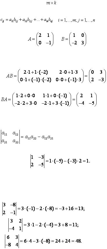
Произведением матриц АВ называется матрица
C |
|
cij |
|
размера |
, у которой |
|
|
|
|
|
, |
Пусть,
Тогда
,
.
Определителем матрицы 2-го порядка называется число
.
Например,
Найдем определители 
Определителем матрицы 3-го порядка называется число
8
например,
1.2 ИНДИВИДУАЛЬНЫЕ ЗАДАНИЯ
Вариант 2.
Вариант 3.
Задача 1.
Для матриц А и B вычислить
a)2A 4B
b)A (B A)
c)A2 B A A
|
|
3 |
0 |
4 |
|
|
Вариант 0. |
|
2 |
2 |
|
|
, |
A |
3 |
|||||
|
|
1 |
1 |
2 |
|
|
|
|
|
|
|||
|
|
1 |
0 |
1 |
|
|
Вариант 1. |
|
2 |
1 |
2 |
|
, |
A |
|
|||||
|
|
1 |
1 |
2 |
|
|
|
|
|
|
|||
|
4 |
1 |
|
2 |
|
|
1 |
|
|
|
|
|
|
|
|
|
|
A |
2 |
0 2 |
|
, |
B 1 |
|||
|
3 |
1 |
|
2 |
|
|
|
|
|
|
|
|
1 |
||||
|
0 |
1 |
2 |
|
|
|
|
1 |
|
|
|
|
|
|
|
|
|
A |
3 |
1 |
2 |
|
, |
|
B |
2 |
|
3 |
3 |
2 |
|
|
|
|
3 |
|
|
|
|
|
||||
|
|
|
1 |
|
B |
|
0 |
|
|
|
|
|
|
|
5 |
|
|
|
|
|
|
|
7 |
|
B |
|
5 |
|
|
|
|
|
|
|
0 |
|
|
|
|
0 |
3 |
|
|
2 |
4 . |
|
|
2 |
|
|
|
4 |
|
|
|
3 |
0 |
|
|
2 |
4 . |
|
|
1 |
|
|
|
1 |
|
|
|
1 |
2 |
|
1 |
2 . |
|
3 |
1 |
|
|
||
1 |
3 |
|
1 |
2 |
. |
1 |
4 |
|
|
||
|
3 |
1 |
0 |
|
1 0 |
2 |
||||
Вариант 4. |
|
2 |
1 |
|
, |
|
3 |
1 |
2 |
|
A |
3 |
B |
. |
|||||||
|
|
5 |
1 |
|
|
|
5 |
4 |
1 |
|
|
|
2 |
|
|
|
|||||
|
|
|
|
|
|
|
|
9 |
|
|
|
|
|
4 |
0 2 |
|
|
|
1 |
|
1 2 |
|
|
|
|
|
|
|
|||||||||||||||
Вариант 5. |
A |
|
1 |
1 |
|
|
|
|
|
, |
B |
|
0 |
|
1 |
|
2 |
|
|
|
|
|
|
|
|
|||||||
|
|
|
3 |
|
|
|
. |
|
|
|
|
|
|
|
||||||||||||||||||
|
|
|
|
5 |
1 2 |
|
|
|
|
|
5 |
|
5 |
|
0 |
|
|
|
|
|
|
|
|
|||||||||
|
|
|
|
|
|
|
|
|
|
|
|
|
|
|
|
|
|
|
||||||||||||||
|
|
|
1 |
5 4 |
|
|
5 |
|
1 2 |
|
|
|
|
|
|
|
|
|||||||||||||||
Вариант 6. |
A |
|
2 |
2 |
|
|
4 |
|
, |
B |
|
|
0 |
|
3 |
|
|
|
|
|
|
|
|
|
|
|
|
|
||||
|
|
|
|
|
|
|
1 . |
|
|
|
|
|
|
|
||||||||||||||||||
|
|
|
|
1 |
1 |
|
|
2 |
|
|
|
|
|
2 |
|
3 |
|
|
|
|
|
|
|
|
|
|
|
|
|
|||
|
|
|
|
|
|
|
|
|
|
|
|
1 |
|
|
|
|
|
|
|
|
||||||||||||
|
|
|
|
1 |
