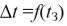
Обработка результатов. Производят расчет и заносят в протокол (см. табл. 1.7) следующие показатели:
1)ошибку∆tiсубъективной оценки заданного интервала tЗj в каждом (i-ом) измерении
2)относительную ошибку (дробь Вебера) i-й оценки j-го интервала вре-
мени
3)субъективную продолжительность одной секунды
4)средние абсолютное
и относительное
значения ошибки оценки каждого (j-го) заданного интервала времени tЗj
где N - число измерений заданного интервала времени (N= 5);
5)среднюю субъективную продолжительность одной секунды, полученную в каждом(j - ом) заданном интервале времениtЗj
6)средние арифметические значения абсолютной
и относительной
ошибок, а также среднюю субъективную продолжительность
одной секунды
, полученные во всех измерениях опыта:
где К - число заданных интервалов времени (К = 4).
Средние арифметические значения абсолютной и относительной
ошибок оценки интервала времени считают соответственно абсолютным и относительным значением (дробью Вебера) разностного порога различения интервалов времени.
По результатам расчетов строят график
, для чего на осях координат (рис. 5.1) наносят экспериментальные точки A'jи по ним от руки проводят плавную осредненную линию.
Рис.5.1. Оси координат для построения графика зависимости
Вывод по работе должен содержать сведения:
-о найденных абсолютном и относительном значениях разностного порога различения интервалов времени;
-по результатам построения диаграммы (см. рис. 1.3) - об изменении (при наличии) абсолютного значения разностного порога и его знака в зависимости от заданного интервала времени;
-средней субъективной продолжительности одной секунды.
Лабораторная работа № 6
ОПРЕДЕЛЕНИЕ НИЖНЕГО АБСОЛЮТНОГО ПОРОГА СЛУХОВОЙ ЧУВСТВИТЕЛЬНОСТИ В СЧМ
(трудоемкость – 4 часа)
1.Цель работы - определение абсолютных порогов слуховой чувствительности чистых тонов в зависимости от частоты звукового сигнала.
2.Инструменты - аудиометр поликлинического типа модели АП-02.
3.Теоретические сведения приведены в лабораторной работе №
4. Порядок проведения. До проведения измерений необходимо подготовить бланк протокола (табл. 1.8) и получить у преподавателя или учебного мастера стандартный бланк аудиограммы для нанесения результатов исследования (рис. 1.4).
Аудиограммой называется график зависимости нижнего абсолютного порога слышимости (звукового давления) от частоты звукового сигнала, который строится на логарифмической шкале.
Опыт выполняют с использованием аудиометра. Испытуемый садится так, чтобы не видеть органов управления аудиометра, и надевает наушники таким образом, чтобы телефон с красной отметкой был на левом ухе.
|
|
|
|
|
|
Таблица 6.1 |
|
|
|
Протокол лабораторной работы № 6 |
|
|
|||
|
|
|
|
|
|
|
|
Часто |
|
Порог слышимости (звуковое давление) L,дБа |
|
|
|||
|
|
|
|
|
|
|
|
та зву |
|
Правое ухо |
|
|
Левое ухо |
|
|
|
|
|
|
|
|
|
|
ка |
появле- |
исчезно- |
среднее |
появле- |
исчезнове- |
среднее |
|
f,Гц |
ние |
вение |
значе- |
ние |
ние |
значе- |
|
|
|
|
ние |
|
|
ние |
|
|
LП1 |
LП2 |
|
LЛ1 |
LЛ2 |
|
|
|
|
|
|
|
|
|
|
250 |
|
|
|
|
|
|
|
|
|
|
|
|
|
|
|
500 |
|
|
|
|
|
|
|
|
|
|
|
|
|
|
|
1000 |
|
|
|
|
|
|
|
|
|
|
|
|
|
|
|
2000 |
|
|
|
|
|
|
|
|
|
|
|
|
|
|
|
4000 |
|
|
|
|
|
|
|
|
|
|
|
|
|
|
|
6000 |
|
|
|
|
|
|
|
|
|
|
|
|
|
|
|
8000 |
|
|
|
|
|
|
|
|
|
|
|
|
|
|
|
Рис. 6.1. Стандартный бланк для построения аудиограммы
Инструкция испытуемому: «Вам будут предъявлять чистые тона разной высоты. Внимательно слушайте, не отвлекайтесь. Как только Вы впервые услышите звук в правом (или в левом) наушнике, то необходимо сообщить об этом экспериментатор».
Измерения проводят сначала для правого, затем для левого уха. Приступая к измерению, экспериментатор устанавливает регулятор уровня звукового давления "LEVELdBа" в положение "0", а регулятор
частоты "FREQUENCY Hz" в положение "250", соответствующее минимальному значению частоты звука. Подача сигнала осуществляется путем нажатия кнопки аудиометра"LEFTSTART"или"RAGHTSTART"в зависимости от того, для какого (левого или правого) уха проводится измерение. Испытуемый реагирует словами: "Слышу" или "Не слышу". Если испытуемый не слышит звуковой сигнал, то экспериментатор передвигает регулятор уровня звукового давления "LEVELdBа" по часовой стрелке до следующей отметки "5" и т.д., т.е. в сторону увеличения интенсивности звукового давления. И подает сигнал, нажимая кнопку аудиометра"LEFTSTART"или"RIGHTSTART".
Экспериментатор увеличивает интенсивность звукового давления до значения, при котором испытуемый услышит звуковой сигнал. Это значение (порог появления слышимости) для соответствующей частоты экспериментатор заносит в протокол (см. табл. 6.1).
После этого экспериментатор проводит измерение слышимости на той же частоте сигнала, снижая звуковое давление путем поворота регулятором громкости "LEVELdBa" против часовой стрелки с максимального уровня "80" до тех пор, пока испытуемый не перестает слышать звук. Соответствующее значение звукового давления, при котором испытуемый ещѐ слышит звук (порог исчезновения слышимости), экспериментатор заносит в протокол (см. табл. 6.1).
Измерения проводят для ряда частот (250; 500; 1000; 2000; 4000; 6000; 8000), указанных в протоколе (см. табл. 6.1). Для изменения частоты звука экспериментатор передвигает по часовой стрелке регулятор частоты "FREQuE^YHz".
Обработка результатов. Производят расчет и заносят в протокол (см. табл. 6.1) среднее значение порога слышимости для правого Lnи левого LЛ уха: