Курсовой проект.
Пояснительная записка: 35 стр., 12 рис., 1 таблица, 7 источников.
Графическая документация: 2листа А1, 3 листа А4 - спецификации.
анализ, вал, габариты, кпд, модуль, мощность, напряжение, передаточное отношение, передача коническая, передача цилиндрическая, подшипник, долговечность, прочность, шлицы, крепление, редуктор, смазка
В курсовом проекте рассмотрен синтез, а также кинематический, энергетический, проектировочный расчёт и анализ редуктора вертолёта. Произведён подбор чисел зубьев зубчатых колёс, определены основные габариты передач, произведена проверка редуктора на контактную и изгибную прочность. Спроектирован альтернативный вариант редуктора. Произведена оценка диаметров валов, предварительный подбор подшипников. Рассчитаны силы в зацеплении. Произведены расчеты: подшипников по долговечности, валов на прочность, шлицевых соединений, болтов крепления редуктора к раме вертолета. Создана система смазки редуктора.
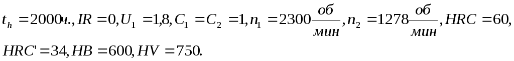
Задание № 2.2
Спроектировать главный редуктор вертолета.

Рисунок 1. Схема редуктора.
Таблица 1
|
Наименование |
Обозначение |
Величина |
|
Осевая сила, кН |
FT |
33 |
|
Радиальная сила, кН |
FH |
1,8 |
|
Частота вращения входного вала, об/мин |
NВХ |
2300 |
|
Частота вращения выходного вала, об/мин |
NВЫХ |
200 |
|
Выходная мощность, кВт |
РВЫХ |
150 |
|
Длина, мм |
l |
600 |
|
Ресурс работы, ч |
th |
2000 |
|
Номер типового режима нагружения |
- |
0 |
Для передачи движения от двигателя к исполнительному механизму применяется редуктор, благодаря которому увеличивается крутящий момент и уменьшается частота оборотов. Он обладает компактностью, надежностью и долговечностью. Поэтому редукторы получили широкое распространение в машиностроении. Зубчатые передачи в редукторе обладают высоким КПД и могут передавать высокие нагрузки.
В данной работе проектируется редуктор главный вертолета. К основным требованиям, предъявляемым к проектируемой машине, относятся надежность и долговечность, удобство и простота обслуживания.
Для обеспечения этих требований детали должны удовлетворять ряду критериев, важнейшие среди которых - прочность , надежность, устойчивость, износостойкость, жесткость, виброустойчивость, теплостойкость, технологичность.
1. КИНЕМАТИЧЕСКИЙ И ЭНЕРГЕТИЧЕСКИЙ РАСЧЕТ РЕДУКТОРА
1.1. Определение общего передаточного числа
-
передаточное число.
![]()
Передаточное число для первой и второй ступени выбирают:
Коническая
1…3 (принимаем
)
Планетарная
1…8 (принимаем
)
1.2. Разбивка передаточного числа
Принимаем,
и
.
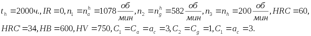
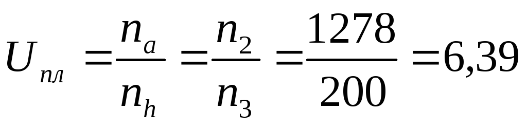
1.3. Определение частоты вращения валов
Заданная частота вращения входного вала:
,
,
,
Для планетарной передачи:
,
,
,
,
Определим число сателитных колес:

Число сателитных колес попадает в интервал 2…5,5 (округляем до целого меньшего) в планетарной передаче 3 сателитных колеса.
1.4.Определение мощностей на валах
КПД для различных передач:


,
,
,
где
,
-
коэффициент неравномерности распределения
нагрузки.
Принимаем
.

2. ОПРЕДЕЛЕНИЕ ДОПУСКАЕМЫХ НАПРЯЖЕНИЙ
2.1. Выбор материала I-ая ступень (коническая зубчатая передача)
Для шестерни выбираем марку стали 25ХГТ , вид термообработки- цементация.
Твердость зубьев:
HRC = 58…63 (на поверхности зуба),
HRC’ = 32…38 (в сердцевине).
Принимаем, HRC=60, тогда HB=600, HV=750.
2.2. Определение допускаемых контактных напряжений
Из предыдущих расчетов мы имеем:

Исходя из этих данных рассчитаем допускаемые контактные напряжения для I-ой ступени.
(цементация),
![]()
![]()
Где
-
базовое число циклов перемены контактных
напряжений шестерни и колеса.
Принимаем
,
Из
таблицы [1]
.
Для шестерни первой ступени получаем:
,
Где
-
число циклов перемены изгибных и
контактных напряжений.
,
Т.к.
,
то принимаем
.
Принимаем
![]()
Где
- коэффициент безопасности шестерни
при контактных напряжениях.
Получим:
.
Аналогично для колеса:
,
Где
-
число циклов перемены изгибных и
контактных напряжений.
,
Т.к.
,
то принимаем
.
Принимаем
![]()
Где
- коэффициент безопасности шестерни
при контактных напряжениях.
Получим:
.
Принимаем
.
Т.к.
,
Где
-угол
наклона зубьев в среднем сечении.
Тогда
.
2.3. Определение допускаемых изгибных напряжений
Принимаем
,
и
.
Для шестерни:
,
.
Для колеса:
,
.
Т.к.
,
то принимаем
.
Принимаем
и
.
Получим:
.
2.4. Выбор материала II-ая ступень (планетарная передача)
Для шестерни выбираем марку стали 25ХГТ , вид термообработки- цементация.
Твердость зубьев:
HRC = 58…63 (на поверхности зуба),
HRC’ = 32…38 (в сердцевине).
Принимаем, HRC=60, тогда HB=600, HV=750.
2.5. Определение допускаемых контактных напряжений
Из предыдущих расчетов мы имеем:

Исходя из этих данных рассчитаем допускаемые контактные напряжения для II-ой ступени.
(цементация),
![]()
![]()
Где
-
базовое число циклов перемены контактных
напряжений шестерни и колеса.
Принимаем
,
Из
таблицы
[1]
.

Тогда

Принимаем
и
.
Получим:

Тогда
2.6. Определение допускаемых изгибных напряжений
Принимаем
,
.
,