
Формула
2-амино-2-дезокси-β-D-галактопираноза
Формула
N-ацетил-
β-D-рибозамин
Формула:
2-амино-2-дезокси-α-D-галактопираноза
Формула
β-D-рибофураноза
Соотнесите
названия с формулами:
гуанозинмонофосфат
дезоксигуанозин
монофосфат
гуанозин-2’-монофосфат
гуанозин-3’-монофосфат
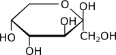
Формула:
β-целлобиозы
Соотнесите
названия с формулами:
1)
уридинтрифосфат
2)
цитидин-2’,3’,5’-трифосфат
3)
цитидинтрифосфат
4)
аденозинтрифосфат
Формула
2-дезокси-β-D-глюкопираноза
Формула
О-маннозида:

Соотнесите
типы липидов с их формулами: сфинголипид,
воск, насыщенный жир, ненасыщенный жир
Соотнесите названия с формулами:
дезокситимидин-3’,5’-дифосфат
уридин-3’,5’-дифосфат
уридиндифосфат
уридин-2’,3’-дифосфат
Формула О-глюкуронида:

Соотнесите
названия с формулами:
1)
уридин-2’,3’-дифосфат
2)
уридин-3’,5’-дифосфат
3)
уридиндифосфат
4)
дезокситимидин-3’,5’-дифос
Формула:
сахарозы
Соотнесите названия с формулами:
дезоксицитидин
цитидин
цитозин
дезокситимидин
Соотнесите названия с формулами:
дезоксиуридин
монофосфат
уридинмонофосфат
уридин-2’-монофосфат
уридин-3’-монофосфат
Соотнесите
типы липидов с их формулами:
1)
церамид
2)
фосфатидовая
кислота
3)
воск
4)
триацилглицерин
Соотнесите
названия веществ с их формулами:
1)
серин
2)
олеиновая
кислота
3)
холин
4)
арахидоновая
кислота
Соотнесите
типы липидов с их формулами:
ненасыщенный жир
церамид
воск
насыщенный
жир
Соотнесите названия с формулами:
аденозин-3’,5’-дифосфат
аденозин-3’,5’-циклофосфат
гуанозин-3’,5’-циклофосфат
цитидин-3’,5’-циклофосфат
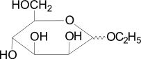
Формула:
β-целлобиозы
Формула
α-D-фруктофураноза

Формула β-D-ксилофураноза

Соотнесите названия с формулами:
гуанозинтрифосфат
уридинтрифосфат
тимидинтрифосфат
тимидин-2’,3’,5’-трифосфат
Формула
2-амино-2-дезокси-α-D-галактопираноза
Формула
β-D-галактопираноза
Формула
2-дезокси-α-D-глюкопираноза

Формула:
фрагмента
целлюлозы

Соотнесите названия с формулами:
цитидин-3’,5’-дифосфа
уридин-3’,5’-циклофосфат
гуанозин-3’,5’-дифосфат
тимидин-3’,5’-циклофосфат
Формула
β-D-глюкопираноза

Формула
О-рибуронида:

Формула
гуанидина

Формула
β-D-фруктопираноза
Соотнесите
название вещества с его формулой:
1)
пиримидин
2)
флавин
3)
пурин
4)
гуанин
Соотнесите
название вещества с его формулой:
1)
пиран
2)
тетрагидропиран
3)
тетрагидрофуран
4)
фуран
Соотнесите название вещества с его формулой:
6Н-1,3-оксазин

птеридин

гуанин
пиридазин
Соотнесите название вещества с его формулой: тимин, ксантин, цитозин, 6H-1,3-оксазин
Соотнесите название
вещества с его формулой: тиофен,
пиперидин, пиразол, пиразолидин
Соотнесите
название вещества с его формулой:
1)
оксазол
2)
хинолин
3)
тиазолидин
4)
изохинолин
Соотнесите
название вещества с его формулой:
1)
6-меркаптопурин
2)
гипоксантин
3)
тимин
4)
гуанин
Соотнесите название вещества с его формулой:

пиррол, акридин, хинолин, тиофен
Соотнесите название вещества с его формулой: 5-фторурацил, гуанин, пиримидин, барбитуровая кислота

Соотнесите название вещества с его формулой: изоксазол, имидазол, пиридин, изотиазол

Соотнесите название вещества с его формулой:
имидазол фуран оксазол оксазолидин

Соотнесите
название вещества с его формулой:
тиазолидин
2)
тиазол
3)
имидазол
4)
имидазолидин
Соотнесите
название вещества с его формулой:
пурин
барбитуровая
кислота
аденин
1Н-1,4-диазепин
Соотнесите
название вещества с его формулой:
1)
холин
2)
коламин
3)
сфингозин
4)
серин
Соотнесите
название вещества с его формулой:
1)
индол
2)
пиридин
3)
тиофен
4)
тиазол
Название
соединения формулы: биурет
Название
соединения формулы N,N-диметилкарбамоилхлорид
Название
соединения формулы: фосген![]()
Название соединения формулы:
гуанидин