Соединение:
L-молочная кислота
Соединение
: триазен
![]()
Соединение
: S-яблочная кислота
Соединение:
азоксисоединение
Соединение:
диазосоединение![]()
Соединение:
N-нитрозоамин
![]()
Соединение
S-миндальная кислота
Соединение
β-аланин
Соединение
пара-толуидин
Соединение:
лимонная кислота
Соединение:
глиоксиловая кислота
![]()
Соединение:
фенилизотиоцианат![]()
Соединение:
антраниловая
кислота
Соединение:
Сульфаниловая кислота
Соединение:
дициклогексилкарбодиимид![]()
Соединение:
бензилоксикарбонилхлорид![]()
Соединение:
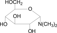
дансилхлорид
Соединение:
реактив Сенгера
Соединение:
коламин
Соединение:
орто-анизидин
Соединение:
четвертичное аммониевое

Соединение:
гликолевая кислота
![]()
Соединение:
метилформиат

Соединение:
диметилкарбонат
Соединение:
метилкарбамат
Соединение:
этилизоцианат![]()
Соединение:
ацетилацетон![]()
Класс
соединения: Соединение: β-лактон
Соединение:
лактид
Соединение:
L-винная кислота

Соединения:
L-яблочная кислота
Соединение:
R-яблочная кислота
Соединение:
сложный эфир ароматической карбоновой
кислоты
Соединение:
фенолокислота
Соединение:
S-миндальная кислота
Соединение:
L-миндальная кислота
Соединение:
диацетил![]()
Соединение:
ацетоуксусная кислота
Соединение:
мезовинная кислота
Соединение:
винная кислота![]()
Соединение:
мезоксалевая кислота
Соединение:
щавелевоянтарная кислота
Соединение:
L-глицериновая кислота
Соединение:
глицериновая кислота
![]()
Строение натриевого производного ацетилацетона:

Соединение:
холин
Енольная
форма 2-этилацетоуксусного эфира:

Соединение:
D-винная кислота
Соединение:
глиоксиловая кислота
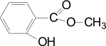
Соединение
салол
Соединение:
мета-анизидин
(в тесте именно такой ответ засчитывает
верным, но на самом деле это м-толуидин)
Соединение:
азосоединение
Соединение:
ацетанилид
Соединение:

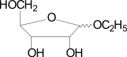
N-гликозид
Соединение:

О-рибозид
Дисахарид, не способный к цикло-оксо-таутомерии:

Соединение:

L-рибулоза
Соединение: не гликозид

Соединение:не гликозид

Соединение: кумарин

Пиррол
![]()
Изоксазол
![]()
Фуран
![]()
Оксазол
![]()
6. Соединение: пиразолон-5

Амидопирин-
Токоферол-
Акрихин

Биотин
Кордиамин
Офлоксацин
Ципрофлоксацин
Изоникотиновая
кислота

Пиразолон-5
8-гидроксихинолин
Кверцетин
никотиновая
кислота

Флаванон
Фурадонин
Соединение: хроман

Соединение:
фолиевая
кислота
Соединение: этмозин

Соединение: фторафур

Соединение: инозин

Соединение: тирацизин (боннекор)

Арахидоновая
кислота:
![]()
гуанозинтрифосфат
-

тимидинтрифосфат
-
гуанозин-2’,3’,5’-трифосфат
-

цитидинтрифосфат
-

пирослизевая
кислота -
![]()
D-ксилулоза
-

Соединение: L-рамноза
Соединение:
флавон
Формула
α-D-ксилофураноза
Формула
О-ксилозида:

Соединение:
α-пиколин
Соединение: D-маннозамин
Соединение:
никотиновая кислота

Формула 2-амино-2-дезокси-β-D-маннопираноза

Соединение:
4Н-пиран