Таблица 5 Характеристика прочности и деформативности материалов плиты
|
|
|
|
Расчетные сопротивления, |
|
Модули |
Коэффици- |
||||||
|
Материалы |
|
|
упругости, |
ент |
|
|||||||
|
|
|
|
2 |
|
|
|
|
|||||
|
|
|
|
|
кгс/см |
|
|
|
кгс/см2 |
Пуассона |
|||
|
Фанера клееная |
|
|
|
Вдоль волокон в плоскости листа |
|
|
||||||
|
|
|
|
|
|
|
|
|
|
|
|
||
|
березовая ма- |
|
растяже- |
|
сжа- |
скалыва- |
|
|
|
|
|
||
|
рок Ф Б ФК |
|
н ю |
|
тию |
нию |
|
Eф |
Gф |
µф |
|
||
|
полист |
|
Rф.с |
Rф.ск |
|
|
|
|
|
||||
|
сорт В/ВВ |
Rф.р |
|
|
|
|
|
|
|||||
Столщ ной 5…7 |
|
140 |
|
130 |
|
8 |
|
950 |
750 |
0,07 |
|
||
|
мм |
|
|
|
|
|
0 |
0 |
|
||||
|
|
б |
|
|
|
|
|
||||||
|
Пенопласт |
растяже- |
сжа- |
скалыва- |
|
|
|
|
|
||||
|
роль- |
н ю |
тию |
нию |
|
E |
G |
µ |
|
||||
|
ный |
|
|
Rр |
Rс |
|
Rср |
|
|
|
|
|
|
|
марки ПС – 4 |
|
|
|
|
|
|
|
|
|
|
|
|
|
плотность |
0,8 |
|
0,5 |
0,45 |
|
40 |
40 |
- |
|
|||
|
40 кг/м3 |
А |
|
|
|
|
|||||||
|
|
|
|
|
|
|
|
|
|
|
|||
|
|
|
|
|
|
|
|
|
|||||
|
Подставив значение τ, с учетом Qmax = P/2 получим |
|
|
||||||||||
|
|
|
|
|
|
|
|
|
. |
|
|
|
(10) |
|
|
|
|
|
|
Д |
|
||||||
|
В качестве расчетной длительной несущей способности плиты |
||||||||||||
|
принимается наименьшее из всех найденных значений P. |
|
|
||||||||||
|
При кратковременном |
(лабораторном) нагружении расчетную |
|||||||||||
несущую способность плиты можно считать в 1,5…2 раза больше длительной. Принимаем предельное значение нагрузки в опыте не более
3.Исследуемые параметры и методыИих определения
Рmax ≤ 2Рmin. |
(11) |
Исследуемыми параметрами напряженно-деформированного состояния плиты являются:
-нормальные напряжения в фанерных обшивках при частом изгибе σ;
-касательные напряжения в среднем слое при частом сдвиге τ;
-прогиб плиты посередине пролета f.
31
Теоретический метод определения
Задавшись некоторой величиной испытательной нагрузки P ≤ Pmax и зная соответствующие ей изгибающий момент Мmax и попереч-
ную силу Qmax, теоретическое значение нормального напряжения в |
|
обшивке в средней трети плиты найдем по формуле (4), а касательные |
|
СибАДИ |
|
напряжения в среднем слое в опорном сечении – по формуле (6). |
|
Вел ч ну прог ба f посередине пролета вычисляется по извест- |
|
ной из предыдущ х лабораторных работ формуле с учетом некоторых |
|
особенностей зг ба плит IV, а именно: |
|
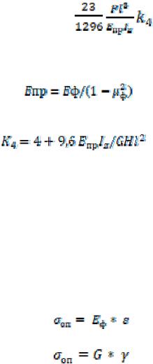
f = |
(12) |
где Eпр – пр веденный модуль упругости обшивок, вычисляе- |
|
мый по формуле |
|
; |
(13) |
k4 – коэффициент, учитывающий влияние деформативности среднего слоя на прогиб, вычисляемый по формуле [1, с.231].
(14)
Поскольку все теоретические величины параметров изменяются пропорционально нагрузке, то для построения графиков функции их от нагрузки достаточно вычислить по одному значению каждого.
Второй точкой всех графиков является ноль в начале координат.
Экспериментальный метод
Экспериментальные напряжения вычисляют, как обычно, по соответствующим деформациям, найденным из опыта с использованием законов Гука:
- для нормальных напряжений:
(15)
- для касательных напряжений:
(16)
где ε и γ – относительные продольная и сдвиговая деформации; Еф и G – модули упругости, принимаемые по табл. 5.
Прогиб в опыте определяют путем прямых замеров. В опыте обнаруживается нелинейная зависимость исследуемых параметров от
32
нагрузки, поэтому для построения графиков необходимо определять их на каждой ступени нагружения.
4. Методика испытания
Плиту испытывают на универсальной испытательной машине УММ-10. Зная величину наибольшей испытательной нагрузки, выбиСибАДИрают подходящую шкалу силоизмерительного устройства машины и устанавл вают соответствующий груз на противовес. Приборы для измерен я деформац й показаны на рисунке 13. Для измерения фибровых деформац й обшивок в средней трети пролета установлены тензометры Тн – н жнее Тв – верхние. Мерный участок – база тен-
зометров Б, мм.
