Материал: 298

Внимание! Если размещение файла нарушает Ваши авторские права, то обязательно сообщите нам

В современной дрессировке выделяют две формы научения:

-формирование навыка на основе классического условного рефлекса, т.е. на основе реактивного поведения;

-формирование навыка на основе оперантного (свободного) поведения.

Главное их отличие в том, что при формировании классического условного рефлекса сначала следует стимул, а точнее сказать происходит стимулирование, а уж потом следует реакция, или же говоря проще, происходит ответное действие организма.

Например: Если, мы обучаем собаку команде «Сидеть», то сначала следует команда «Сидеть», затем собаку слегка тянут вверх за поводок, одновременно надавливая на круп, и после того как собака села, ей дают вознаграждение. Собака садится, но

ктому времени, когда хозяин произносит ей команду, «Хорошо», она уже занята другими делами, часто не успевая связать нужное действие с похвалой.

При

формировании

навыка

на

основе

оперантного

поведения

сначала происходит действие,

а уж потом следует

стимулирование, т.е. дача стимула.

 

 

 

Например: Если, мы обучаем собаку той же команде, то во

время внимательного наблюдения

за ней, она

обязательно в

какой - то момент сядет, и после чего сразу же последует условное звуковое подкрепление (щелчок) в следствии которого обязательно последует натуральное подкрепление. По мере выработки уверенного выполнения данного действия, вводится команда «Сидеть».

Здесь есть несколько моментов, которые необходимо учитывать:

1.Невозможно подкрепить то поведение, которое не встречается в обычной жизни, т.е. нет собаки, которая не умела, бы сидеть, лежать или вставать самопроизвольно.

2.Подкрепление, изменяет поведение только тогда, когда подается в правильно выбранный момент, т.е. немедленно после выполнения, а лучше во время его выполнения.

3.Оперантный метод обучения – превращает урок в игру, и животное обучается не только потому, что его заставляют или

16

дают за это пищу, но и за интерес, за удовольствие. Данный метод интересен еще и тем, что применять его можно, как к молодым, так и ко взрослым собакам, и хотя времени на

обучение может понадобиться

чуть больше, но успех все равно

будет достигнут4.

 

 

 

 

 

Метод

кликер-тренинга

был разработан

американским

биологом Карен Прайор, в нем

используется звуковой сигнал

(щелчок)

кликера,

действие

которого

более,

лучше

распознается

слуховыми

анализаторами

животного, чем

голосовые команды подаваемые нами. С помощью данного звукового сигнала (щелчка) удается более точно фиксировать нужные действия животного. Таким образом, звуковой сигнал (щелчок) является, как бы переводчиком с человеческого языка на собачий.

Методика оперантного метода обучения, при которой животному позволяют совершать различные действия, нужные из которых подкрепляют. Эта методика дрессировки может быть основана на любой потребности, выбор которой определяется индивидуальными особенностями животного.

Например: Для одной собаки при отработке навыков можно применять пищевую потребность, для другой эффективнее будет использование игровой потребности и т.д.

Давайте рассмотрим, какое подкрепление более желательно во время дрессировки применительно к служебным собакам. Учитывая то, что если у собаки доминирующая реакция поведения является игровой, то частое использование игрового вида подкрепления, будет приводить к ее сильному перевозбужденному состоянию, что будет препятствовать дальнейшему формированию нужного поведения. Задача каждого дрессировщика, во время дрессировки создать уравновешенное и сбалансированное поведение у животного, с целью дальнейшего его успешного управления.

На начальном этапе дрессировки в подавляющем большинстве, более желательно применение пищевого вида

4 Мак – Фарленд Д. Поведение животных. : Психобиология, этология, и эволюция.

17

подкрепления, которое, будет создавать соответствующий баланс.

Пищевое подкрепление на начальном этапе дрессировки является основным, потому что пищевая реакция – это врожденное поведение. Игровое подкрепление используется в качестве дополняющего комплексного воздействия на животное, учитывая его индивидуальные особенности. Учитывая

эти особенности, пищевое и

игровое подкрепление могут

использоваться как в комплексе, так и раздельно.

 

Эти два

вида подкрепления образуют

ассоциативно

побудительное

воздействие,

которое

основывается

на

способности собак к ассоциативному мышлению и побуждению ее к выполнению нужных дрессировщику действий, в ходе которого собака получает ассоциативный опыт.

Характеристика оперантного метода дрессировки:

- высокая скорость обучения, которая достигается за счет возможности поощрять собаку точно в момент, когда она делает то, что мы от нее хотим, путем использования звукового сигнала, т.е. за счет своевременного информирования;

- высокая заинтересованность собаки в работе, т.е. используя, условное звуковое подкрепление, собака очень быстро понимает – что от нее хотят. А когда, имеет место

полного взаимопонимания, тут и появляется

полная

заинтересованность в совместной работе;

 

-высокая запоминаемость изученных навыков, секрет – прост, собаки легко запоминают и охотнее делают то, до чего додумались сами. Потому что, кликер - дрессировка основана на минимальном воздействии на собаку. Допускается лишь наведение указкой, или лакомством, но идеальный вариант, это полное отсутствие подсказок со стороны человека;

-отсутствие наказания в том виде, как мы привыкли его

понимать. Неправильные и нежелательные действия искореняются, используя отрицательное подкрепление (игнор).

- собака легко учится работать на расстоянии от человека (отработка выдержки и т.д.), это означает, что свой желанный кусок, она однозначно получит, и ей нет нужды гипнотизировать хозяйский карман.

18

Очень часто, у многих дрессировщиков возникает вопрос,

а как быть, если при себе не оказалось кликера

во время работы

со своей собакой.

 

 

Мы начинаем с кликера и лакомства,

что

является

отличным приспособлением, с помощью которых собаку можно научить многому.

И после того, как она научится понимать, какого действия мы от нее хотим, мы можем заменить щелчок – словом, а лакомство – лаской.

Слово и ласка, у нас всегда при себе. Главное, что собака к этому времени уже умеет и охотно выполняет нужное для нас действие, или какой – либо сложный навык.

19

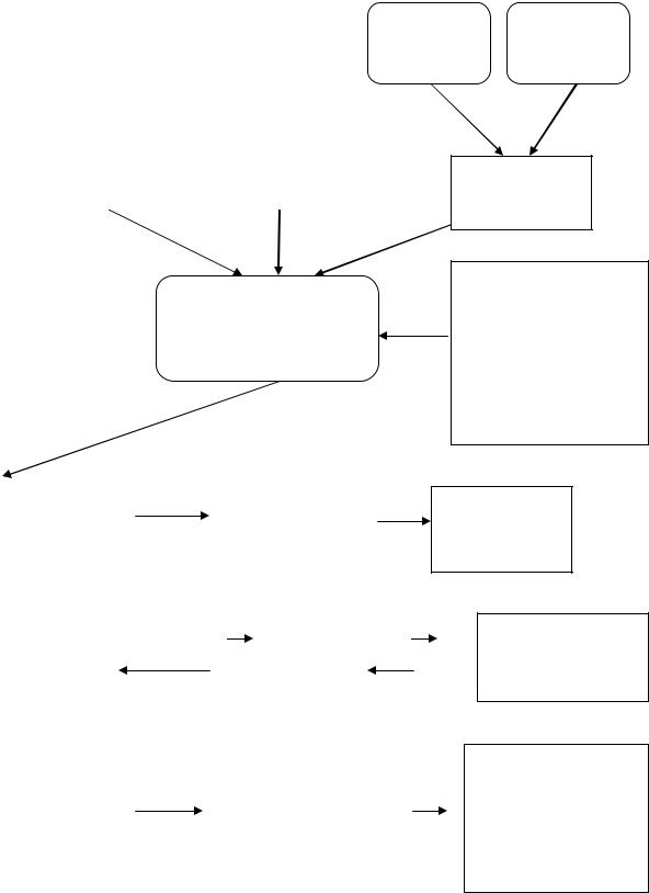
4. Схема кликер-тренинга

Схема 1.

Значение

Звук

сигнала

сигнала

Положительное

 

 

 

Оперантный

подкрепление

 

 

метод научения

 

 

 

 

 

Кликер-тренинг

 

 

Обучение

 

 

новому

 

 

поведению.

 

 

Повышение

Обуславливание

 

 

критериев

сигнала

 

 

 

 

 

 

 

 

 

Вариабельное

 

Включение

подкрепление

 

поведения в

 

 

репертуар

 

 

 

Усложнение,

 

 

включение

 

Совершенствование

отвлечений

 

навыка

 

 

 

 

 

 

Сигнал

Выработка

правильных

иерархических отношений в «стае» человек-собака

Окончание

повышения

критериев

Взятие поведения под стимульный

Переход к очень редкому вариабельному подкреплению

20