Материал: Baza_testov_-_2_semestr-МОДУЛЬ

Внимание! Если размещение файла нарушает Ваши авторские права, то обязательно сообщите нам

Укажите характер гликозидной связи между остатками D-глюкуронат-2-сульфата и N-ацетилглюкозамин-6-сульфата.

  1. α-1,2

  2. α-1,4

  3. α-1,6

  4. β-1,4

  5. β-1,6

321. При нитровании целлюлозы получают продукты, имеющие важное практическое значение. Укажите название продукта полного нитрования данного полисахарида:

  1. Нитрат

  2. Динитрат

  3. Тринитрат

  4. Тетранитрат

  5. Пентанитрат

322. В состав всех полисахаридов входит остаток одного из моносахаридов. Укажите данный моносахарид:

  1. Фруктоза

  2. Галактоза

  3. Глюкоза

  4. Рибоза

  5. Дезоксирибоза

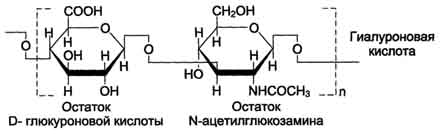
323. Фрагмент структуры гиалуроновой кислоты имеет вид:

Укажите характер гликозидной связи между моносахаридными остатками внутри дисахаридного фрагмента.

  1. α-1,2

  2. α-1,4

  3. α-1,6

  4. β-1,3

  5. β-1,4

324. При энергетическом «голоде» клетки происходит гидролиз гранул гликогена, содержащихся в цитоплазме. Укажите название продукта, который образуется в результате данного гидролиза:

  1. α,D- глюкопираноза

  2. β,D – глюкопираноза

  3. α,D- галактопираноза

  4. β,D – галактопираноза

  5. α,D- фруктофураноза

325. С пищей в организм человека постоянно поступает углевод, который представляет собой смесь двух гомополисахаридов. Укажите название данного углевода:

  1. Сахароза

  2. Крахмал

  3. Гликоген

  4. Клетчатка

  5. Гиалуроновая кислота

326. Дисахаридный фрагмент хондроитинсульфата имеет следующий вид:

Укажите название моносахаридных остатков, входящих в состав данного полисахарида.

  1. D– глюкуроновая кислота и N-ацетил-D– глюкозамина сульфат

  2. D– глюкуроновая кислота и N-ацетил-D– галактозамина сульфат

  3. D– галактуроновая кислота и N-ацетил-D– глюкозамина сульфат

  4. D–галактуроновая кислота и N-ацетил- D– галактозамина сульфат

  5. D–глюкопираноза и N-ацетил-D– галактозамина сульфат

327. Крахмал приблизительно на 20% состоит из линейного полимера амилозы. Укажите характер гликозидной связи, характерный для данного полимера:

  1. α: 1 → 4

  2. β: 1 → 4

  3. α: 1 → 6

  4. α: 1 → 2

  5. β: 1 → 6

328. По химической природе полисахариды подразделяются на гомополи- и гетерополисахариды. Укажите, к какому типу относится крахмал:

  1. Моносахарид

  2. Дисахарид

  3. Олигосахарид

  4. Гомополисахарид

  5. Гетерополисахарид

329. Определите название полисахарида, в котором моносахаридные фрагменты связаны только по типу α(1 → 4):

  1. Амилопектин

  2. Клетчатка

  3. Гликоген

  4. Амилоза

  5. Сахароза

330. Гиалуроновая кислота – гетерополисахарид, молекула которого состоит из дисахаридных фрагментов, один из которых - β-D-глюкуроновая кислота. Укажите второй компонент, входящий в состав данного гетерополисахарида:

  1. N-ацетил- α,D-галактозамин

  2. N-ацетил-β,D-глюкозамин

  3. N-ацетил-α,D-глюкозамин

  4. N-ацетил-β,D-галактозамин

  5. L – идуроновая кислота

331. При гидролизе полисахарида в кислой среде получили α,D-глюкопиранозу. Определите название исходного полисахарида:

  1. Крахмал

  2. Гепарин

  3. Хондроитинсульфат

  4. Целлюлоза

  5. Гиалуроновая кислота

332. Полисахариды соединительной ткани называют иногда кислыми мукополисахаридами, так как они содержат в своей структуре две группы, обусловливающие их анионное строение. Определите такие группы:

  1. –ОН, –СОNH2

  2. –NH2, –ОН

  3. –SH, –NO2

  4. –SO3H, –СООН

  5. –CN

333. При помощи физико-химического анализа была установлена структура полисахарида:

Укажите название данного углевода:

  1. Целлюлоза

  2. Амилоза

  3. Гликоген

  4. Гепарин

  5. Сахароза

Аминокислоты

334. В каждой макромолекуле белка α-аминокислоты, являющие его структурными компонентами, соединены между собой пептидной связью. Укажите данную группу атомов:

1.

2.

3.

4.

5.

