Материал: Baza_testov_-_2_semestr-МОДУЛЬ

Внимание! Если размещение файла нарушает Ваши авторские права, то обязательно сообщите нам
  1. Ацетоуксусная

  2. Пировиноградная

  3. Щавелевоуксусная

  4. Глиоксиловая

  5. Молочная

Моносахариды

242. Структурная формула моносахарида имеет вид:

Определите название данного моносахарида:

А. α,D-фруктоза

В. α,D-галактоза

C. β,D-галактоза

  1. α,D-глюкоза

  2. β,D-глюкоза. .

243. Галактоза - один из углеводов, участвующих в обменных процессах организма. Укажите тип данного углевода.

  1. Гексоза

  2. Гомополисахарид

  3. Кетоза

  4. Дисахарид

  5. Пентоза.

244. Рибоза способна вступать в реакцию восстановления. Укажите продукт, который образуется в результате данной реакции.

А. Карбоновая кислота

В. Гликозид

С. Сложный эфир

D. Многоатомный спирт

Е. Ангидрид.

245. В тканях организма протекает реакция ферментативного окисления глюкозы, в результате которой происходит образование продукта, отвечающего следующей структуре:

Укажите название продукта, который образуется в данном биохимическом процессе.

  1. Глюконовая кислота

  2. Глюкаровая кислота

  3. Глюкуроновая кислота

  4. Сорбит

  5. Ацетилгликозид.

246. У больных сахарным диабетом определяют содержание глюкозы в моче. Укажите тип химической реакции, которая применяется с этой целью.

  1. Восстановление

  2. Окисление в мягких условиях

  3. Окисление в жестких условиях

  4. Образование простых эфиров

  5. Образование сложных эфиров.

247. Образование пиранозных форм глюкозы происходит при взаимодействии двух функциональных групп. Укажите данные группы.

А. Карбонильной группы и гидроксила при 4-м атоме углерода

В. Гидроксильных групп при атомах углерода с номерами 2 и 6

С. Карбонильной группы и гидроксила при 3-м атоме углерода

D. Групп -ОН при атомах углерода с номерами 2 и 5

E. Карбонильной группы и гидроксила при 5-м атоме углерода.

248. Дезоксирибоза входит в состав ДНК, отвечающей в организме за сохранение и передачу наследственной информации. Укажите тип углевода, к которому относится данный моносахарид.

A. Пентоза

B. Гексоза

C. Кетоза

D. Гомополисахарид

E. Дисахарид.

249. В состав некоторых моносахаридов может входить кетонная группа. Определите такой моносахарид.

  1. Глюкоза

  2. Мальтоза

  3. Лактоза

  4. Рибоза

  5. Фруктоза.

250. При добавлении к раствору глюкозы некоторого реактива в щелочной среде произошло образование зеркального налёта на стенках пробирки. Определите формулу реагента, который был добавлен.

  1. Аg2O / NH3

  2. Cu(OH)2

  3. HNO3 (разб)

  4. Br2 / H2O

  5. СН3СООН.

251. В состав свекловичного и тростникового сахара входит моносахарид, имеющий следующую структуру:

Определите название данного моносахарида.

  1. α,D-глюкофураноза

  2. β,D-глюкофураноза

  3. α,D-фруктофураноза

  4. β,D-фруктофураноза

Е. β,D-галактофураноза .

252. Сорбит используется как заменитель сахара для больных сахарным диабетом. Укажите углевод, из которого можно получить данный шестиатомный спирт.

  1. Глюкоза

  2. Лактоза

  3. Рибоза

  4. Сахароза

  5. Дезоксирибоза.

253. Конфигурация определённого хирального центра позволяет отнести моносахарид к D- или L-стехиометрическим рядам. Укажите атом углерода, который является для глюкозы таким определяющим центром.

А. С-1

В. С-2

С. С-3

  1. С-4

Е. С-5.

254. Глюкоза - важнейший источник энергии в организме. Укажите тип углеводов, к которым она относится.

  1. Пентоза

  2. Альдоза

  3. Кетоза

  4. Дисахарид

  5. Полисахарид.

255. Превращение глюкозы в тканях начинается с образования глюкозо-6-фосфата. Укажите тип реакции, которая применяется при лабораторном получении данного соединения.

  1. Восстановление

  2. Окисление в мягких условиях

  3. Окисление в жёстких условиях

  4. Дегидратация

Е. Этерификация.

256. С помощью бромной воды можно осуществить мягкое окисление галактозы. Укажите продукт, который при этом образуется.

А. Галактаровая кислота

В. Сорбит

С. Галактоновая кислота

D. Галактуроновая кислота

E. Галактопиранозид.

257. При взаимодействии раствора моносахарида в кислой среде с сухим резорцином раствор приобрёл красное окрашивание. Укажите моносахарид, раствор которого был использован в данной реакции.

  1. Глюкоза

  2. Фруктоза

  3. Галактоза

  4. Рибоза

  5. Дезоксирибоза.

258. Принадлежность моносахарида к D- или L- стереохимическому ряду определяется конфигурацией одного из хиральных центров моносахарида. Укажите атом углерода, который является таким хиральным центром для рибозы.

А. С-1

В. С-2

С. С-3

D. C-4

Е. С-5.

259. При замещении одной из гидроксильных групп в молекуле моносахарида на аминогруппу образуются аминосахара. Укажите атом углерода, при котором обычно осуществляется данная замена.

А. С-1

В. С-2

С. С-3

D. С-4

E. C-5.

260. При добавлении к галактозе раствора некоторого соединения образовался гликозид. Укажите название данного реагента.

  1. Этанол

  2. Уксусный альдегид

  3. Азотная кислота

  4. Бромная вода

  5. Оксид серебра.

