Министерство образования и науки Российской Федерации
Федеральное государственное бюджетное образовательное учреждение высшего образования
Магнитогорский государственный технический университет им. Г.И. Носова
Кафедра механики
Вариант 1 задание 10
Выполнил:
Руководитель:
Работа допущена к защите «___»________________2019 г. ______________
(подпись)
Работа защищена «___»________________2019 г. _______________
(оценка, подпись)
Магнитогорск, 2019
1.1.Определение мощности и частоты вращения двигателя 4
1.2.Определение передаточных чисел привода и его ступеней 5
1.3.Выбор материалов червячной передач и определение допускаемых напряжений 6
1.4.Расчет закрытой червячной передачи 8
1.4.1.Подбор основных параметров передачи 8
1.4.2.Геометрические размеры червяка и червячного колеса 9
1.5.Проверочный расчет передачи на контактную прочность 10
1.6.Проверка зубьев колеса по напряжениям изгиба 12
1.7.Тепловой расчет передачи 13
2Расчет ременной передачи 17
2.1. Проверочный расчет на прочность ремня по максимальным напряжениям в сечении ведущей ветви ремня 21
3Нагрузки валов редуктора 23
4Конструирование червячного редуктора 24
4.1Конструирование червячного колеса 24
4.2Расчет шпоночных соединений 25
4.3Определение реакций опор 26
4.4Проверочный расчет подшипников 32
4.5Выбор посадок колец подшипников 36
4.6Выбор крышек подшипников 37
4.7Смазывание и уплотнение 38
4.8Конструкция корпуса 39
5Уточненный расчет валов 40
5.1.Быстроходный вал 40
5.2.Тихоходный вал 42
Список использованных источников 45
Привод электрической лебедки

Исходные данные:
|
Грузоподъемность F, кН |
1,0 |
|
Скорость подъема, м/с |
0,17 |
|
Диаметр барабана D, мм |
200 |
|
Угол наклона ременной
передачи, |
60° |
|
Допускаемое отклонение скорости грузовой цепи δ, % |
5 |
|
Срок службы привода Lг, лет |
7 |
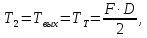
Для выбора электродвигателя вычислим мощность на выходе по формуле [1]
|
|
(1.1) |
где





Определить общий коэффициент полезного действия (КПД) привода по формуле
|
|
(1.2) |
где
0,98, КПД муфты,




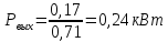
Определим требуемую мощность электродвигателя по формуле
|
|
(1.3) |
|
|
|
Рекомендуемые значения передаточных чисел:
- для червячной передачи
- для открытой ременной передачи
.
Требуемая частота вращения вала электродвигателя определяется по формуле
|
|
(1.4) |


Анализируя полученные значения
передаточных чисел и требуемой мощности
электродвигателя, выбираем двигатель
типа 4ААМ63В6 У3, номинальной мощностью
с синхронной частотой вращения 1000
об/мин и номинальной частотой вращения
=890
об/мин [3].
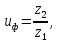
Определим общее передаточное число привода
|
|
(1.5) |

Примем передаточное число редуктора
.Тогда
передаточное число ременной передачи
определится по формуле
|
|
(1.6) |

Определим частоты вращения входного и выходного валов редуктора:
Выходного вала редуктора:
|
|
(1.7) |
Входного вала редуктора:
|
|
(1.8) |

Определим вращающие моменты, нагружающие валы червячного колеса и момент на червяке:
Момент на вале червячного колеса:
|
|
(1.9) |

Момент на червяке:
|
|
(1.10) |

Принимаем, согласно рекомендациям для червяка сталь 45 с закалкой до твердости> HRC45 [1].
Выбор марки стали для червячного колеса зависит от скорости скольжения и выбирается по табличным значениям.
Определим ожидаемую скорость скольжения в зацеплении
|
|
(1.11) |

Так как ожидаемая скорость скольжения
получилась
<2
рекомендуется выбрать чугун СЧ15, способ
отливки – в землю: в
= 320 МПа.
Допускаемое контактное напряжение для 3 группы червячных колес с закалкой до твердости> HRC45 определяется по формуле
|
|
(1.12) |

Срок службы привода определяется по формуле
|
|
(1.13) |
где
;
;

;
.

Из полученного
следует вычесть примерно от 10
25%
часов (в зависимости от характера
производства) на профилактику, текущий
ремонт, нерабочие дни. Принимаем время
простоя машинного агрегата 25%. Тогда

Общее число циклов нагружений
|
|
(1.14) |

Коэффициент долговечности
|
|
(1.15) |

Исходное допускаемое напряжение изгиба для группы 3 венца червячного колеса при реверсивной подаче
|
|
(1.16) |

Межосевое расстояние червячной передачи [1]
|
|
(1.17) |

По стандартному ряду значений принимаем

Примем чисто витков червяка z1=2. Число зубьев колеса [1].
|
|
(1.18) |

Фактическое передаточное число
|
|
(1.19) |

Предварительный значения:
Модуль передачи
|
|
(1.20) |

Принимаем стандартное значение модуля

Коэффициент диаметра червяка
|
|
(1.21) |