0 |
|
|
4 |
|
|
|
|
|
1 |
1 |
2 |
|
|
|
|
|
|
|
|
|
|
|
|
|
|
||
Вариант 7. |
A |
|
2 |
2 |
|
|
3 |
|
, |
|
B |
|
3 |
5 |
2 |
|
|
|
|
|
|
|
|
|
|
|
|
|
|
|||
|
|
|
|
|
|
|
|
|
|
|
|
|
|
|
|
|
|
|
|
|||||||||||||
|
|
|
|
3 |
7 |
2 |
|
|
|
|
|
5 3 |
1 |
|
|
|
|
|
|
|
|
|
|
|
|
|
|
|||||
|
|
|
|
|
|
|
|
|
|
|
|
|
|
|
|
|
|
|
|
|
|
|
||||||||||
|
|
|
3 |
1 |
4 |
|
|
|
|
1 |
|
1 2 |
|
|
|
|
|
|
|
|||||||||||||
Вариант 8. |
A |
|
3 |
2 |
|
|
0 |
|
, |
|
B |
|
|
|
0 |
|
2 |
|
|
|
|
|
|
|
|
|||||||
|
|
|
|
|
4 |
|
|
. |
|
|
|
|
|
|
|
|||||||||||||||||
|
|
|
|
1 |
1 2 |
|
|
|
|
|
|
2 |
|
4 |
|
3 |
|
|
|
|
|
|
|
|
||||||||
|
|
|
|
|
|
|
|
|
|
|
|
|
|
|
|
|
|
|
|
|||||||||||||
|
|
1 |
0 4 |
|
3 1 |
2 |
|
|
|
|
|
|
|
|
|
|||||||||||||||||
Вариант 9. |
|
|
2 |
3 |
1 |
|
, |
|
0 |
6 |
2 |
|
|
|
|
|
|
|
|
|
|
|||||||||||
A |
|
B |
. |
|
|
|
|
|
|
|
|
|
||||||||||||||||||||
|
|
|
1 |
1 5 |
|
|
|
2 3 |
0 |
|
|
|
|
|
|
|
|
|
|
|||||||||||||
|
|
|
|
|
|
|
|
|
|
|
|
|
|
|
|
|||||||||||||||||
|
Задача 2. |
|
|
|
|
|
|
|
|
|
|
|
|
|
|
|
|
|
|
|
|
|
|
|
|
|
||||||
|
Вычислить определители |
|
|
|
|
|
|
|
|
|
|
|
|
|
|
|
|
|
|
|
|
|||||||||||
|
а) второго порядка; |
|
|
|
|
|
|
|
|
|
|
|
|
|
|
|
|
|
|
|
|
|
||||||||||
|
б) третьего порядка |
|
|
|
|
|
|
|
|
|
|
|
|
|
|
|
|
|
|
|
|
|
||||||||||
|
|
|
1 |
3 |
|
|
|
|
|
|
|
|
|
|
|
|
|
|
|
|
|
1 |
2 |
3 |
|
|
|
|||||
|
|
|
|
|
|
|
|
|
|
|
|
|
|
|
|
|
|
|
|
|
|
|||||||||||
|
|
|
|
|
|
|
|
|
|
|
|
|
|
|
|
|
||||||||||||||||
Вариант 0. |
а) |
|
|
|
, |
|
|
|
|
|
|
|
|
|
б) |
|
|
|
3 |
4 |
2 |
. |
||||||||||
|
|
|
4 |
7 |
|
|
|
|
|
|
|
|
|
|
|
|
|
|
|
|
|
2 |
3 |
1 |
|
|
|
|||||
|
|
|
|
|
|
|
|
|
|
|
|
|
|
|
|
|
|
|
|
|
|
|
|
|
|
|||||||
|
|
2 |
3 |
|
|
|
|
|
|
|
|
|
|
|
|
|
|
|
|
|
1 |
4 |
2 |
|
|
|
|
|||||
|
|
|
|
|
|
|
|
|
|
|
|
|
|
|
|
|
|
|
|
|||||||||||||
|
|
|
|
|
|
|
|
|
|
|
|
|
|
|
|
|
|
|
||||||||||||||
Вариант 1. |
а) |
, |
|
|
|
|
|
|
|
|
|
б) |
|
|
|
|
3 |
1 |
5 |
|
. |
|||||||||||
1 |
4 |