261. Один из циклических аномеров фруктозы образует пятичленный закрытый цикл. Укажите название данного аномера фруктозы.

  1. α,D- фруктопираноза

  2. α,D- фруктофураноза

  3. β,D-фруктопираноза

  4. D- фруктоза

  5. Фурфурол.

262. В результате реакции жесткого окисления D-глюкозы образовалась D- глюкаровая кислота. Укажите окислитель, который был использован в данной реакции.

  1. Этанол

  2. Уксусная кислота

  3. Азотная кислота

  4. Уксусный альдегид

  5. Хлороформ.

263. Углеводы способны вступать в реакции, характерные для альдегидов. Укажите одну из таких реакций.

А.Окисление

В.Этерификация

С.Аминирование

D.Нейтрализация

Е.Хлорирование.

264. Моносахариды содержат несколько ассиметрических атомов углерода (хиральных центров). Укажите их количество в молекуле дезоксирибозы.

А. 1

В. 2

С. 3

D. 4

Е. 5.

265. В состав смеси моносахаридов входит углевод, структурная формула которого имеет вид:

Укажите название данного моносахарида.

А. α,D- фруктопираноза

В. β,D-фруктофураноза

С. α,D- глюкофураноза

D. 2-дезокси- β,D-рибофураноза

Е. α,D-рибофураноза.

266. Число хиральных центров, входящих в состав галактозы, определяет количество возможных стереоизомеров. Укажите общее количество стереоизомеров для данного моносахарида.

A. 2

B. 8

C. 12

D. 16

E. 32.

267. Моносахариды при определённых условиях образуют циклические ацетали - гликозиды. Определите реагент, с которым глюкоза образует данное соединение.

А.Уксусный альдегид

В. Метиламин

С.Соляная кислота

D.Уксусная кислота

E.Хлороформ.

268. Моносахарид имеет следующую структурную формулу:

Укажите название данного моносахарида.

  1. α,D- глюкофураноза

  2. α,D-галактопираноза

  3. β,D-глюкопираноза

  4. β,D-галактопираноза

  5. α,D-галактофураноза.

269. При жестком окислении галактозы образовался продукт, проекционная формула которого имеет вид:

Укажите название данного продукта.

  1. D-галактопираноза

  2. D-галактаровая кислота

  3. D-галактоновая кислота

  4. D-галактуроновая кислота

  5. D-галактофураноза.

270. Структурная формула фруктозы имеет вид:

Определите общее количество возможных стереоизомеров для данного моносахарида.

  1. 2

  2. 4

  3. 8

  4. 16

  5. 32

271. Дезоксирибоза, входящая в структуру ДНК, способна вступать в реакцию окисления. Укажите, благодаря наличию какой функциональной группы возможно протекание данной реакции.

А. Cпиртовые гидроксилы

В. Альдегидная группа

С. Кетонная группа

D. Карбоксильная группа

E. Сложноэфирная группа

Дисахариды

272. Мальтоза - дисахарид, проявляющий восстанавливающие свойства. Укажите причину данного явления:

  1. Содержит несколько гидроксогрупп

  2. Содержит кетонную группу

  3. Состоит из молекул глюкозы

  4. В структуре имеется α-1,4-гликозидная связь

  5. Содержит свободный полуацетальный гидроксил

273. При расщеплении сложного углевода образуется β-D-фруктоза. Укажите данный сложный углевод:

  1. Клетчатка

  2. Амилоза

  3. Сахароза

  4. Гликоген

  5. Амилопектин

274. Сахароза содержится в сахарном тростнике, сахарной свекле, фруктовых соках и плодах. Определите тип, к которому относится данный углевод:

  1. Моносахарид

  2. Гомополисахарид

  3. Гетерополисахарид

  4. Восстанавливающий дисахарид

  5. Невосстанавливающий дисахарид

275. Лактоза обладает восстанавливающими свойствами. Укажите реагент, при взаимодействии с которым можно доказать данные свойства лактозы:

  1. СН3ОН

  2. Сu(OH)2

  3. 3СООН

  4. Н3РО4

  5. С2Н5ОН

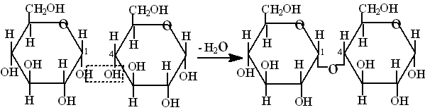
276. В результате следующей химической реакции образовался дисахарид:

Укажите правильное название данного дисахарида:

  1. Сахароза

  2. Целлобиоза

  3. Лактоза

  4. Амилоза

  5. Мальтоза

277. Глюкопираноза и фруктофураноза, входящие в состав сахарозы, образуют между собой гликозидную связь. Укажите тип данной гликозидной связи:

  1. α,1-2

  2. α,1-3

  3. α,1-4

  4. β,1-3

  5. β,1-4

278. Структурная формула дисахарида имеет вид:

Определите название данного дисахарида и характер гликозидной связи между монозами.

  1. Сахароза, α,1- 2

  2. Мальтоза, α,1- 4

  3. Целлобиоза, β,1-4

  4. Лактоза, β,1-4

  5. Амилоза, α,1- 4

279. Лактоза - дисахарид, который применяется в фармацевтической промышленности при изготовлении порошков и таблеток. Укажите монозы, входящие в состав данного дисахарида:

  1. α,D- фруктоза и β,D-глюкоза

  2. α,D- глюкоза и α,D-глюкоза

  3. α,D-глюкоза и β,D-фруктоза

  4. β,D-глюкоза и α,D- глюкоза

  5. β,D-галактоза и α,D-глюкоза

280. Сахароза - один из наиболее распространенных углеводов, входящих в состав продуктов питания. Определите тип данного углевода: