реактив Гриньяра; циклический дитиоацеталь; полуацеталь; кетимин

Соотнесите
название класса соединения с формулой:
гидросульфитное
производное
CH3MgBr
реактив
Гриньяра
гидрат
альдегида
имин
Соотнесите
название вещества с его формулой:
имидазол
пиперидин
пиридин
пиразол
Соотнесите название класса соединений с формулой:
N,N-дизамещенный
амид кислоты
алифатическая
дикарбоновая кислота
уреид
кислоты
N-бромоимид
циклический
ацеталь
альдоль
реактив
Гриньяра
семикарбазон
Соотнесите название соединения с формулой:
акриловый
альдегид
1,3-дитиан
этаналь
бензофенон
Правильное название вещества формулы по радикально-функциональной номенклатуре:
орто-изопропилметилбензол
Правильное
название соединения формулы
![]()
по заместительной номенклатуре: пропановая кислота
Правильное название соединения формулы

по заместительной номенклатуре: 2-гидроксипропановая кислота
Правильное название вещества формулы
![]()
по радикально-функциональной номенклатуре: метиэтилкетон
Правильное название соединения формулы
по заместительной номенклатуре: 2-аминоэтанол
Правильное название вещества формулы СН2=СНСН=СН2 по радикально-функциональной номенклатуре: дивинил
Правильное название соединения формулы
![]()
по заместительной номенклатуре: бутаналь
Правильное название вещества формулы

по радикально-функциональной номенклатуре: мета-бромовинилбензол
Правильное название соединения формулы
![]()
по заместительной номенклатуре: 2-хлоробутановая кислота
Правильное название вещества формулы СН3(CH2)2NНCH3 по радикально-функциональной номенклатуре: метилпропиламин
Правильное название вещества формулы
![]()
по радикально-функциональной номенклатуре: изопропиловый спирт
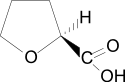
Правильное название соединения формулы
![]()
по заместительной номенклатуре: пропанон
Правильное название вещества формулы СН3СН2SСН3 по радикально-функциональной номенклатуре: метилэтилсульфид
Простой эфир — вещество формулы: С2Н5ОС2Н5
Формулы
D-изомеров:


Формулы D-изомеров:


Формулы
L-изомеров:


Формулы
S-изомеров:

Формулы
S-изомеров:

Формулы
R-изомеров:

Формулы
D-изомеров:

Формулы
R-изомеров:


Формулы
R-изомеров:

Формулы D-изомеров:


Формулы
R-изомеров:
,

В радикально-функциональной номенклатуре название родоначальной структуры для соединения орто-NH2–C6H4–COOH: бензойная кислота
В заместительной номенклатуре название родоначальной структуры для соединения CH3CH2CH2CH2CH2CH2Br: гексан
В заместительной номенклатуре название родоначальной структуры для соединения CH3C(O)CH2OH: пропан
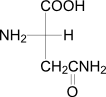
В заместительной номенклатуре название родоначальной структуры для соединения NH2СH2CООН: этан
В заместительной номенклатуре название родоначальной структуры для соединения НОOСCH2СOОН: пропан
В радикально-функциональной номенклатуре название родоначальной структуры для соединения CH3C(O)CH2OH: ацетон
В радикально-функциональной номенклатуре название родоначальной структуры для соединения ClCH2CH2COOH: пропионовая кислота
Правильное название соединения
![]()
по заместительной номенклатуре: бутанол-2
Правильное название вещества ClCH2CH2COOH по радикально-функциональной номенклатуре: β-хлоропропионовая кислота
Правильное
название соединения:

изопропил-2-метил-3-этилгептан
Правильное
название соединения:

изопропил-2-метил-3-этилгептан
Правильное
название соединения:

5,5-диметилбицикло[2.1.1]гексан
Правильное
название соединения:
2,2,4-триметилпентан
Правильное название соединения по радикально-функциональной номенклатуре:
пара-нитроанилин
Правильное
название для соединения:
2,4-диметилбицикло[1.1.1]пентан
Правильное
название соединения
по
заместительной номенклатуре:
метилпропанол-1
Правильное название для соединения:

2,4,7-триметилбицикло[3.3.0]октан
Правильное
название соединения
по
радикально-функциональной номенклатуре:
гидроксиацетон
Правильное
название для соединения:
![]()
3-метилбицикло[3.1.0]гексан
Правильное название для соединения:
2-метилбицикло[2.2.1]гептан
Правильное название соединения: спиро[4.5]декан
![]()
Правильное
название соединения:
2-метилбицикло[4.3.0]нонан
Правильное
название соединения:
2-метилбицикло[4.1.0]гептан
Правильное
название соединения:
2-метилбицикло[2.1.0]пентан
Правильное название соединения:
2,2-диметилбицикло[1.1.0]бутан
Название моноамида угольной кислоты: карбаминовая кислота
Правильное название соединения: 2-метилбицикло[3.2.0]гептан

Правильное
название соединения:2,4,7-триметилбицикло[3.3.0]октан

Правильное название соединения:
3-метилбицикло[3.1.0]гексан
Название дихлорангидрида угольной кислоты: фосген
Правильное
название соединения:
1-изопропил-3,4-диметилциклогексан
Соединение:
салициловая кислота
Соединение:
бензанилид
Соединение:
D-глицериновая кислота