генерация сигналов различной формы и т.д.). ОУ часто выполняют многокаскадными с непосредственными связями. На входе ОУ включается дифференциальный усилительный каскад для уменьшения дрейфа нуля, затем – промежуточные усилительные каскады для получения необходимого усиления и на выходе – повторитель напряжения для уменьшения выходного сопротивления усилителя. Разработка ОУ – сложная задача. До появления микроэлектронных устройств ОУ содержали десятки транзисторов и других дискретных элементов. Сейчас это не затрудняет практического применения ОУ, так как они изготовляются в виде интегральных микросхем.
|
|
|
+Е |
|
Схемное обозначение ОУ приве- |
|
|
|
|
|
дено на рис. 10.39. Выводы имеют |
||
|
|
|
|
|
||
Uвх– |
|
|
|
|
следующее назначение: Uвх+ – неин- |
|
|
– |
|
|
|||
|
|
Uвых |
вертирующий вход; Uвх– – инверти- |
|||
|
|
|
||||
|
|
|
|
|||
|
|
|
|
|
рующий вход; Uвых – выход; +Е – |
|
|
|
+ |
|
|
||
Uвх+ |
|
|
плюс источника питания; –Е – минус |
|||
|
|
–Е |
|
источника питания. |
||
|
|
|
Указанные пять выводов присут- |
|||
Рис. 10.39. Схемное обозначение |
||||||
ствуют в любом ОУ, они необходимы |
||||||
операционного усилителя |
для его функционирования. Часто |
|||||
|
|
|
|
|
||
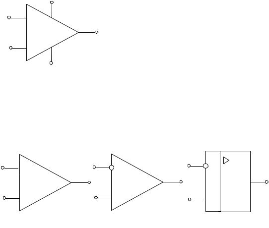
выводы питания на схеме не изображают, чтобы не загромождать её несущественными деталями, при этом способ подключения этих выводов явно не указывается или считается очевидным. Наиболее часто встречающиеся схемные обозначения ОУ показаны на рис. 10.40.
∞
+
а |
б |
в |
Рис. 10.40. Наиболее часто встречающиеся схемные обозначения ОУ
Один из входов, обозначенный знаком «+», называют неинвертирующим (прямым), так как сигнал на выходе и сигнал на этом входе имеют одинаковую полярность. Второй вход, обозначенный знаком «–» (его также обозначают знаком инверсии «o»), называют инвертирующим, так как сигнал на выходе по отношению к сигналу на этом входе имеет противоположную полярность.
260
Основные характеристики ОУ:
–высокий коэффициент усиления по напряжению в режиме холостого хода Коу=104–105;
–большое входное сопротивление Rвх=104–107 Ом;
–малое выходное сопротивление Rвых=10–50 Ом.
Эти свойства обеспечивают возможность каскадного включения ОУ, высокую точность выполнения операций и универсальность применения. Обычно ОУ охватывают отрицательной обратной связью с выхода на инвертирующий вход.
Дифференциальное напряжение на входе ОУ
Uдиф= Uвх+–Uвх–. (10.22)
При синфазном входном сигнале (рис. 10.41, а), когда Uсф=Uвх+=Uвх–, дифференциальное напряжение Uдиф=0. ОУ конструируют так, чтобы они как можно больше изменяли Uвых при изменении
Uдиф и как можно меньше изменяли Uвых при Uдиф=0. Если модуль |Uсф| сравнительно мал, то синфазный сигнал слабо влияет на напряжение
Uвых. Иначе его влияние, как следует из графика (рис. 10.41, б), может быть очень существенным. Если синфазный сигнал оказывается чрез-
мерно большим по модулю, то операционный усилитель может выйти из строя.
|
|
|
|
|
|
|
|
|
|
|
|
Uвых |
|
≈2 В |
|
|
|
|
|
|
|
|
|
|
|
|
|
|
|
|
|
|
|
|
|
|
|
|
|
|
|
|
–Е |
|
Uсф |
||
|
|
|
|
|
|
|
|
|
|
|
|
||||
|
|
|
|
|
|
|
|
|
|
|
|
||||
|
|
|
|
|
|
|
|
|
|
|
|
+Е |
|||
|
|
|
|
|
|
|
|
|
|
0 |
|
||||
|
|
|
|
|
|
|
|
|
|
|
|||||
|
|
|
|
|
|
|
Rн |
|
|
Uвых |
|
|
|
||
|
|
|
|
|
|
|
|
|
|
|
|
|
|||
Uсф |
|
|
|
|
|
|
|
|
|
≈2 В |
|
|
|
||
|
|
|
|
|
|
|
|
|
|
|
|
||||
|
|
|
|
|
|
|
|
|
|
|
|||||
|
|
|
|
|
|
|
|||||||||
|
|
|
|
|
|
|
|
|
|
|
|
||||
|
|
|
|
|
а |
|
|
|
|
|
|
б |
|||
|
|
|
|
|
|
|
|
|
|
|
|||||
|
|
|
|
|
|
|
|
|
|
|
|
|
|
|
|
Рис. 10.41. Схема подключения ОУ к синфазному сигналу (а) и график зависимости выходного напряжения ОУ от синфазного сигнала
Влияние синфазного сигнала при его малых по модулю значениях характеризуют коэффициентом усиления синфазного сигнала Kсф и коэффициентом ослабления синфазного сигнала Kос.сф.
