bosim va boshqalar ta’siridir.

Biror vaqt oralig‘ida soat tuzatmasining o‘zgarishi soatning yurishi deyiladi va quyidagi munosabatdan topiladi.

(2.6)

Vaqt tuzatmasini hisoblash, ma’lum bir meridianda yulduz vaqtini kuzatish orqali topish yordamida oson echiladi. Agar yulduz vaqtini topish momentida yulduz soatining ko‘rsatishi s bo‘lsa, soat tuzatmasi

u = s – s (2.7)

yoki s=  + t bo‘lganidan

u =  + t – s (2.8)

bo‘ladi. Bu yerda  va t -ixtiyoriy yulduzning to‘g‘ri chiqishi va soat burchagi.

To‘g‘ri chiqishi  bo‘lgan meridian momentida yulduz vaqtini topish qulay, chunki u holda t = 0 bo‘lganidan s = . Demak, yulduz soati uchun vaqt tuzatmasi:

u =  – s (2.9)

Yulduz vaqti yordamida mahalliy o‘rtacha Quyosh vaqti topilgan bo‘lsa, ya’ni

s =  + t =  + t =  + T – 12h =  + Tm +  – 12h

yoki bu yerdan

Tm = s –  –  + 12h (2.10)

Undan o‘rtacha quyosh soati uchun tuzatmasi:

t = Tm – Tm (2.11)

bu yerda  va t - Quyoshning to‘g‘ri chiqishi va soat burchagi, Tm esa o‘rtacha Quyosh soatining ko‘rsatishidir.

Kuzatuvchi turgan joyning geografik uzunlamasini topish, Yer sirtidagi ixtiyoriy ikki meridian uzunlamalari va mahalliy vaqtlari orasidagi farqning tengligiga tayanadi. Ma’lum joyning (yoki shu joydan o‘tgan meridianning) uzunlamasini topishda ikkinchi meridian sifatida Grinvich meridiani (0 = 0) olinadi. Unda

m – 0 = Tm – T0 yoki m = Tm – T0 (2.12)

bu yerda Tm - uzunlamasi aniqlanayotgan punktning mahalliy vaqti T0-Grinvich (yoki dunyo) vaqti. Joyning uzunlamasini aniqlashda dunyo vaqti radio orqali berilgan aniq vaqt signallari orqali olinadi. Bunday signallarni qabul qilishdan oldin va keyin o‘tkazilgan astronomik kuzatishlar asosida, kuzatish asosida uzunlamasi aniqlanayotgan meridianga nisbatan topilgan soat tuzatmasi t aniqlangan meridianga mos ondagi (momentdagi) soat tuzatmasi t0 Grinvich meridianiga nisbatan ham topiladi. Natijada, uzunlamasi aniqlanayotgan joyga (yoki shu joydan o‘tgan meridianga) nisbatan