Сравнение результатов расчета показывает, что вариант с сечением О лучше, передача оказывается компактней из-за меньшего количества ремней, силы предварительного натяжения и действующей на валы меньше остальных вариантов [4].
|
|
(2.14) |
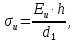
где
– напряжение растяжения;
|
|
(2.15) |
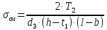
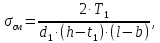
где


–
напряжение изгиба;
|
|
(2.16) |
где
= 80…100 Н/мм2 – модуль упругости;



|
|
(2.17) |
где


Тогда

Следовательно условие
выполняется.
Силы, действующие в зацеплении в закрытой червячной передаче [3].
Окружная на колесе и осевая на червяке
|
|
|
Окружная на червяке и осевая на колесе:
|
|
|
Радиальная сила на червяке и колесе
|
|
(3.1) |
Консольная сила от ременной передачи действующая на быстроходный вал
|
|
|
Консольная сила от ременной передачи
перпендикулярно оси вала и в соответствии
с положением передачи может быть
направлена вертикально, горизонтально
или по углом. Если проектным заданием
предусмотрено наколенное положение
передачи, т.е.
то силу
нужно разложить на вертикальную
и горизонтальную
составляющие. Тогда
|
|
(3.2) |

|
|
(3.3) |

Консольная сила от муфты действующая на тихоходный вал
|
|
(3.4) |

Обод:
Диаметр наибольший [3]
|
|
|
Диаметр внутренний
|
|
(4.1) |

Так как скорость скольжения в зацеплении
колесо выполняют по типу цилиндрического
зубчатого колеса, т.е. отверстия под
болтовое соединение не выполняется.
Толщина для цельно литого колеса из чугуна.
|
|
(4.2) |

Ширина
|
|
|
Ступица
Диаметр внутренний
|
|
|
Диаметр наружный для чугуна
|
|
(4.3) |

Толщина
|
|
(4.4) |

Длина
|
|
(4.5) |

Диск
Толщина
|
|
(4.6) |

По стандартному ряду принимаем 10 мм.
Радиус закруглений и уклон
|
|
|
В проектируемом редукторе для соединения валов с деталями, передающими вращающий момент, применяются шпоночные соединения. Используем шпонки призматические со скругленными торцами по ГОСТ 23360-78. Длина шпонки принимается на 5…10 мм меньше длины ступицы насаживаемой детали. Посадка для червячного колеса Н7/r6 [3].
Материал шпонок – сталь 45 нормализованная.
Материал шкива – чугун, допускаемое
напряжение смятия [
]
= 50 МПа.
Для

Напряжение смятия и условие прочности для быстроходного вала
|
|
(4.7) |
где h =5 мм. – высота шпонки;
t1 =3 мм. – глубина паза;
l =20 мм. – рабочая длина шпонки;
b =5 мм. – ширина шпонки.

Тихоходный вал.
Для
вала выбираем шпонку 10
8
36,
т.к.
,
глубина паза шпонки
.
|
|
(4.8) |

Для
,
выбираем шпонку 14
9
50,
глубина паза шпонки
Материал ступицы – чугун, допускаемое
напряжение смятия [σ]см = 50 МПа.
|
|
(4.9) |