Материал: Інтеграл Фур’є

Внимание! Если размещение файла нарушает Ваши авторские права, то обязательно сообщите нам

Лема 3. Якщо неперервна абсолютно інтегрована на всій осі функція  має в кожній точці скінченні односторонні похідні, то


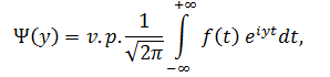
Доведення. Перша формула перетворення, тобто формула , є іншої формою запису уже доведеної формули (41).

Доведемо другу формулу перетворення. Так, як синус функція парна, то у (36) можна переставити місцями  та :


в силу ж непарності синуса з (40) матимемо


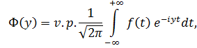
Тому з формули (41) маємо також


або


де внутрішній інтеграл розуміється, як головне значення. Дана формула може бути переписана у наступному вигляді


Зауважимо, що справедливість формул перетворення може бути доведена і при слабших обмеженнях на функцію, чим існування в кожній точці односторонні похідні.

Лема 4. Нехай для функцій  та  існує перетворення Фур’є (відповідно і обернене перетворення Фур’є). Тоді, які б не були числа  та , для функції також існує перетворення Фур’є (відповідно і обернене йому), при чому


(відповідно ).

Дана властивість називається лінійним перетворенням Фур’є (відповідно і оберненого перетворення Фур’є). Воно безпосередньо слідує з лінійності інтегралів формул (43) та (45).

Наслідок.

Дійсно, наприклад,

Втім дана властивість слідує одразу з формул (43) та (45).

Доведення. Достатньо довести лише взаємно однозначність відображень  та , решта доведене вище. Доведемо, наприклад, взаємну однозначність відображення . Нехай ; тоді


Звідси згідно леми 1 слідує, що

Перетворення Фур’є в будь-якому випадку визначено для абсолютно інтегрованих функцій.

Висновки

. В роботі введено означення інтеграла Фур’є, поданий його аналітичний вираз


та доведення, що обґрунтовує їхню правильність. Досліджено умови розкладання функції в інтеграл Фур’є. Виділили умови та ознаки для того, щоб функцію можна було представити у вигляді інтеграла Фур’є.

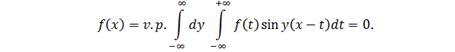
. Розглядаючи різні види формули інтегралу Фур’є, з’ясували, що в тому випадку, коли функція f(x) абсолютно інтегрована на всій числовій осі R і у всіх її точках неперервна та має односторонні похідні, то застосовується формула


. Для парних функцій отримали формулу у вигляді


Якщо функція непарна, то


А формула


називається інтегралом Фур’є в комплексній формі.

4. При дослідженні властивостей прямого  та оберненого перетворення  Фур’є, використавши формули прямого та оберненого перетворення Фур’є відповідно:


з’ясували, що

1.      

2.      

(відповідно ).

3.       Перетворення Фур’є , так як і обернене перетворення Фур’є , є лінійними взаємно однозначними відображеннями множини неперервних абсолютно інтегрованих на всій дійсній осі функцій, які в кожній точці мають односторонні похідні, в множину функцій, для яких інтеграли (43) та (45) існують в розумінні головного значення.

Література

1.     Кудрявцев Л.Д. Курс математического анализа. Учеб. для студентов университетов и вузов. В 3 т. Т. 3. /Л.Д. Кудрявцев // Л.Д. Кудрявцев. - М.: Высш. шк., 1989. - 352 с.

2.       Фихтенгольц Г.М. Курс дифференциального и интегрального исчисления. В 3 т. Т. 3. / Г.М. Фихтенгольц // Г.М. Фихтенгольц. - М.: Физматлит, 2002. - 656 с.

.        Ильин В.А. Основы математического анализа. В 2-х ч. Часть 1. / В.А. Ильин, Э.Г. Позняк. - М.: Физматлит, 2005. - 648 с.

.        Никольський С.М. Курс математического анализа. В 2-х т. Т. 2. / С.М. Никольський. - М.: Наука, 1983. - 448 с.

.        Зорич В.А. Математический анализ. В 2-х ч. Часть 2. / В.А. Зорич. - М.: Наука, 1984. - 640 с.

.        Бермант А.Ф. Краткий курс математического анализа для втузов./ А.Ф. Бермант, И.Г. Араманович. - М.: Наука, 1969. - 736 с.

.        Аксёнов А.П. Математический анализ. (Ряды Фурье. Интеграл Фурье. Суммирование расходящихся рядов.) Учебное пособие./ А.П. Аксёнов. - СПб.: Нестор, 1999. - 86 с.

.        Овчинников П.П. Вища математика: підручник. У 2-х ч. Ч. 2. / П.П. Овчинников, В.М. Михайленко; [пер. з рос. Є.В. Бондарчук, Ю.Ю. Костриці]. - К.: Техніка, 2004. - 792 с.

.        Сінайський Є. С. Вища математика / Є.С. Сінайський, Л.В. Новікова, Л.І. Заславська. - Дн.: НГУ, 2004. - 399 с.

10.   Рудавський Ю.К. Математичний аналіз /Ю.К. Рудавський. - Л.: НУ «Львівська політехніка», 2003 г. - 404 с.