Ксф = |
U |
вых |
, Кос.сф = |
Коу |
. |
(10.23) |
|
|
Ксф |
||||
|
Uсф |
|
|
|||
Коэффициент Коу всегда положителен. Коэффициенты Kсф и Kос.сф могут быть как положительными, так и отрицательными. Коэффици-
261
ент Kсф обычно близок к единице, поэтому модуль коэффициента Kос.сф обычно такого же порядка, что и коэффициент Kоу, т.е. 104–105.
Усилительные свойства ОУ определяются его амплитудными характеристиками по инвертирующему и неинвертирующему входам при разомкнутой цепи нагрузки (рис. 10.42, а).
Uвых |
Е |
Uвых |
|
|
1 2 Е
|
0 |
Uвх.нас |
Uвх |
0 |
Uвх |
2 |
|
||||
|
1 |
|
2 |
1 |
|
|
|
|
|
||
|
|
–Е |
|
|
|
|
|
а |
|
|
б |
Рис. 10.42. Амплитудные характеристики реального (а) и идеального (б) ОУ: 1 – по инвертирующему входу;
2 – по неинвертирующему входу
Для типового значения ЭДС источника питания Е=10 В насыщение транзистора повторителя напряжения выходного каскада про-
изойдет при Uвх ≈ |
Е |
= ±(0,1...1) мВ. Дальнейшее увеличение Uвх не |
|
||
|
Коу |
|
вызывает изменение напряжения на выходе.
Пренебрегая малым значением напряжения насыщения Uвх.нас, введем понятие идеального ОУ, у которого коэффициент усиления напряжения в режиме холостого хода и входное сопротивления име-
ют большие значения, т.е. Коу→∞ и Rвх→∞.
Это равносильно тому, что напряжение и ток на входе идеального ОУ в режиме усиления сигнала равны нулю
U |
вх |
= |
Uвых |
= 0 ; I |
вх |
= |
Uвх |
= 0 , |
(10.24) |
|
К |
|
|
||||||||
|
|
оу |
|
R |
|
|||||
|
|
|
|
|
|
вх |
|
|||
а его амплитудные характеристики по инвертирующему и неинвертирующему входам имеют вид ломаных линий 1 и 2 на рис. 10.42, б. В режиме насыщения идеального ОУ напряжение Uвх ≠ 0 , ток Iвх=0. Ес-
ли ОУ применяется только в режиме усиления сигналов, то на схеме
262
можно не указывать выводы питания (см. рис. 10.40), если же ОУ применяется и в режиме насыщения, то указанные на схеме выводы питания (см. рис. 10.39) поясняют равенство напряжений на выходе ОУ в режиме насыщения и источника питания Е и –Е (см. рис. 10.42).
Большое значение коэффициента усиления по напряжению позволяет использовать глубокую отрицательную обратную связь для создания на основе ОУ устройств различного функционального назначения.
На рис. 10.43 представлена схема неинвертирующего усилителя, в котором используется последовательная отрицательная обратная связь по напряжению.
Rвт
uвх
ec=uc
Rос
Rн uвых
R1

Рис. 10.43. Неинвертирующий усилитель
Коэффициент усиления неинвертирующего усилителя Кни, построенного на ОУ с достаточно большим усилением, практически зависит только от параметров обратной связи
Кни =1+ |
Rос . |
(10.25) |
|
R1 |
|
Это полезное свойство позволяет проектировать системы с очень стабильным коэффициентом передачи, необходимые, например, при измерениях и обработке сигналов.
Фаза выходного сигнала неинвертирующего усилителя совпадает с фазой входного сигнала.
Если Rос=0, то Кни=1, а uвых=uвх, т.е. неинвертирующий усилитель превращается в повторитель напряжения с высоким входным и низким выходным сопротивлениями (рис. 10.44).
263
Rвт
uвх |
|
ec=uc |
|
Rн |
uвых |
R1 |
|
Рис. 10.44. Повторитель напряжения
Схема инвертирующего усилителя представлена на рис. 10.45. В инвертирующем усилителе используется параллельная отрицательная обратная связь по напряжению. Отрицательный характер обратной связи обеспечивается цепью обратной связи с сопротивлением Rос, соединяющей выход усилителя с его инвертирующим входом.
Rос
Rвт R1
uвх
ec=uc
Rн 
uвых
Рис. 10.45. Инвертирующий усилитель
Входной сигнал подается на инвертирующий вход, а неинвертирующий вход подключается к общему проводу. Коэффициент усиления определяется соотношением сопротивлений Rвт, R1 и Rос и находится по формуле
Kинв = − |
|
Rос |
. |
(10.26) |
R1 |
|
|||
|
+ Rвт |
|
||
Фаза выходного сигнала противоположна фазе входного сигнала.
264