Материал: 2416

Внимание! Если размещение файла нарушает Ваши авторские права, то обязательно сообщите нам

12.ВОПРОСЫ ИТОГОВОГО КОНТРОЛЯ

12.1.Цепи постоянного тока

1.Изобразите схему электрической цепи, состоящей из источника питания, потребителя и соединительных проводов между ними. Обозначьте элементы схемы и напишите формулу закона Ома для всей цепи.

2.Напишите формулу для закона Ома для участка цепи.

3.В каких единицах измеряются ЭДС, напряжение и ток?

4.Какое соотношение между ЭДС и напряжением на зажимах источника питания?

5.Выведите формулу эквивалентного сопротивления участка цепи, состоящего из n последовательно соединенных сопротивлений.

6.Выведите формулу эквивалентного сопротивления участка цепи, состоящего из n параллельно соединенных сопротивлений.

7.Два сопротивления R1 и R2 соединены параллельно. Напишите формулу эквивалентного сопротивления.

8.Напишите формулу эквивалентного сопротивления участка це-

пи, состоящего из трех сопротивлений R1, R2 и R3, соединенных параллельно.

9.Изобразите схему, состоящую из источника питания с сопро-

тивлением r0 и двух приемников энергии с сопротивлениями R1 и R2, соединенных параллельно. Напишите формулу эквивалентного сопротивления всей цепи.

10.Изобразите схему с несколькими источниками питания и несколькими резисторами. Напишите формулу баланса мощностей для данной цепи.

11.Сформулируйте первый и второй законы Кирхгофа. Для примера изобразите электрические схемы и поясните на них сущность законов.

12.Объясните метод контурных токов.

13.Почему при расчете цепи, содержащей n узлов, можно по первому закону Кирхгофа составить только n–1 независимых уравнений?

14.В цепи несколько источников питания. Некоторые из них работают в режиме генератора, а остальные – в режиме нагрузки. По какому признаку определяется режим работы тех и других источников питания?

320

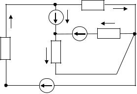
15. Пользуясь законами Кирхгофа или методом контурных токов,

определить токи в ветвях цепи,

если Е1=24 В; Е2=96 В; Е3=48 В;

R2=16 Ом; R3=8 Ом; R4=16 Ом; R5=8 Ом. Внутреннее сопротивление

источников питания равно нулю. Найти мощность источников и при-

емников.

a

 

 

 

 

 

 

 

 

 

 

 

I3

E1

 

I1

R5

I2

I5

b

 

 

 

 

c

R3

 

E2

 

R2

I4

R4

 

 

 

 

 

d

E3

 

 

 

 

 

Ответ: I1=0; I2=I3=I4=I5=3 А; мощности источников и приемников равны по 432 Вт.

16. В каких случаях применяется метод эквивалентного генератора (двухполюсника)? В чем он заключается?

12.2.Однофазные цепи переменного тока

1.Сформулируйте определение понятия действующего и амплитудного значения синусоидального переменного тока.

2.Изобразите временную диаграмму переменного синусоидального тока. Укажите мгновенные и амплитудные значения тока. Запишите формулы для определения мгновенных значений тока, напряжения и ЭДС.

3.Напишите выражение, связывающее действующее и амплитудное значения синусоидального переменного тока.

4.Дайте характеристики основным видам сопротивлений, применяемых в цепях синусоидального переменного тока, покажите их графическое изображение на электрических схемах.

5.Почему включение конденсатора в цепь постоянного тока равносильно разрыву цепи, а включение конденсатора в цепь переменного тока к разрыву цепи не приводит (через емкостный элемент протекает ток)?

6.Напишите выражение мгновенных значений напряжения и тока для цепи переменного тока с активным сопротивлением, изобразите временную и векторную диаграммы напряжения и тока.

321

7.Напишите выражение мгновенных значений напряжения и тока для цепи переменного тока с идеальным индуктивным элементом, изобразите временную и векторную диаграммы напряжения и тока.

8.Напишите выражение мгновенных значений напряжения и тока для цепи переменного тока с емкостным элементом, изобразите временную и векторную диаграммы напряжения и тока.

9.Изложите основные положения комплексного метода расчета электрических цепей синусоидального тока.

10.В какой цепи и при каком условии возникает резонанс напряжений? Изобразите электрическую схему и векторную диаграмму.

11.В какой цепи и при каком условии возникает резонанс токов? Изобразите электрическую схему и векторную диаграмму.

12.Что такое активная, реактивная и полная мощности и в каких единицах они измеряются?

13.В сеть с напряжением U=220 В, частотой 50 Гц включены последовательно катушка с активным сопротивлением R=10 Ом и ин-

дуктивным сопротивлением ХL=30 Ом, а также конденсатор с емкостью 290 мкФ. Определить ток, напряжения на зажимах катушки и конденсатора. Вычислить активную мощность и реактивные мощности катушки, конденсатора и всей цепи.

u(U) R

XL

i(I) XC

Ответ: I≈10,2 А; Uк≈322 В; Uс=112 В; Р=1040 Вт; QL=3120 ВАр; Qс=1144 ВАр; Q=1976 ВАр.

14. Найти токи в ветвях и в неразветвленном участке приведенной схемы при условии, что U=127 В; f=50 Гц; R1=10 Ом; R2=8 Ом; ХL2=6 Ом. Определить напряжение на участках ad и bd, а также полную проводимость и полное сопротивление всей цепи.

 

 

 

 

 

 

 

 

 

 

 

i(I)

 

 

a

 

 

XC2

 

 

R1 i2(I2)

 

 

 

 

 

u(U

 

d

 

 

i1(I1)

 

 

R2

 

 

 

 

 

 

 

 

 

 

 

 

 

 

 

 

 

 

 

 

 

 

 

 

 

 

 

 

 

 

 

 

 

 

 

 

b

 

 

 

 

Ответ: I1=12,7 А; I2=12,7 А;

I≈24 А; Y=0,19 См; Z=5,27 Ом;

Uad=76 В; Ubd=102 В.

322

15.Изобразите электрическую схему и постройте временную и векторную диаграммы для реальной индуктивной катушки. Напишите выражение полного сопротивления для реальной катушки.

16.Изобразите треугольники напряжений, сопротивлений и мощностей и для каждого треугольника напишите уравнения для сторон этих треугольников.

17.Поясните, от чего зависит коэффициент мощности cosφ. Для чего его стремятся повысить?

12.3.Трехфазные цепи переменного тока

1.Дайте определение трехфазной системы синусоидального тока, назовите ее преимущества перед однофазной.

2.Напишите выражение для мгновенных значений ЭДС, получаемых на выходе трехфазного генератора переменного тока (для фазы А начальную фазу ЭДС принять равной нулю).

3.В трехфазную сеть включены три приемника по схеме «звезда»

снейтральным проводом. Изобразите схему с измерительными приборами для измерения линейных и фазных токов и напряжений.

4.В трехфазную сеть включены три приемника по схеме «треугольник». Изобразите схему с измерительными приборами для измерения линейных и фазных токов и напряжений.

5.Дайте определение линейных и фазных напряжений и токов.

6.Назовите условия симметричной нагрузки в трехфазных цепях.

7.Напишите соотношения между фазными и линейными токами и напряжениями для схемы «звезда» в случае симметричной нагрузки.

8.Напишите соотношения между фазными и линейными токами и напряжениями для схемы «треугольник» в случае симметричной нагрузки.

9.Объясните назначение нейтрального провода в схеме соединения «звезда».

10.Изобразите векторную диаграмму напряжений и покажите на ней векторы токов для трехфазной цепи при соединении нагрузки по схеме «звезда», если в фазу А включена активная нагрузка с сопро-

тивлением R, в фазу В – индуктивная нагрузка с сопротивлением XL, а в фазу С – емкостная нагрузка с сопротивлением XС.

11.Изобразите топографическую векторную диаграмму напряжений и покажите на ней векторы токов для трехфазной нагрузки, со-

323

единенной по схеме «треугольник», если в фазу А включено активное сопротивление RА, в фазы В и С – соответственно индуктивные сопротивления XВ и XС.

12.В схеме «звезда» при симметричной нагрузке без нейтрального провода произошел обрыв одного из линейных проводов. Определить токи в двух других линейных проводах, если до обрыва ток линейного провода был равен 8 А.

13.Напишите выражения для активной, реактивной и полной мощностей трехфазной системы в случае симметричной и несимметричной нагрузки.

14.Изобразите схему компенсации реактивной мощности для повышения коэффициента мощности трехфазной системы и объясните процесс компенсации с использованием векторной диаграммы.

15.Определите вид нагрузки и сопротивление фаз симметричного приемника электрической энергии, соединенного по схеме «звез-

да», если линейное напряжение Uл=380 В; ток в линии Iл=4,4 А; показания ваттметров W1 и W2 составляют соответственно Р1=1665 Вт;

Р2=707 Вт.

A *

* W1

A

A

 

 

 

B

 

 

ZA

 

ZC

ZB

 

W2

C

C

B

*

 

 

*

 

 

 

 

 

Ответ: R=41 Ом; ХL=28,7 Ом; φ=35º; активно-индуктивная нагрузка.

12.4.Нелинейные цепи

1.Какие электрические цепи называются нелинейными?

2.Как рассчитать и построить результирующую вольт-амперную характеристику при последовательном соединении нелинейных элементов?

3.Как рассчитать и построить результирующую вольт-амперную характеристику при параллельном соединении нелинейных элементов?

4.Как определить статическое и дифференциальное сопротивление нелинейного элемента?

324