6
Таблица 1
Классификация ошибок измерений
Типы ошибок
Грубые (промахи)
Систематические
Случайные
Причины возникновения
Нарушение основных условий измерения или недосмотр экспериментатора: неисправность средств измерений, ошибки при измерениях или записи экспериментальных данных
Неправильная регулировки прибора, несовершенство измерительной техники, квалификация исследователя и его способности
Суммарный эффект влияния многих неустранимых факторов, внешних условий (температура, изменение напряжения в электросети, изменение атм. давления и т. п.)
Грубые ошибки не подчиняются какому-либо закону и могут быть устранены при промежуточной оценке результатов измерений. Внешним признаком результата с грубой ошибкой является его резкое отличие по значению от остальных результатов измерений.
Систематические ошибки можно выявить, измерив значение одной и той же величины различными методами. При выявлении систематических ошибок они легко устраняются путем введения соответствующих поправок в результаты измерения.
Случайные ошибки являются неустранимыми, но их влияние на оценку истинного значения измеряемой величины оценивают с помощью законов теории вероятности установленным для случайных явлений. Теория случайных ошибок позволяет определить наиболее вероятные значения измеряемых величин и возможные отклонения от них.
Точность измерений характеризует параметр σ, который является линейной мерой рассеивания ошибок и называется средним квадратичным отклонением. Для случайных ошибок выполняется закон нормального распределения Гаусса, из которого следует, что плотность распределения вероятности попадания в интервал случайных ошибок (-Z÷Z) описывается функцией и кривой Гаусса (рис. 1)
Рис. 1. Кривые нормального распределения при различных значениях параметра σ
7
Чем меньше σ, тем меньше разброс ошибок около нуля.
Вероятность попадания случайной величины в определенный интервал значений характеризует число Р (доверительная вероятность), которое задают из ряда 0,90 (90 %); 0,95 (95 %); 0,99 (99 %); 0,999 (99,9 %); 0,9997 (99,97 %),
что означает долю риска, a, соответственно: 0,10 (10 %); 0,05 (5 %); 0,01 (1 %); 0,001 (0,1 %) и т. д. При интегрировании функций Гаусса определено, что в интервале Х0±σ, где Х0 – истинное значение измеряемой величины, находится примерно 68 % всех результатов измерений; в пределах Х0 ±2σ – 95 % всех результатов, а в пределах Х0±3σ находится 99,73 %, то есть практически все значения случайной величины Хi. Поэтому при обработке результатов измерений широко используют правило трех сигм.
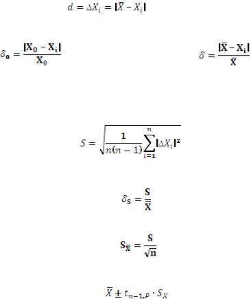
Случайные ошибки измерения ограничены по абсолютной величине значениями 3σ. Отклонения от Х0, превосходящее критерий 3σ, рассматриваются как промахи. Квадрат величины σ называется дисперсией ошибки, D=σ2. Определение величины σ требует очень большого числа измерений, поэтому вместо него используется его выборочная оценка S, которую рассчитывают по формуле (1)
, |
(1) |
если Х0 известно, или используют среднее значение измеряемых величин 
, |
(2) |
если Х0 неизвестно.
Величина S отражает точность результатов измерений и является оценкой меры их рассеивания по отношению к неизвестной величине Х0 при реально осуществимом числе измерений n.
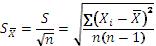
Для более точной оценки воспроизводимости определяют случайную ошибку среднего значения –
, называемую средней квадратичной ошибкой среднего арифметического 
. (3)
Следовательно, случайная ошибка среднего арифметического
меньше ошибки отдельного результата S в
раз.
Для того чтобы оценить возможное расхождение
, и Х0, в теории ошибок используют доверительный интервал (4)
, |
(4) |
где
– статистический коэффициент Стьюдента, величина которого зависит от числа степеней свободы и от выбранной доли риска Р (табл. 2). Коэффициент Стьюдента определяет симметричные границы доверительного интервала.
8
|
|
|
|
|
Таблица 2 |
|
Значения t для расчета доверительного интервала |
|
|||
Число |
Степени |
Доля риска (доверительная вероятность, % Р) |
|||
измерений |
свободы |
0,10 (90) |
0,05 (95) |
|
0,01 (99) |
n |
f = n – 1 |
|
|||
|
|
|
|
||
2 |
1 |
6,314 |
12,706 |
|
63,6 |
3 |
2 |
2,920 |
4,303 |
|
9,925 |
5 |
4 |
2,132 |
2,776 |
|
4,604 |
7 |
6 |
1,943 |
2,447 |
|
3,707 |
10 |
9 |
1,833 |
2,262 |
|
3,250 |
15 |
14 |
1,761 |
2,145 |
|
2,977 |
21 |
20 |
1,725 |
2,086 |
|
2,845 |
26 |
25 |
1,708 |
2,060 |
|
2,787 |
31 |
30 |
1,697 |
2,042 |
|
2,750 |
41 |
40 |
1,687 |
2,021 |
|
2,707 |
61 |
60 |
1,671 |
2,000 |
|
2,660 |
∞+ 1 |
∞ |
1,645 |
1,960 |
|
2,276 |
Практическая часть
Измерение физических величин и обработка результатов измерений
Задание. Согласно указанному преподавателем варианту задания, студенту необходимо воспользоваться измерительным прибором (часы, весы, термометр, или любой другой измерительный прибор, имеющийся в быту) и провести серию измерений определенного физического свойства объекта или явления, определенного в задании.