|
|
|
|
|
|
|
|
|
|
|
|
|
|
|||||||||||||||||
|
|
|
|
|
|
|
|
|
|
|
|
|
|
|
|
|
|
|
|
|
|
2 |
3 |
3 |
|
|
|
|
|
|||
|
|
|
|
|
|
|
|
|
|
|
|
|
|
|
|
|
|
|
|
|
|
|
|
|
||||||||
|
|
|
5 |
2 |
|
|
|
|
|
|
|
|
|
|
|
|
|
|
|
|
|
|
2 |
3 |
3 |
|
|
|||||
|
|
|
|
|
|
|
|
|
|
|
|
|
|
|
|
|
|
|
|
|
|
|||||||||||
|
|
|
|
|
|
|
|
|
|
|
|
|
|
|
|
|
|
|
|
|
||||||||||||
Вариант 2. |
а) |
|
|
, |
|
|
|
|
|
|
|
|
|
б) |
|
|
3 |
4 |
2 |
|
. |
|||||||||||
|
3 |
3 |
|
|
|
|
|
|
|
|
|
|
|
|
|
|||||||||||||||||
|
|
|
|
|
|
|
|
|
|
|
|
|
|
|
|
|
10 |
|
|
|
|
|
|
1 |
2 |
2 |
|
|
||||
|
|
|
|
|
|
|
|
|
|
|
|
|
|
|
|
|
|
|
|
|
|
|
||||||||||
|
|
|
|
|
|
|
|
|
|
|
|
|
|
|
|
|
|
|
|
|
|
|
|
|
|
|
|
|
|
|
||
Вариант 3. а) |
|
5 |
3 |
|
, |
|
|
||||
|
|
7 |
2 |
|
|
|
|
|
|
|
|
Вариант 4. а) |
|
2 |
3 |
|
, |
|
|
||||
|
6 |
1 |
|
Вариант 5. а) |
|
6 |
|
, |
2 |
|
|||
4 |
3 |
|
||
|
|
|
|
|
Вариант 6. а) |
|
8 |
|
, |
5 |
|
|||
2 |
3 |
|
Вариант 7. а) |
|
3 |
|
, |
8 |
|
|||
4 |
2 |
|
||
|
|
|
|
|
Вариант 9. а) |
|
4 |
|
, |
|||
6 |
|
||||||
3 |
2 |
|
|||||
Вариант 9. а) |
|
5 |
6 |
|
, |
|
|
|
|
|
|
||||
|
2 |
3 |
|
|
|
||
|
|
|
|
|
|
|
|
|
|
|
|
2 |
2 |
|
|
|
|
|
|
||
|
|
3 |
|
||||||||||
б) |
4 |
3 |
2 |
|
|
. |
|||||||
|
|
1 |
4 |
3 |
|
|
|
|
|
|
|||
|
|
|
|
2 |
3 |
|
|
|
|||||
|
|
|
3 |
|
|
||||||||
б) |
|
1 |
2 |
3 |
|
|
. |
||||||
|
|
|
2 |
1 |
1 |
|
|
|
|||||
|
|
|
|
2 |
3 |
|
|
|
|
|
|
|
|
|
|
|
2 |
|
|
|
|
|
|
|
|||
б) |
|
2 |
1 |
3 |
. |
||||||||
|
|
|
1 |
2 |
4 |
|
|
|
|
|
|
|
|
|
|
|
|
2 |
1 |
|
|
|
|||||
|
|
|
2 |
|
|
||||||||
б) |
|
1 |
1 |
2 |
|
|
|
. |
|||||
|
|
|
3 |
2 |
2 |
|
|
|
|||||
|
|
|
3 |
2 |
|
|
|
|
|||||
|
|
|
2 |
|
|
|
|
||||||
б) |
|
3 |
2 |
2 |
|
. |
|||||||
|
|
|
1 |
3 |
2 |
|
|
||||||
|
|
|
3 |
2 |
|
|
|||||||
|
|
|
2 |
|
|||||||||
б) |
|
3 |
1 |
2 |
|
. |
|||||||
|
|
|
1 |
2 |
1 |
|
|
||||||
|
|
3 |
2 |
3 |
|
|
|
|
|
|
|
|
|
|
|
|
|
|
|
|
|
|
|
||||
б) |
|
1 |
3 |
2 |
. |
||||||||
|
|
2 |
1 |
1 |
|
|
|
|
|
|
|
|
|
|
|
|
