Материал: II. хим реакторы

Внимание! Если размещение файла нарушает Ваши авторские права, то обязательно сообщите нам

Таким образом, выделяют три математические модели, описывающие процесс в проточных (периодических) и непроточных (непрерывных) реакторах идеального смешения и вытеснения:

ИС-п

ИС-н

ИВ

 

dС/dt = W(С)

(С - С0)/ = W(С)

dС/d = W(С)

(4.9)

С = С0 при t = 0

 

С = С0 при = 0

 

(здесь выписаны уравнения только для одного компонента).

Анализ процесса в химическом реакторе

А н а л и з п р о ц е с с а в х и м и ч е с к о м р е а к т о р е - исследование влияния условий процесса и характеристик (свойств) его составляющих на показатели работы реактора, а также выявление особенностей процесса и режима.

У с л о в и я п р о ц е с с а - состав исходной реакционной смеси (начальные концентрации реагентов – Сi0), объем поступающего потока (нагрузка на реактор – V0), температуры входного потока T0, хладоагента TX (для процессов с теплоотводом) или в реакторе (для изотермического процесса - T).

С в о й с т в а с о с т а в л я ю щ и х п р о ц е с с а - характеристики химического процесса: схема превращения и тип реакций (вид кинетических уравнений), энергия активации, тепловой эффект; для неизотермических процессов - параметры теплоотвода (коэффициенты теплопередачи, поверхность теплообмена, теплофизические свойства потока).

П о к а з а т е л и п р о ц е с с а - степень превращения х, селективность S, выход продукта Е, а также профили концентраций, степени превращения и температуры в реакторе, их изменение во времени. Зная эти показатели, можно далее определять и другие: конструктивные параметры реактора, энергетические затраты, экономические показатели и др.

О с о б е н н о с т и п р о ц е с с а и р е ж и м а - влияние условий и свойств процесса на его показатели, управление процессом (изменение условий и свойств для достижения желаемых показателей), критические режимы (например, их существование, неустойчивость).

КАСКАД РЕКТОРОВ ИС (К-ИС)

В единичном РИС-Н не достигается высокая степень превращения, т.к. концентрация исходного вещества С0 в нем мгновенно снижается от исходной до конечного значения СК и весь процесс протекает при низкой концентрации и значит при низкой скорости. Поэтому часто применят ряд последовательно расположенных РИС – каскад реакторов К-РИС. Концентрация исходного реагента С0 в таком каскаде снижается до конечной не сразу (степень превращения соответственно повышается), а ступенчато от реактора к реактору рис. 1.

Для каскада реакторов идеального смешения должны выполняться следующие допущения об идеальности:

·в каждой секции каскада выполняются условия реактора идеального смешения, т. е. мгновенное изменение параметров процесса, равенство параметров во всех точках секции и в потоке, выходящем из нее;

·отсутствие обратного влияния: каждый последующий реактор не влияет на предыдущий

В каждом реакторе концентрация исходного вещества в объеме постоянная и равна концентрации его на выходе из реактора (Рис.2). В целом рабочая концентрация С в каскаде на всем протяжении процесса устанавливается выше, чем в единичном РИС-Н, и при увеличении числа реакторов ее изменение приближается к модели РИВ.

Расчет К-РИС заключается в определении числа реакторов N, необходимых для достижения заданной степени превращения СК. Существуют аналитический и графический методы расчета.

Аналитический метод расчета удобно использовать при протекании реакции первого порядка.

Дано: исходные условия (С0, объемы реакторов В К-ИС, объемный расход смеси V0 на входе в К-ИС, будем его считать постоянным); конечные условия (концентрация СК или степень превращения хК.

Определить: необходимое число реакторов в каскаде N.

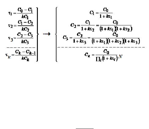
Математическая модель процесса в реакторе ИС при протекании реакции первого порядка описывается уравнением: (С0 - С)/ = kC, откуда для каждого реактора в К-РИС запишем:

В случае реакторов одинакового объема (равные значения ): Ск = С0/(1 + k ) N , где N – число реакторов.

 

 

 

ln

C0

 

Из этой формулы можно рассчитать:

N

CK

ln(1

kτ)

 

 

 

 

ln

1

 

 

 

 

 

 

 

1 х

 

 

Или через степень превращения хК.: N K ln(1 kτ)

Очевидно, что если дано N, легко определить Ск или хК, т.е. решить обратную задачу.

Графический метод расчета К-РИС используют обычно при сложной кинетике реакции. Для первого (головного) реактора в К-ИС имеем:

τ1

 

С0 С1

, откуда

r(C )

1

(С С )

r(C1 )

 

 

 

 

1

τ1

1

 

 

 

 

0

Для 2-го ректора r(C )

1

(С С ) и т. д.

 

 

 

 

2

1

2

 

 

 

 

 

τ2

 

 

 

В этих уравнениях левая часть есть кинетическое уравнение реакции, которую можно изобразить на графике в координатах r(С). Правые части –прямые линии в тех же координатах с тангенсами наклона к оси концентрации, равными

1

,

1

и т.д.

 

 

τ1

τ2

Т.е. для расчета К-РИС надо вначале построить по точкам зависимость

r(С), затем из точки С0, на оси абсцисс провести

прямую

с тангенсом угла наклона

1

до

τ1

 

 

 

пересечения с кривой r(С). Опустив перпендикуляр из точки пересечения, найдем концентрацию на выходе из первого реактора С1 . Она же будет концентрация на входе в следующий реактор. Такие операции продолжают повторять до тех пор, пока не будет достигнута концентрация Ск. Число ступеней и будет числом реакторов в каскаде.

Достоинства:

-малый объем как у РИВ

-простота конструкции, удобство эксплуатации и монтажа

Каскад реакторов занимает промежуточное положение между крайними режимами – ИС и ИВ, не только по интенсивности процесса, но и по селективности при протекании сложной реакции. Направление изменения селективности процесса при увеличении N будет таким же, как и ее изменение при переходе от режима ИС к ИВ. Т.е с увеличением числа реакторов в каскаде ИС селективность процесса также будет возрастать.