ТЕХНОЛОГИИ СТРОИТЕЛЬСТВА
Рис. 4. Средние климатические данные для г. Омска
На территории Омской области выпадает сравнительно небольшое количество атмосферных осадков – 300-400 мм в год, это на 30-50 % меньше, чем в областях европейской части России, расположенных в тех же широтах. Только в самых северных районах Омской области количество осадков достигает 450-500 мм. На юге области выпадает всего 250 мм. Однако больше половины осадков выпадает в летний период, что смягчает недостаток атмосферного увлажнения почвы для выращивания сельскохозяйственных культур. Количество осадков в виде дождей составляет 140-160 мм, большая часть из которых выпадает летом в виде кратковременных ливней, часто сопровождающихся грозами (рис. 4) [1].
Таблица 1 – Средние климатические данные для г. Омска
Месяц |
Средняя температура, (оС) |
Средняя сумма |
Среднее число дней |
||
ночь |
день |
осадков |
с осадками более 0.1 мм |
||
|
|||||
1 |
-21.8 |
-13.1 |
22 |
7 |
|
2 |
-21.3 |
-11.8 |
14 |
5 |
|
3 |
-13.0 |
-3.4 |
14 |
4 |
|
4 |
-1.3 |
8.8 |
21 |
5 |
|
5 |
5.4 |
18.2 |
34 |
6 |
|
6 |
11.5 |
24.0 |
54 |
8 |
|
7 |
13.9 |
25.5 |
59 |
9 |
|
8 |
10.9 |
21.9 |
54 |
9 |
|
9 |
5.6 |
16.4 |
33 |
7 |
|
10 |
-2.0 |
6.1 |
34 |
9 |
|
11 |
-11.2 |
-3.8 |
29 |
8 |
|
12 |
-18.6 |
-10.2 |
22 |
6 |
|
В зимний период территория Омской области надолго одевается снежным покровом, однако осадков выпадает мало, поэтому снежный покров сравнительно небольшой. Так в северных районах его мощность достигает 50-60 см, на большей части области – 30-40 см, а на юге области всего 20 сантиметров.
|
|
Техника и технологии строительства, № 3(7), 2016 |
ttp://ttc.sibadi.org/ |
ТЕХНОЛОГИИ СТРОИТЕЛЬСТВА
Расчет количества осадков и объем отводимой воды Определение интенсивности поступления сточных вод
Как правило, весь объем поступающих сточных вод (qi) формируется за счет следующих факторов:
объема дренажной воды (qd)объема дождевой воды (qr)объема сточных вод (qs)
Общий объем сточных вод (qi), поступающих в канализационную систему в единицу
времени, рассчитывается следующим образом: |
|
qi = qd + qr + qs (л/с) |
(1) |
Дренажная вода (qd)
Как правило, в количественном выражении, объем дренажной воды, который необходимо откачать, незначителен. Если почва рыхлая и дренажная система размещается ниже уровня грунтовых вод, номинальный объем дренажной воды должен определяться на основании гидрогеологических исследований. Существует эмпирическое правило, согласно которому следующие значения можно использовать в случае почвы с нормальными характеристиками (т.е. при отсутствии в непосредственной близости рек или других водных путей, а также болот) и, если уровень поверхности почвы находится выше уровня моря.
Песчаная почва: qd = L x 0,008 (л/с) Глинистая почва: qd = L x 0,003 (л/с)
где L = протяженность дренажного трубопровода.
Протяженность дренажного трубопровода исходя из сметы равна 254 м Тогда для нашей местности с песчаной почвой
qd = 254 x 0,008 = 2,0 (л/с) |
(2) |
Дождевая вода (qr) |
|
Объем дождевой воды рассчитывается следующим образом: |
|
qr = i x φ x A |
(3) |
где i = номинальная интенсивность дождя (л/с/м2); φ – коэффициент стока;
A = площадь водосбора в м2.
Расчет интенсивности выпадения осадков должен основываться на анализе последствий затопления.
Заключение
По благоустройству общие выводы. Малые формы архитектуры и оборудование площадок подбирают на основе комплексного анализа природных, градостроительных, социальных условий и в соответствии с характером общественно-хозяйственной деятельности населения. Малые архитектурные формы по месту использования делятся на две группы: предназначенные к установке на определенных площадках и устанавливаемые за пределами площадок – по территории. Основными критериями при подборе и размещении первой группы является их функциональное назначение, второй группы – гармоническое сочетание с окружающей средой. Особые требования предъявляются к скульптуре, которая должна сочетаться с архитектурным обликом и окружающими зелеными насаждениями.
В зависимости от назначения площадок выявляют наборы оборудования и размещают его в соответствии с их зонированием. Каждая зона должна быть оборудована с учетом природных, микроклиматических и санитарно-гигиенических требований.
Библиографический список
1.Сычева, А.В. Ландшафтная архитектура: учебное пособие для вузов / А.В. Сычева. – 2-е издание, исправленное – М.: ЗАО «Изд-во ДОМ ОНИКС 21век», 2004. – 87 с.
2.Правила благоустройства, озеленения, обеспечения чистоты и порядка на территории городского поселения «Города Шебекино», утвержденные решением городского собрания городского поселения «Города Шебекино» от 21 апреля 2011 года № 6 – [Электронный ресурс]. – Режим доступа: http://gorod.shebekino.ru/documents/18.html (дата обращения 21.04.2014).
|
|
Техника и технологии строительства, № 3(7), 2016 |
ttp://ttc.sibadi.org/ |
ТЕХНОЛОГИИ СТРОИТЕЛЬСТВА
MODEL IMPROVEMENT CELETANO TERRITORY IN CONDITIONS OF OMSK REGION
N.A. Sogbatyan
Abstract. The article deals with contemporary landscaping residential homes. Drainage systems, the main elements of the stormwater, as well as the calculation of the amount of precipitation and the volume of the exhaust water. The present work provides a modern improvement of houses and can serve as a model project for use in the city of Omsk.
Keywords: drainage items drainage, rainfall, landscaping
Согбатян Николай Аствацатурович (Россия, г. Омск) – магистрант группы См-14Д2 ФГБОУ ВО
«СибАДИ» (644031, г. Омск, 18 линия 101, e-mail: Sogbatyan_k@mail/ru).
Sogbanyn Nikolai Astvatsaturovich (Russian Federation, Omsk) – undergraduate, The Siberian State Automobile and Highway Academy (644080, Omsk, Mira Ave., 5, e-mail: Sogbatyan_k@mail/ru).
УДК 625.72
ПОВЫШЕНИЕ КАЧЕСТВА АСФАЛЬТОБЕТОНА МЕТОДОМ МОДИФИЦИРОВАНИЯ СТАБИЛИЗИРУЮЩИМИ ДОБАВКАМИ
ФГБОУ ВО «СибАДИ», Россия, г. Омск
Аннотация. В данной статье приведены результаты исследований физикомеханических свойств щебеночно-мастичного асфальтобетона, модифицированного добавками Evotherm, Азол 1007 и Адгезол 3-тд. Специфика составов и структуры щебеночно-мастичного асфальтобетона предусматривает обязательное присутствие в качестве основных структурных составляющих прочного щебня с улучшенной (кубовидной) формой зерен. Причем, в отличие от асфальтобетонных смесей по ГОСТ 9128-13, содержащих от 50 до 65 % щебня, ЩМАС обладает более высоким его содержанием в пределах 70-80 %. Так же ЩМАС обладают повышенным содержанием битума (от 5,5 до 7,5 % по массе). Чтобы удержать такое количество горячего битума на поверхности щебня, необходимо обязательное присутствие в смеси специальных стабилизирующих добавок типа волокон.
Оригинальная спецификация данного вида асфальтобетона позволяет производить его укладку тонкими слоями, соответственно на 1 м2 поверхности требуется меньшее количество этой высококачественной асфальтобетонной смеси. Поэтому по сравнению с традиционными верхними слоями дорожных покрытий, ЩМА становится рентабельным, хотя и содержит в своем составе более дорогие и качественные материалы. Испытания образцов, заформованных в лабораторных условиях, проводились в соответствии с требованиями ГОСТ 31015-2002.
Ключевые слова: щебеночно-мастичный асфальтобетон (ЩМА), добавки для теплого асфальтобетона, битум, физико-механические характеристики.
Введение
На сегодняшний день обеспечение ресурсосбережения является одной из важных задач повышения эффективности строительства и ремонта автомобильных дорог с асфальтобетонным покрытием.
