Материал: 3863

Внимание! Если размещение файла нарушает Ваши авторские права, то обязательно сообщите нам

21

где Зп – ежегодные затраты на содержание надземного пешеходного перехода, принимаем в размере 2 % от его стоимости Кн.

2. Годовой экономический эффект от строительства надземного пешеходного перехода

Эг Эс Ен (Кн К р ) ,

где Ен – нормативный коэффициент эффективности капитальных вложе-

ний (Ен = 0,12).

3. Срок окупаемости капитальных затрат

Ток Кн K p .

Эс

Вывод. Строительство надземного пешеходного перехода экономически целесообразно при условии, что рассчитанный срок окупаемости дополнительных капитальных вложений (Кн–Кр) не превышает нормативного.

Кейс-ситуация. Рассчитать экономическую целесообразность замены подвижного состава микроавтобусов Газ 322131на ПАЗ 3205.

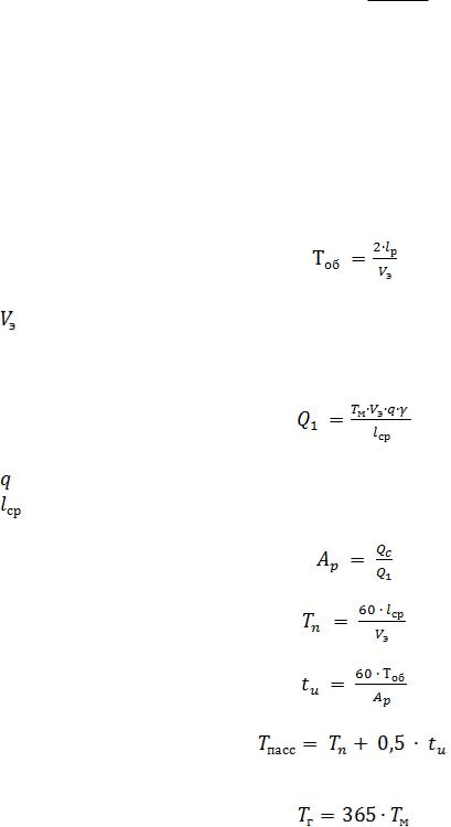
Порядок выполнения работы. 1) Определяем основные показатели по формулам 1-10. Время оборота автобуса находится по формуле 1.

Где: – длина рейса, км,

– эксплуатационная скорость движения, км/ч Определяем среднее количество пассажиров (формула 2), перевозимых за сутки

одним автобусом при коэффициенте наполнения для автобуса ПАЗ 3205 и 0,8 для микроавтобуса Газ 322131:

Где: – время работы автобусов на маршруте,

вместимость автобусов, чел.,

средняя дальность поездки пассажира на маршруте, км

Потребное количество автобусов определяется по формуле.

Время перемещения пассажиров по маршруту определяется по формуле.

Интервал движения автобусов:

Суммарное время, затрачиваемое пассажирами на поездку (формула 6):

Годовой фонд рабочего времени рассчитывается по формуле.

22

Годовой суммарный пробег автобусов определяется по формуле .

Списочное количество автобусов находится по формуле .

Автомобиле – часы за год (формула ):

2) Определяем расходы, связанные с эксплуатацией подвижного состава

1 Затраты на покупку подвижного состава определяются по формуле

2 Заработная плата водителей определяется по тарифным ставкам (формула :

Для Газ 322132: = 69 р. Для ПАЗ 3205: = 77 р.

3 Расходы, затрачиваемые на топливо. Нормативный расход топлива (формула :

где:HS – базовая норма расхода топлива на пробег автобуса, л/100 км;

D – нормативный коэффициент к норме расхода,%; принимается D=10%; S – пробег автобуса, км.

Базовая норма расхода топлива для транспортных средств используемых на маршрутах: марки Газ 322131 составляет 16 л /100 км, а автобусов марки ПАЗ 3205 составляет 20,5 л /100 км бензина соответственно, так как подвижной состав работает в условиях города, то норма расхода топлива увеличивается на

10%.

Для Газ 322131:

Для ПАЗ 3205:

Нормативный расход топлива (л) на 1км:

Расходы, затрачиваемые на топливо за 1 км пробега определим, произведением количества затрат бензина на 1 км , на стоимость 1 литра топлива, руб.

4 Затраты на смазочные и прочие эксплуатационные материалы Затраты на смазочные и прочие эксплуатационные материалы составляют 10% от стоимости топлива, руб.:

5 Затраты на восстановление и ремонт шин Затраты на восстановление и ремонт шин рассчитываются по формуле .

