метионин
треонин
лизин
валин
Соотнесите названия с формулами:
бензойная
кислота
бутирилхлорид
этилацетат
янтарная
кислота
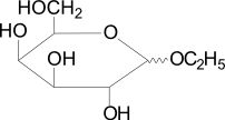
Формула:

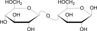
дисахарида, в молекуле которого имеется полуацетальная гидроксильная группа
Формула:

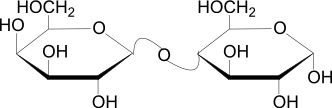
дисахарида, способного к цикло-оксо-таутомерии
Формула:

α-лактозы
Формула;

β-лактозы
Формула:

восстанавливающего дисахарида
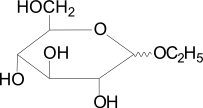
Формула О-глюкозида:

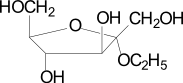
Формула О-фруктозида:

Формула О-галактозида:

Формула

2-амино-2-дезокси-β-D-глюкопираноза
Формула

β-D-рибопираноза
Формула

β-D-маннопираноза
Формула

2-дезокси-β-D-рибофураноза
Формула

2-амино-2-дезокси-α-D-глюкопираноза
Формула

α-D-ксилопираноза
Формула О-галактуронида:

Формула
О-дезоксирибозида

Формула
О-маннуронида:

Формула
α-D-маннопираноза
Формула
О-рибозида:

Соотнесите
названия с формулами: цитозин,
дезоксицитидин, дезокситимидин, цитидин
Соотнесите
названия с формулами: цитидинтрифосфат,
тимидинтрифосфат, уридинтрифосфат,
уридин-2’,3’,5’-трифосфат
Соотнесите название вещества с его формулой: пиримидин, гуанин, барбитуровая кислота, 5-фторурацил

Соотнесите названия с формулами: гуанин, цитидин, гуанозин,цитозин

Соотнесите название вещества с его формулой: тимин, барбитуровая кислота, мочевая кислота, пурин

Соотнесите названия веществ с их формулами:
1)
пальмитиновая
кислота
2)
серин
3)
глицерин
4)
олеиновая
кислота
Соотнесите названия с формулами: пирролидин, пироллин, пиридин, пиперидин

Соотнесите
названия с формулами:
(Нужно
сообщить, что из-за него могут быть
ошибки)
1)
пирролин
2)
фуран 3)
пиридин 4)
пиридин
Соотнесите типы липидов с их формулами:
1)
фосфатидовая
кислота
2)
триацилглицерин
3)
цереброзид
4)
церамид
1)
дезоксицитидин
монофосфат
2)
цитидин-2’-монофосфат
3)
цитидин-3’-монофосфат
4)
цитидинмонофосфат
Соотнесите
названия веществ с их формулами:
стеариновая
кислота
линоленовая
кислота
галактоза
глюкоза
Соотнесите названия с формулами:
уридин
дезоксиуридин
тимин
урацил
Соотнесите название вещества с его формулой:
тиофен
индол
пиридин
тиазол
Соотнесите
названия веществ с их формулами:
олеиновая
кислота
арахидоновая
кислота
пальмитиновая
кислота
линолевая
кислота
Соотнесите типы липидов с их формулами:
полиненасыщенный
жир
галактоцереброзид
насыщенный
жир
глюкоцереброзид
1)
гуанозинтрифосфат
2)
уридинтрифосфат
3) аденозинтрифосфат
4)
аденозин-2’,3’,5’-трифосфат
Соотнесите название вещества с его формулой:
1)
изохиноин
2)
индол
3)
хинолин
4)
бензимидазол
Соотнесите названия веществ с их формулами:
1)
пальмитиновая
кислота
2)
стеариновая
кислота
3)
арахидоновая
кислота
4)
линоленовая
кислота
Соотнесите названия с формулами:
гуанозин-3’,5’-дифосфат
дезоксигуанозин-3’,5’-дифосфат
цитидин-3’,5’-дифосфат
аденозин-3’,5’-дифосфат
Формула:
β-D-ксилофураноза

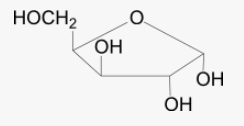
Формула:
дисахарида
способного к цикло-оксо-таутомерии
Формула
α-D-фруктофураноза
Соотнесите типы липидов с их формулами:
фосфатидилколамин
фосфатидилсерин
фосфатидилхолин
фосфатидилглицерин
Соотнесите
названия веществ с их формулами:
линолевая
кислота
олеиновая
кислота
пальмитиновая
кислота
линоленовая
кислота
Соотнесите
типы липидов с их формулами: (2 балла)
фосфатидовая кислота, триацилглицерин,
воск, церамид

Соотнесите названия с формулами: уридин, дезокситимидин, тимин, тимидин