Например, пользуясь а) термометром можно произвести измерения температуры окружающей среды внутри (снаружи) помещения в строго определенное время; б) часами – определить время закипания чайника, приготовления n-чашек кофе в кофеварке; время, регулярно затрачиваемое на дорогу до определенного пункта или выполнение определенной операции, и др.; в) весами – определить массы стандартных упаковок каких-либо предметов или товаров, и т.д.
Количество измерений должно быть равным n= 20.
Занести данные в таблицу и провести обработку результатов так, как указано ниже.
Методика обработки результатов измерений
1. После проведения измерений и получения значения измеряемой величины Х1, Х2, Х3, …, Xi, приступают к математической обработке результатов измерений.
В качестве наиболее вероятного значения измеряемой величины (если неизвестно Х0) обычно принимают среднее арифметическое 
. (5)
9
2. Определяют абсолютную ошибку. Абсолютной ошибкой отдельного определения является разность между средним арифметическим
и каждым отдельным результатом измерений
. |
(6) |
3. Определяют относительную ошибку среднего или истинного значения как
(7а) |
или |
(7б) |
4. При выполнении большого числа измерений (n > 5), когда результаты подчиняются закону статистического распределения, определяют среднюю квадратичную ошибку (стандартное отклонение)
; |
(8) |
относительную среднюю квадратичную ошибку
|
|
|
|
|
(9) |
и |
среднюю |
квадратичную |
ошибку |
среднего |
арифметического |
(10)
5. Определяют доверительный интервал
(11)
Пример. Математическая обработка результатов измерений длины коробки спичек
Проведено измерение длины 10 коробок спичек, т.е. число измерений равно n=10.
1) Рассчитываем среднее значение по всем измерениям по формуле (5)
;
2)Абсолютную ошибку считаем, используя формулу (6):
;
3)Рассчитываем относительную ошибку среднего по выражению (7б);
4)По выражениям (8)-(10) рассчитываем среднюю квадратичную ошибку, относительную среднюю квадратичную ошибку, среднюю квадратичную ошибку среднего арифметического;
5)Для оценки доверительного интервала определяем значение критерия Стьюдента по табл. 2 для величины доверительной вероятности P=95 % и соответствующего числа измерений.
6)Результаты расчетов заносим в таблицу (табл. 3).
10
|
|
|
|
|
|
|
Таблица 3 |
|
|
|
Результаты измерений длины коробки, L,см |
|
|||||
|
|
|
Относит |
Среднек |
Относите |
Средняя |
|
|
|
|
|
льная |
квадратична |
Доверительны |
|||
|
|
Абсолютная |
ельная |
вадрати |
||||
|
|
средняя |
я ошибка |
й интервал, |
||||
№ |
Li, см |
ошибка, Li,с |
ошибка, |
чная |
||||
квадратич |
среднего |
(P=95%) |
||||||
|
|
м |
|
ошибка, |
||||
|
|
|
ная |
арифметиче |
t10=2,262 |
|||
|
|
|
|
S |
||||
|
|
|
|
ошибка,δS |
ского, |
|
||
|
|
|
|
|
|
|||
1 |
5,0 |
0,12 |
0,0234 |
|
|
|
|
|
|
|
|
|
|
|
|
|
|
2 |
5,2 |
0,08 |
0,0156 |
|
|
|
|
|
|
|
|
|
|
|
|
|
|
3 |
5,0 |
0,12 |
0,0234 |
|
|
|
|
|
|
|
|
|
|
|
|
|
|
4 |
5,3 |
0,18 |
0,0351 |
|
|
|
|
|
|
|
|
|
|
|
|
|
|
5 |
5,2 |
0,08 |
0,0156 |
|
|
|
|
|
|
|
|
|
|
|
|
|
|
6 |
5,1 |
0,02 |
0,0039 |
0,0489 |
0,0096 |
0,0154 |
5,12±0,035 |
|
7 |
4,9 |
0,22 |
0,0429 |
|
|
|
|
|
|
|
|
|
|
|
|
|
|
8 |
5,0 |
0,12 |
0,0234 |
|
|
|
|
|
9 |
5,4 |
0,28 |
0,0546 |
|
|
|
|
|
|
|
|
|
|
|
|
|
|
10 |
5,1 |
0,02 |
0,0039 |
|
|
|
|
|
|
|
|
|
|
|
|
|
|
Среднее значение, , см |
5,12 |
|
|
|
|
|||
Вывод: в результате определения длины предмета методом прямого измерения и математической обработки получено значение 5,12±0,035 см. Доверительный интервал определен для величины доверительной вероятности 95 % и критерия Стьюдента t=2,262.
Индивидуальные задания
Вариант 1. Проведите экспериментальное определение числа символов в строке учебника с выборкой результатов n=10 и выполните статистическую обработку результатов для данной выборки. Сформулируйте вывод и оформите конспект.
Вариант 2. Проведите экспериментальное определение времени, затрачиваемого на написание слова, с числом повторений n=8 и выполните статистическую обработку результатов для данной выборки. Сформулируйте вывод и оформите конспект.
Вариант 3. Проведите экспериментальное определение массы предмета (пробирки, ручки, телефона и проч.) с числом повторений n=9. Выполните статистическую обработку результатов для данной выборки, сформулируйте вывод и оформите конспект.
Вариант 4. Проведите экспериментальное определение длины предмета (ручки, телефона, тетради и проч.) с числом повторений n=7. Выполните статистическую обработку результатов для данной выборки, сформулируйте вывод и оформите конспект.
Вариант 5. Пользуясь актуальной (согласно дате занятия) сводкой о курсе валют «доллар/рубль», проведите статистическую обработку результатов