Промежуточный вал –II
|
|
|
|
Рис.6 |
|
|
|
|
|
Рис.7 |
|
|
|
|
|
Рис.8 |
|
|
|
|
|
Рис.9 |
|
Выходной вал –III
|
|
|
|
Рис. 10 |
|
|
|
|
Рис.11
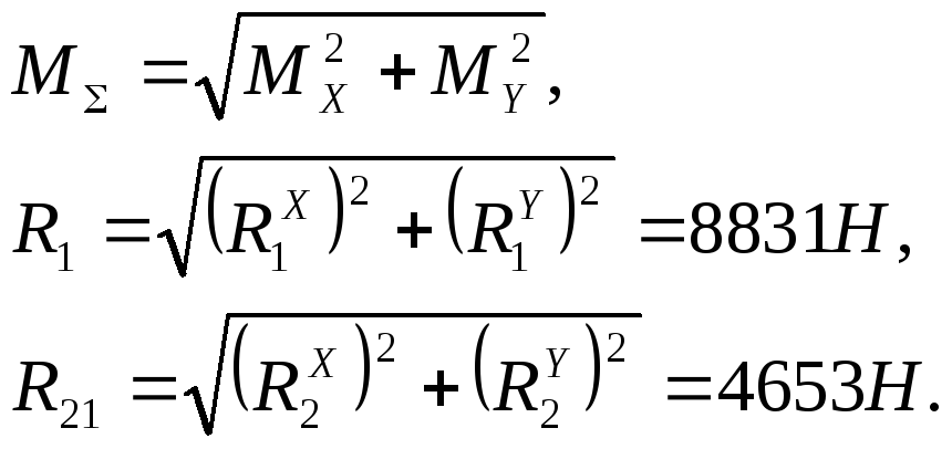
Для
опоры (1) исходя из полученных реакций
выбираем подшипник роликовый радиальный
с короткими цилиндрическими роликами
(ГОСТ 8328-75) средней узкой серии: 2308
(С=56100Н),
.
Проведем проверочные расчеты по грузоподъемности и долговечности.
Эквивалентная нагрузка:
![]()
Определим требуемую динамическую грузоподъемность подшипника:
,
Где
-для
роликовых подшипников и
-
для шариковых.
![]()
Повысим
грузоподъемность подшипника (
):
![]()
Чтобы удовлетворить требуемой грузоподъемности, поставим 2 подшипника, т.е.
![]()
Условие по грузоподъемности выполняется.
Проверим подшипник на долговечность работы.

,
т.е. условие по долговечности выполняется.
Вывод: выбранные подшипники подходят.
Для
опоры (2) выбираем подшипник шариковый
радиально-упорный однорядный с разъемным
внутренним кольцом (четырехточечный
контакт) (ГОСТ 8995-75) средней узкой серии:
176308 (С=47200Н),
.
Проведем проверочные расчеты по грузоподъемности и долговечности.
,
Тогда
из таблицы
[6]
и
.
Эквивалентная нагрузка:
![]()
Определим требуемую динамическую грузоподъемность подшипника:
![]()
Повысим
грузоподъемность подшипника (
):
![]()
![]()
Условие по грузоподъемности выполняется.
Проверим подшипник на долговечность работы.

,
т.е. условие по долговечности выполняется.
Вывод: выбранный подшипник подходит.
Для
опоры (1) исходя из полученных реакций
выбираем подшипник радиально-упорный
однорядный конический роликовый
подшипник легкой широкой серии: 7210А.
(С=70400Н),
![]()
Проведем проверочные расчеты по грузоподъемности и долговечности.
,
Эквивалентная нагрузка:
![]()
Определим требуемую динамическую грузоподъемность подшипника:
![]()
![]()
Условие по грузоподъемности выполняется.
Проверим подшипник на долговечность работы.

,
т.е. условие по долговечности выполняется.
Вывод: выбранный подшипник подходит.
Для
опоры (2) выбираем подшипник роликовый
радиальный с короткими цилиндрическими
роликами (ГОСТ 8328-75) легкой узкой серии:
42210. (С=45700Н),
.
Проведем проверочные расчеты по грузоподъемности и долговечности.
Эквивалентная нагрузка:
![]()
Определим требуемую динамическую грузоподъемность подшипника:
![]()
![]()
Условие по грузоподъемности выполняется.
Проверим подшипник на долговечность работы.

,
т.е. условие по долговечности выполняется.
Вывод: выбранные подшипники подходят
Возьмем
подшипник радиально-упорный однорядный
конический роликовый подшипник легкой
широкой серии: 7218А.
(С=183000Н),
![]()
Проведем проверочные расчеты по грузоподъемности и долговечности.
Рассмотрим опору (1).
,
Эквивалентная нагрузка:
![]()
Определим требуемую динамическую грузоподъемность подшипника:
![]()
![]()
Условие по грузоподъемности выполняется.
Проверим подшипник на долговечность работы.

,
т.е. условие по долговечности выполняется.
Вывод: выбранный подшипник подходит.
Для материала 25ХГТ, из которого изготовлен вал, находим:
![]()
|
|
Определим коэффициент запаса прочности:
Принимаем
Где
|
Рис.12