Рис.13. Схема установки приборов
Тензометры составные, деформацию базы измеряют по индикаторам часового типа. Зная цену деления индикатора С, можно найти цену деления самого тензометра ε в относительных единицах по формуле
33
|
. |
(17) |
Измерив приращение отсчетов ∆Т по шкале индикатора и зная |
||
цену деления шкалы ε, вычисляют соответствующие приращение де- |
||
формации |
|
|
С |
. |
(18) |
Индикаторы, установленные в опорных сечениях слева |
Тл и |
|
справа Тп, предназначены для измерения сдвиговых деформаций в среднем слое на участке высотою h мм. Цена деления шкалы индикатора в относ тельных угловых единицах при этом равна
При |
, |
(19) |
а полная деформац я сдвига, соответствующая приращению отсчетов |
||
∆Т, равна |
|
|
б |
(20) |
|
Прог посеред не плиты измеряют прогибомерами в виде ин- |
||
дикаторов часового т па П, установленных на специальной подвеске.
таком креплен |
при оров исключается влияние осадки опор на |
измеряемый прог |
пл ты. |
Нагрузку к пл те прикладывают ступенями по 0,2 Pmax, но кратно делениям шкалы машины. На нулевой ступени, при Р = 0, для контроля дважды снимаются отсчеты по приборам, т.к. в последующем они являются базисными, т.е. на последующих ступенях деформации
будут определяться по отношению к нулевой. |
|
|
|
|
|
|
|
|||||||||||
|
|
|
|
|
|
|
|
Д |
|
|
||||||||
Результаты измерений записывают в ведомость в форме табл. 6, |
||||||||||||||||||
в ней же производятАвычисления приращений отсчетов. |
|
|
Таблица 6 |
|||||||||||||||
|
|
|
|
Ведомость измерений по приборам |
|
|
||||||||||||
|
|
|
|
|
|
|
|
|
|
И |
||||||||
|
|
|
|
|
|
|
|
|
Тензометры |
|
|
|
|
|
|
|
||
№ сту- |
P, |
|
|
|
верхние |
|
|
|
|
нижние |
|
|
|
|||||
пени |
кгс |
Тв1 |
|
|
Тв2 |
|
сред. |
Тн1 |
|
|
Тн2 |
сред. |
|
|||||
|
|
отсч. |
|
∆Т |
отсч. |
∆Т |
∆Тв |
отсч. |
|
∆Т |
отсч. |
∆Т |
∆Тн |
|
||||
|
|
|
|
|
|
|
|
|
|
|
|
|
|
|
|
|
|
|
1 |
2 |
3 |
|
4 |
|
5 |
|
6 |
7 |
8 |
|
9 |
|
10 |
|
11 |
12 |
|
|
|
|
|
|
|
|
|
|
|
|
|
|
|
|||||
№ сту- |
P, |
|
|
Прогибомеры |
|
|
|
Прогибомеры |
|
|
||||||||
Тл |
|
|
Тп |
|
сред. |
П1 |
|
|
П2 |
|
сред. |
|
||||||
пени |
кгс |
|
|
|
|
|
|
|
||||||||||
отсч. |
|
∆Т |
отсч. |
∆Т |
∆Тс |
отсч. |
|
∆Т |
отсч. |
∆Т |
∆Пс |
|
||||||
|
|
|
|
|
||||||||||||||
1 |
2 |
13 |
|
14 |
|
15 |
|
16 |
17 |
18 |
|
19 |
|
20 |
|
21 |
22 |
|
34
Опытные значения исследуемых параметров заносят в табл. 7.
|
|
|
|
|
Результаты испытания плиты |
|
Таблица 7 |
|||||
|
|
|
|
|
|
|
|
|
||||
|
|
Нормальные напряжения в обшив- |
Касательные |
|
|
|
|
|||||
|
P, |
ках, |
|
, кгс/см2 |
|
напряжения в |
Прогиб, мм |
|
||||
|
|
|
|
|
|
сред. слое, |
f = с ∆Пс |
|
||||
|
верхней |
|
|
нижней |
|
|||||||
|
кгс |
|
|
|
|
|
|
|
|
|
||
|
|
СибАДИ |
∆Пс |
|
f |
|
||||||
|
|
∆Тв |
σв |
|
∆Тн |
σн |
∆Тс |
τ |
|
|
||
|
1 |
2 |
3 |
4 |
5 |
6 |
7 |
8 |
|
9 |
|
|
По результатам расчета и испытания строят графики σ(Р); τ(Р)
и f(Р).
5. Выводы по результатам испытания
В заключен е нео ходимо проанализировать и оценить результаты с точки зрен я характера функциональных зависимостей, правомерности расчетных гипотез и совпадения результатов.
|
КОНТРОЛЬНЫЕ ВОПРОСЫ |
1. |
Охарактеризуйте осо енности конструкций трехслойных плит |
|
IV типа и их влияние на напряженно-деформированное состояние |
|
элементов. |
2. |
Сформулируйте цель испытания данной плиты. |
3. |
Что называется несущей способностью плиты и как она определя- |
|
ется? |
4. |
Охарактеризуйте возможные предельные состояния лабораторно- |
|
го образца плиты. |
5. |
Как влияет длительность нагружения на несущую способность |
|
плиты? Дайте обоснование этого факта. |
6. |
В чем состоит упрощение расчетных эпюр нормальных каса- |
|
тельных напряжений? Почему это упрощение допустимо? |
7. |
Как определяют напряжения экспериментально? |
8.Объясните назначение и принцип действия приборов, используемых в опыте: тензометров, прогибомеров.
9.Какие особенности характерны для теоретических и экспериментальных графиков исследуемых параметров?
10.Оцените результаты испытания с позиции цели и задач данной лабораторной работы.
35