Известно [1], что только при приготовлении асфальтобетонных смесей расходуется 40-50 % энергии от общего объема энергозатрат на строительство асфальтобетонного покрытия. В связи с этим, актуальным является применение «теплых» смесей, позволяющих снизить температуру приготовления и укладки асфальтобетонной смеси на 40-50° С за счет использования новых технологий или химических энергосберегающих добавок [2].
|
|
Техника и технологии строительства, № 3(7), 2016 |
ttp://ttc.sibadi.org/ |
ТЕХНОЛОГИИ СТРОИТЕЛЬСТВА
Как показывает опыт работы [3], затраты на приобретение соответствующих добавок компенсируются за счет снижения затрат на производство смесей, связанных с уменьшением температуры нагрева каменных материалов, облегчением процессов перевозки, укладки и уплотнения смесей, в уменьшении вредных выбросов, которые влияют не только на окружающую среду, но и на здоровье рабочих. При идеальных условиях (сухие материалы и снижение температуры на 50 °С) экономия может доходить до 30 %. В фактических цифрах она будет составлять в среднем порядка 50 рублей на тонну смеси, в зависимости от вида применяемого топлива.
Следующим преимуществом применения теплых асфальтобетонных смесей становится увеличение производительности АБЗ [3]. При сравнении этого показателя в классическом варианте с тем, в котором температура приготавливаемой смеси на 30° С ниже, прирост производительности АБЗ составляет ориентировочно 9 %.
Еще одним немаловажным качеством становится экологичность технологии. При нагреве битум выделяет летучие органические соединения, которые влияют на окружающую среду и условия работы. При уменьшении температуры приготавливаемой смеси снижается выброс вредных веществ, и соответственно, меньше становятся затраты на экологию.
Для обеспечения расчетных скоростей и безопасности автомобильного движения, особенно на современных скоростных автомагистралях, необходимо иметь высокие эксплуатационные качества верхних слоев дорожных покрытий, при устройстве которых заслуживают особого внимания горячие щебеночно-мастичные асфальтобетонные смеси. Они обеспечивают высокие транспортно-эксплуатационные показатели, особенно на дорогах с тяжелым автомобильным движением [4].
Испытание ЩМА модифицированного добавками
Щебеночно-мастичный асфальтобетон (ЩМА) – это материал, разработанный специально для устройства верхних слоев покрытия на дорогах с высокой интенсивностью движения транспорта 5 . Жесткая скелетная структура из щебня обуславливает прекрасную сопротивляемость слоя пластическим сдвиговым деформациям, а наличие большого количества битумного вяжущего, который заполняет пространство между каменным материалом, делает щебеночно-мастичный асфальтобетон более долговечным материалом [6].
Оригинальная спецификация данного вида асфальтобетона позволяет производить его укладку тонкими слоями. Поэтому по сравнению с традиционными верхними слоями дорожных покрытий, ЩМА становится рентабельным, хотя и содержит в своем составе более дорогие и качественные материалы [7]. При проведении исследований, направленных на измерение влияния энергосберегающих добавок на свойства ЩМА, были использованы следующие материалы:
–отсев дробления гранита Павловского карьера;
–минеральный порошок для асфальтобетонных и органоминеральных смесей ООО «Доломит»;
–щебень гранитный фракции 5 - 10 мм ЗАО «Кировоградгранит»;
–битум марки БНД 60/90 московского НПЗ ОАО «Газпромнефть-МНПЗ»;
–стабилизирующая добавка Viatop-66;
–энергосберегающие добавки Evotherm, Азол 1007, Адгезол 3-тд.
При введении добавки Evotherm ее количество составляло 0,4 % от массы битума, присадки Азол-1007 и Адгезол 3-тд – 1,2 %. Целесообразность применения данных концентраций обоснована в работе [8]. Важно отметить, что все образцы асфальтобетона были приготовлены и заформованы при пониженной температуре:
–температура приготовления асфальтобетонной смеси была снижена на 30 % и составила 120-130° С, в отличии от нормативных значений, равных 155-170° С;
–температура формования лабораторных образцов была снижена на 40 % и составила 100-110° С, в то время как по требованиям ГОСТ 31015-2002 [9] температура укладки должна находится в диапазоне 140-150°С.
Результаты испытаний щебеночно-мастичного асфальтобетона с применением исходного и модифицированного битума энергосберегающими добавками представлены в таблице 1. Изменения физико-механических характеристик демонстрируют графики на рисунках 1-3.
Как видно из таблицы 1, ЩМА на исходном и модифицируемом битуме полностью удовлетворяет нормативным требованиям ГОСТ 31015-2002 [9] по всем показателям. Высокие физико-механические показатели демонстрирует ЩМА на битуме без добавок, приготовленном по традиционной технологии. Одним из важных свойств ЩМА является стекание органического
|
|
Техника и технологии строительства, № 3(7), 2016 |
ttp://ttc.sibadi.org/ |
ТЕХНОЛОГИИ СТРОИТЕЛЬСТВА
вяжущего в смеси, по результатам которого производят подбор состава композитов. Анализ представленных данных показал, что введение исследуемых добавок не оказало отрицательного воздействия на величину данного показателя, несмотря на то, что все добавки способствуют снижению вязкости исходного битума. Кроме того, при использовании модификатора Азол 1007 в составе смеси показатель ее стекания не превысил 0,13 % в то время как значение контрольной смеси составляет 0,14 %.