Где: - стоимость одного комплекта шин;

-количество колес на одном автомобиле(без учета запасных);

-норма затрат на восстановление износа и ремонта шин в % от стоимости комплекта шин на 1000 км пробега (для большинства автомобилей составляет

0,89%);

23

6 Расходы на ТО и ТР (формула )

Расходы на 1 км пробега по амортизации на восстановление подвижного состава определяется по формуле 17.

где:Hвост – норма отчислений на восстановление автобусов на 1000км пробега в процентах от балансовой стоимости автобуса:

Ца – балансовая стоимость автобуса, руб.

Сумма переменных расходов, . (Формула):

Величина переменных годовых расходов, тыс. руб. (формула):

Постоянные затраты складываются из заработной платы водителей, амортизационных отчислений и накладных расходов (формула):

Стоимость годовых затрат времени пассажиров при стоимости одного пасс-ч в размере 25 руб. определяется по формуле

Количество ДТП из расчета 2 ДТП на 1 млн. авт. км (формула).:

Потери от ДТП при средней величине удельных потерь от одного ДТП

3) Определяем суммарные эксплуатационные затраты Суммарные эксплуатационные затраты (тыс. руб.) находятся по формуле.

Инвестиции в производственную базу принимаются в размере 30% от стоимости подвижного состава.

Тогда суммарные капитальные затраты составят:

Для Газ 322131:

Для ПАЗ 3205:

Приведенные затраты (формула):

24

4) Определяем годовую экономию приведенных затрат.

Годовая экономия приведенных затрат при эксплуатации автобусов ПАЗ 3205:

Произведенные расчеты отображены в таблице 6:

Таблица 6 – Показатели экономической целесообразности замены микроавтобуса Газ 322132 на автобус ПАЗ 3205

 

Значения показателей для автобу-

Показатели

 

сов

п/п

 

 

Газ 322131

 

ПАЗ 3205

 

 

 

1

Количество пассажиров перевозимых за сутки, чел.

 

 

 

2

Вместимость автобусов, чел.

 

 

 

3

Время работы автобусов на маршруте, ч

 

 

 

4

Средняя дальность поездки пассажиров на маршруте, км.

 

 

 

5

Эксплуатационная скорость, км/ч.

 

 

 

6

Длина рейса, км

 

 

 

7

Цена автобуса, тыс.руб.

 

 

 

8

Время оборота автобуса, ч

 

 

 

9

Количество автобусов на маршруте

 

 

 

10

Среднее количество пассажиров, перевозимых за сутки

 

 

 

одним автобусом, чел

 

 

 

 

 

 

 

11

Время перемещения пассажиров по маршруту, мин

 

 

 

12

Интервал движения автобусов, мин

 

 

 

13

Суммарное время, затрачиваемое пассажирами на поезд-

 

 

 

ку, мин

 

 

 

 

 

 

 

14

Годовой фонд рабочего времени, час

 

 

 

15

Величина переменных расходов, руб/км

 

 

 

16

Годовая величина постоянных расходов с учетом зара-

 

 

 

ботной платы водителей, тыс. р.

 

 

 

 

 

 

 

17

Годовой суммарный пробег автобусов, км

 

 

 

18

Переменные расходы за год, тыс. руб.

 

 

 

19

Количество дорожно-транспортных происшествий

 

 

 

20

Потери от ДТП, тыс.руб.

 

 

 

21

Суммарные эксплуатационные затраты, тыс. руб.

 

 

 

22

Списочное количество автобусов

 

 

 

23

Инвестиции в подвижной состав, тыс. руб.

 

 

 

24

Инвестиции в производственную базу, тыс. руб.

 

 

 

25

Приведенные затраты, тыс.руб.

 

 

 

26

Годовая экономия приведенных затрат, тыс. руб.

 

 

 

На основании произведенных расчетов можно сделать вывод, что использование подвижного состава средней вместимости оптимально скажется на улучшении качества обслуживания пассажиров перевозками, в отличие от подвижного состава малой вместимости. Значительно снижается потребное количество автобусов, водителей, а так же затраты на заработную плату водителей, затраты на топливо, ремонт и эксплуатацию подвижного состава.

Следует отметить, что снижается общая интенсивность движения в городе, увеличивается пропускная способность, время сообщения и уменьшаются задержки.

3. Рекомендуемая литература по изучению темы дисциплины из спи-

ска: 1, 2, 3.

25

4.Форма контроля практической работы №5 – проверка заданий прак-

тической работы, кейс-ситуации.

5.Форма контроля раздела II – контрольная работа №2