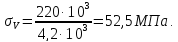
Рассмотрим сечение, проходящее под опорой А. Концентрация напряжений обусловлена подшипником, посаженным с гарантированным натягом. Материал вала сталь 45, улучшенная: В = 780 МПа [2].
Пределы выносливости:
при изгибе
|
|
(5.1) |

при кручении
|
|
(5.2) |

Суммарный изгибающий момент
|
|
(5.3) |

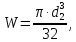
Осевой момент сопротивления
|
|
(5.4) |
где d2 – диаметр вала под уплотнением.

Полярный момент сопротивления
|
|
(5.5) |

Амплитуда нормальных напряжений
|
|
(5.6) |

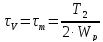
Амплитуда и среднее напряжение цикла касательных напряжений [2]
|
|
(5.7) |

Коэффициенты:


Коэффициент запаса прочности по нормальным напряжениям
|
|
(5.8) |

Коэффициент запаса прочности по касательным напряжениям
|
|
(5.9) |

Общий коэффициент запаса прочности
|
|
(5.10) |

Условие
выполняется,
следовательно принимаем ранее рассчитанные
параметры окончательными.
Рассмотрим сечение, проходящее под опорой С. Концентрация напряжений обусловлена подшипником, посаженным с гарантированным натягом. [2]. Материал вала сталь 45, улучшенная: В = 780 МПа.
Пределы выносливости:
при изгибе
|
|
(5.11) |

при кручении
|
|
(5.12) |

Суммарный изгибающий момент
|
|
(5.13) |

Осевой момент сопротивления
|
|
(5.14) |
где d2 – диаметр вала под уплотнением.

Полярный момент сопротивления
|
|
(5.15) |

Амплитуда нормальных напряжений
|
|
(5.16) |

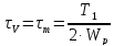
Амплитуда и среднее напряжение цикла касательных напряжений [2]
|
|
(5.17) |

Коэффициенты:


Коэффициент запаса прочности по нормальным напряжениям
|
|
(5.18) |

Коэффициент запаса прочности по касательным напряжениям
|
|
(5.19) |

Общий коэффициент запаса прочности
|
|
(5.20) |

Условие
выполняется,
следовательно принимаем ранее рассчитанные
параметры окончательными.
Дунаев П.Ф., Леликов О.П., Детали машин курсовое проектирование: Учеб. пособие для машинстроит. спец. учреждений среднего профессионального образования. - 5-е изд., доп. - М.: Машиностроение., 2007. - 560 с., ил.
Курсовое проектировании деталей машин. /С.А. Чернавский, К.Н. Боков, И.М. Чернин и др. – М.: Машиностроение, 1988. – 416 с.
Шейнблит А.Е. Курсовое проектирование деталей машин. –М.: Высш. шк., 1991.–432 с.
Учебно – методическое пособие для выполнения курсового проекта по дисциплине «Детали машин» / А.К. Белан, М.В. Харченко, О.А. Белан, Р.Р. Дема. Магнитогорск: Изд-во Магнитогорск. гос. техн. ун-та им. Г.И. Носова, 2017. 99с
Буланов, Э. А. Детали машин. Расчет механических передач. Учебное пособие / Э.А. Буланов. - М.: Юрайт, 2016. - 202 c