335. Аланин – одна из наиболее важных α-аминикислот, входящих в состав белков. Укажите, реакцию среды, которую имеет эта кислота в водном растворе:

  1. pH =5

  2. pH = 7

  3. pH = 9

  4. pH = 11

  5. pH = 3

336. Некоторые α–аминокислоты, необходимые для синтеза белков, не синтезируются в организме, а должны поступать извне. Укажите название таких аминокислот:

  1. β -аминокислоты

  2. α -аминокислоты

  3. Протеиды

  4. Незаменимые

  5. γ-аминокислоты

337. В ходе лабораторной работы студенты изучали свойства аминокислот. Укажите, реакцией с какими веществами можно доказать их амфотерность:

  1. NaOH и KCN

  2. HCl и C2H5OH

  3. NaOH и HCl

  4. C2H5OH и KOH

  5. HNO2 и NaCl

338. Аминокислоты являются универсальным биологическим материалом, благодаря способности полимеризоваться. Укажите связь, при помощи которой они соединяются в цепь:

  1. Водородная

  2. Электростатическая

  3. Пептидная

  4. Гидрофобная

  5. Дисульфидная

339. Для аминокислот существует несколько видов классификаций, одна из которых учитывает количество амино- и карбоксильных групп в структуре молекулы. Классифицируйте приведенную аминокислоту в зависимости от данного признака:

  1. Моноаминомонокарбоновая

  2. Моноаминодикарбоновая

  3. Диаминомонокарбоновая

  4. Диаминодикарбоновая

  5. Моноаминотрикарбоновая

340. В лаборатории для обнаружения α-аминокислот использовали качественную реакцию. Укажите ее название:

  1. Биуретовая реакция

  2. Нингидриновая

  3. Метод Ван-Слайка

  4. Формольное титрование

  5. Диспропорционирование

341. С целью идентификации аминокислот применили ксантопротеиновую реакцию. Укажите аминокислоту, которая при проведении реакции дает желтое окрашивание:

1.

2.

3.

4.

5.

342. В организме аминокислоты подвергаются дезаминированию. Укажите, какое дезаминирование является преобладающим в тканях человека:

  1. Восстановительное

  2. Окислительное

  3. Гидролитическое

  4. Неокислительное

  5. Внутримолекулярное

343. В процессе синтеза был получен дипептид:

Укажите его название:

  1. Гли–Ала

  2. Ала–Ала

  3. Лиз–Ала

  4. Сер–Лиз

  5. Лиз–Гли

344. Произошло разрушение пространственной формы белка при сохране­нии его первичной структуры. Укажите название данного явления:

  1. Денатурация

  2. Эпимеризация

  3. Деструкция

  4. Конденсация

  5. Полимеризация

345. Для аминокислот характерна стереоизомерия, поэтому для обозначения их конфигурации применяют D, L – систему. Укажите, конфигурацию аминокислот, входящих в состав белков человека:

  1. β, D аминокислоты

  2. α, D аминокислоты

  3. α, L аминокислоты

  4. β, L аминокислоты

  5. γ, L аминокислоты

346. В зависимости от природы радикала аминокислоты (АК) относятся к различным группам. Укажите, к какой группе можно отнести фениаланин:

  1. Гетероциклические

  2. Ароматические

  3. Алифатические

  4. -аминокислоты

  5. γ-аминокислоты

347. Аминокислоты существуют в растворе в разных ионных формах. Укажите фактор, от которого это зависит:

  1. Природа растворителя

  2. Степень диссоциации

  3. рН раствора.

  4. Концентрация аминокислоты.

  5. Температура

348. Аминокислота глицин прореагировала с уксусным альдегидом. Укажите конечный продукт данной реакции:

  1. Соль

  2. Лактон

  3. Кислота

  4. Имин

  5. Спирт

349. По кислотно-основным свойствам аминокислоты делятся на несколько групп. Укажите аминокислоту, относящуюся к основным:

1.

2.

3.

4.

5.

350. Аминокислоты вступают в реакции со спиртами. Укажите класс соединений, образующийся при этом:

  1. Спирты

  2. Имины

  3. Альдегиды

  4. Кислоты

  5. Сложные эфиры

351. Аминокислоты  биологически активные соединения, для которых характерна стереоизомерия. Укажите количество ассиметрических атомов углерода в молекуле -аминопропионовой кислоты:

  1. Один

  2. Два

  3. Три

  4. Четыре

  5. Пять

352. Аминокислота гистидин в своей структуре содержит гетероциклический радикал. Укажите гетероцикл, радикал которого входит в структуру данной аминокислоты:

  1. Пиридин

  2. Индол

  3. Пиразол

  4. Пиримидин

  5. Имидазол

353. В организме человека глутаминовая кислота подвергается дезаминированию:

Укажите образующиеся при этом продукты:

  1. α-Оксокислота и аммиак

  2. Альдегид и вода

  3. Кетон и аммиак

  4. β-Оксикислота и вода

  5. Молочная кислота и азот