|
|
|
|
|
|
|
|
|
|
|
2.СИСТЕМЫ ЛИНЕЙНЫХ УРАВНЕНИЙ
2.1ПРАКТИЧЕСКАЯ ЧАСТЬ
Пример 1. Решить систему трех уравнений с тремя неизвестными:
11
x |
10x 7x |
10; |
||
1 |
|
2 |
3 |
|
10x1 9x2 |
10x3 17; |
|||
8x |
17x |
x |
8. |
|
|
1 |
2 |
3 |
|
Найдем решение:
а) методом Гаусса последовательных исключений неизвестных; б) по формуле x A 1b с вычислением обратной матрицы A 1 ; в) по формулам Крамера.
Решение. а) Начнем с метода Гаусса последовательных исключений неизвестных. Сначала нужно преобразовать систему уравнений так, чтобы переменная x1 осталась только в одном уравнении системы, например, в первом. Затем уравнение, в которое входит x1 , отбрасывают, и рассматривают систему из оставшихся уравнений, в котором число уравнений и число неизвестных уменьшилось. Эту редуцированную систему преобразуют так, чтобы переменная x2 осталась только в одном уравнении. Затем уравнение, в которое входит x2 , отбрасывают, и вновь рассматривают систему из меньшего числа уравнений. Преобразования с последовательным исключением неизвестных x1 , x2 , x3 и т.д. продолжают до тех пор, пока к каждой неизвестной не будет применена процедура исключения. После этого значения x1 , x2 , x3 ,… определяют сначала из последнего уравнения, затем из предпоследнего и т.д., вплоть до первого уравнения.
Итак, возьмем первое уравнение системы и с его помощью исключим переменную x1 из второго и третьего уравнений. Для этого первое уравнение перепишем без изменений, а второе и третье уравнения сложим с подходящими коэффициентами с первым уравнений системы. Сначала умножим первое уравнение системы на 10, второе на 1, а затем сложим полученные уравнения. Получим
|
|
|
|
|
|
|
|
|
|
x1 |
10x2 7x3 |
10 |
|
|
10x1 100x2 70x3 |
100 |
|
|
|
|||||||
|
10 |
|
||||||
|
|
9x2 10x3 |
17 |
1 |
10x1 |
9x2 10x3 |
17 |
|
10x1 |
|
|||||||
|
|
|
|
|||||
|
|
|
|
|
|
|
91x2 80x3 |
83 |
|
|
|
|
|
|
|
||
Аналогично, умножим первое уравнение системы на 8, второе на 1, а затем сложим.
12