ЩМА-10 на битуме, модифицированном Evotherm, по сравнению с традиционным ЩМА, демонстрирует минимальную остаточную пористость и водонасыщение, значение которых составили 1,5 и 2,8 % соответственно.
Таблица 1 – Физико-механические показатели ЩМА-10 на исходном и модифицируемом битуме
|
Требования |
На |
С добавкой |
С добавкой |
С |
|
Наименование показателя |
ГОСТ 31015- |
исходном |
добавкой |
|||
Азол-1007 |
Адгезол-3тд |
|||||
|
2002 |
битуме |
Evotherm |
|||
|
|
|
||||
Средняя плотность, г/см3 |
|
2,36 |
2,34 |
2,36 |
2,35 |
|
Пористость минерального |
от 15 до 19 |
17 |
16 |
15 |
15 |
|
остова, % по объему |
||||||
|
|
|
|
|
||
Остаточная пористость, % по |
от 1,5 до 4,5 |
3,9 |
2,1 |
1,6 |
1,5 |
|
объему |
||||||
|
|
|
|
|
||
Водонасыщение, % по объему |
1,0-4,0 |
3,2 |
3,4 |
3,2 |
2,8 |
|
|
|
|
|
|
|
|
Предел прочности при сжатии, |
|
|
|
|
|
|
МПа, при температурах: 20 |
2,2 |
4,2 |
3,8 |
3,4 |
3,0 |
|
50оС |
0,65 |
1,5 |
0,8 |
0,68 |
0,67 |
|
Показатель стекания вяжущего, |
Не более 0,2 |
0,14 |
0,13 |
0,14 |
0,15 |
|
% по массе |
||||||
|
|
|
|
|
||
Сдвигоустойчевость: |
|
|
|
|
|
|
коэф. внутр. трения |
0,93 |
0,94 |
0,97 |
0,95 |
0,94 |
|
сцеп. при сдвиге при 50оС, МПа, |
||||||
0,18 |
0,47 |
0,27 |
0,26 |
0,27 |
||
не менее |
||||||
|
|
|
|
|
||
Трещиностойкость: предел |
|
|
|
|
|
|
прочности на растяжение, при |
2,5-6,0 |
3,8 |
3,6 |
3,4 |
3,0 |
|
расколе, при температуре 0оС, |
||||||
МПа |
|
|
|
|
|
|
Водостойкость при длительном |
0,85 |
0,87 |
0,88 |
0,87 |
0,88 |
|
водонасыщении, не менее |
||||||
|
|
|
|
|
||
|
|
|
|
|
|
|
Сцепление битума с |
|
|
|
|
|
|
минеральной частью |
удовл. |
удовл. |
удовл. |
удовл. |
удовл. |
|
асфальтобетонной смеси |
|
|
|
|
|
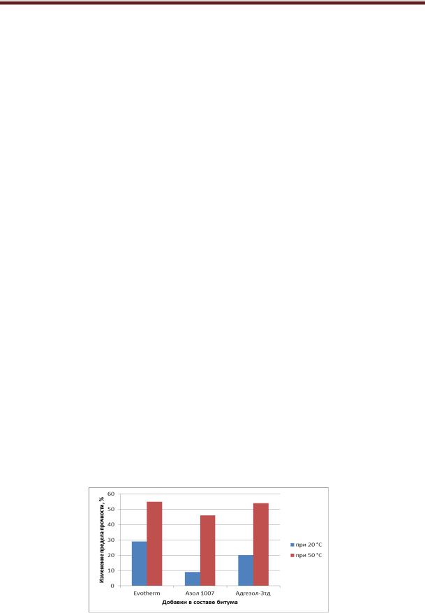
Однако как видно из диаграммы, представленной на рисунке 1, показатели предела прочности при сжатии образцов снизились довольно значительно до значений равных 2,98 и 0,67 МПа соответственно.
Рис. 1. Изменение пределов прочности при сжатии образцов ЩМА-10 на модифицируемом битуме по сравнению с композитом на исходном органическом вяжущем
|
|
Техника и технологии строительства, № 3(7), 2016 |
ttp://ttc.sibadi.org/ |