Принимаем
и
.
,

3. ПРОЕКТИРОВОЧНЫЙ РАСЧЕТ ПЕРВОЙ СТУПЕНИ
3.1. Подбор числа зубьев и уточнение передаточных отношений
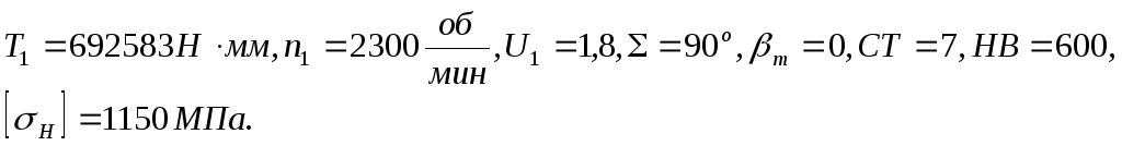
Из предыдущих расчетов:

Получаем
(при
).
,
![]()
Принимаем
.

,
Принимаем
![]()
![]()
Из
таблицы
[1]
.
Т.к.
,
то
.
.
Из
таблиц [1]
(при CT=7).
,
Принимаем
.
![]()
![]()
Принимаем
.
![]()
Т.к.
,
то по
таблице
[1]
![]()
,
Принимаем
,
.
4. ГЕОМЕТРИЧЕСКИЙ РАСЧЕТ ПЕРВОЙ СТУПЕНИ
4.1. Определение основных габаритов передачи
Из исходных данных и предыдущих расчётов:
.
,
,
,
,
![]()
![]()
![]()
![]()
Принимаем стандартное значение модуля по таблице [1] mte = 4,5мм.
![]()
Т.к.
,
то



Т.к.
,
то
![]()

Примем
и
.
5. ПРОВЕРКА ПРОЧНОСТИ КОНИЧЕСКОЙ ПЕРЕДАЧИ
5.1. Расчет на прочность первой ступени
Исходные данные и предыдущие расчеты:

,
По
таблице
[1] определяем
.
,
По
таблице
[1]
и
.
,
,
,
,
т.к.
=0
,
![]()
,
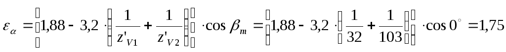
Проверка на контактную прочность:
,

lH=0,0408 условие прочности выполняется, т.к. перегрузка не превышает 5% барьер, т.е. перегрузка 4,08%.
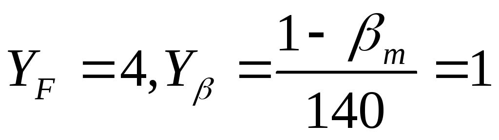
Проверка на изгибную прочность:
,
по таблице [1] YF1 = 3,78,


lF=0,046 условие прочности выполняется недогрузка 4,6%.
6. РАСЧЕТ ПЛАНЕТАРНОЙ ПЕРЕДАЧИ НА ЭВМ
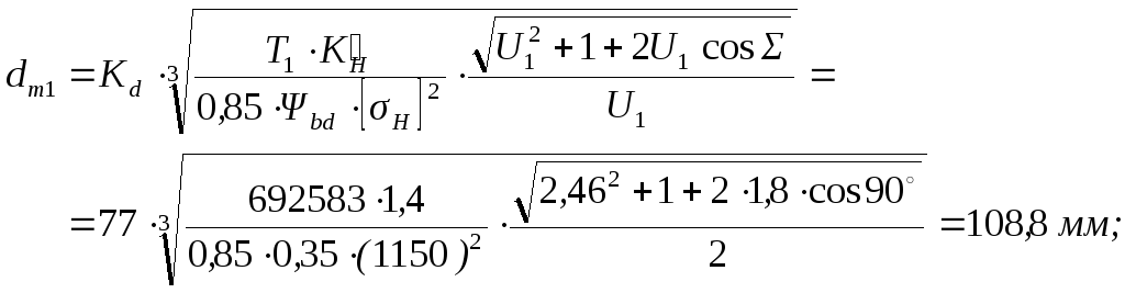
7. ОРИЕНТИРОВОЧНЫЙ РАСЧЕТ ДИАМЕТРОВ ВАЛОВ
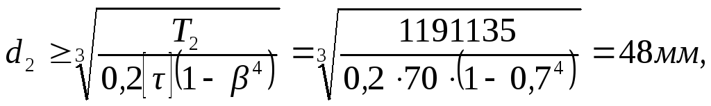
Возьмем валы кольцевого сечения .
[]
=60…80
.
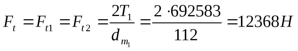
,
,
![]()
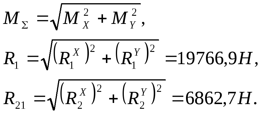
Реакции в опорах определяются на ЭВМ с использованием программы для расчета линейных статически определимых балок – РП «БАЛКА».
Входной вал –I
|
|
|
|
Рис. 2 |
|
|
|
|
|
Рис. 3 |
|
|
|
|
|
Рис. 4 |
|
|
|
|
|
Рис.5 |
|
Примем
допускаемые касательные напряжения
равными []
=70
.
![]()
Где
-коэффициент
пустотелости.
Примем
![]()
Определим диаметр первого вала:
Определим диаметр второго вала:
Принимаем d2 = 50 мм.
Определим диаметр третьего вала:
Принимаем d3 = 90 мм.
8. ПРЕДВАРИТЕЛЬНЫЙ ПОДБОР ПОДШИПНИКОВ
Подбор подшипников проводим по справочнику-каталогу /3/.
Для входного вала возьмем подшипник роликовый радиальный с короткими цилиндрическими роликами (ГОСТ 8328-75) средней узкой серии: 2308. И подшипник шариковый радиально-упорный однорядный с разъемным внутренним кольцом (четырехточечный контакт) (ГОСТ 8995-75) средней узкой серии: 176308.
Для промежуточного вала возьмем подшипник роликовый радиальный с короткими цилиндрическими роликами (ГОСТ 8328-75) легкой узкой серии: 42210. подшипник шариковый радиально-упорный однорядный с разъемным внутренним кольцом (четырехточечный контакт) (ГОСТ 8995-75) средней узкой серии: 176310.
Для выходного вала возьмем подшипник радиально-упорный однорядный конический роликовый подшипник легкой широкой серии: 7218А.