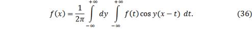
Дана формула називається формулою Фур’є.
Доведення.
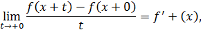
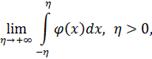
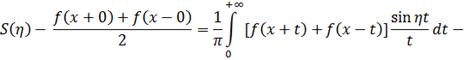
Зафіксуємо довільну точку ![]()
, в якій існують ![]()
, і розглянемо інтеграл
Функція ![]()
є для інтеграла Фур’є
аналогом частинної суми ряду Фур’є періодичної функції.
Так, як функція ![]()
неперервна та обмежена
на всій площині змінних ![]()
та ![]()
, то, згідно формули
(19), в інтегралі (30) можна змінити порядок інтегрування. Зробивши це,
отримаємо
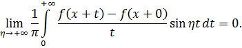
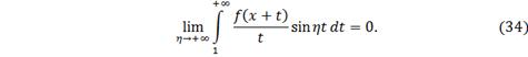
Отримана формула є аналогічною до формули, яка виражає частинну суму ряду Фур’є з допомогою інтеграла Діріхле. Тому природно спробувати провести подальше дослідження по алгоритму доведення ознаки Діні про початкову збіжність ряду Фур’є.
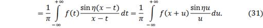
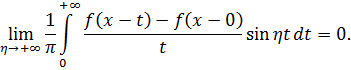
Представивши
інтеграл
![]()
у вигляді суми
двох інтегралів:
і виконавши у
першому з них заміну ![]()
, отримаємо
Використавши, що
при ![]()
отримаємо
Розглянемо,
наприклад, перший інтеграл з правої частини даної рівності. Розіб’ємо його на
два інтеграли:
Оскільки
то ![]()
є кусково - неперервною
функцією змінної ![]()
на відрізку [0,1],
тому за теоремою Рімана
![]()
(33)
Функція ![]()
також є кусково - неперервною на будь-якому проміжку півосі ![]()
і так як
то
тобто ![]()
абсолютно інтегрована
на цій півосі і, отже, в силу тієї ж теореми
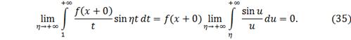
В результаті
збіжності інтеграла ![]()
, виконавши
заміну змінної ![]()
, отримаємо
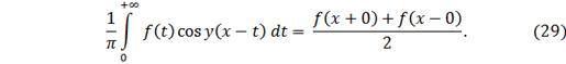
З (33), (34) та
(35) слідує, що
Аналогічно
доводиться, що
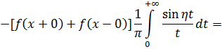
З (32) отримуємо
Границя, в лівій
частині рівності, рівна інтегралу Фур’є (4), тому рівність (29) доведена.
1.2 Різні форми
запису формули Фур’є
В подальшому для
спрощення запису будемо вважати, що функція ![]()
абсолютно інтегрована
на всій числовій осі R і у всіх її точках неперервна та має
односторонні похідні.
В цьому випадку
для всіх ![]()
згідно теореми 1, справедлива формула Фур’є
і так, як
підінтегральна функція парна відносно змінної ![]()
, то
В силу явної
нерівності
при умовах
накладених на функцію ![]()
, існує також інтеграл
при чому, в силу
ознаки Вейєрштрасса, він рівномірно збіжний на всій числовій осі змінної ![]()
. Звідси слідує, що він
є неперервною функцією від ![]()
. Тому для будь-якого
числа ![]()
існує інтеграл
при чому так, як
функція парна, підінтегральна функція відносно змінної ![]()
даний інтеграл рівний
нулю. Однак висунутих припущень відносно функції ![]()
не можна стверджувати
про існування невласного інтеграла
Щоб отримати
потрібні формули, нам доведеться ввести ще одне узагальнення поняття інтеграла.
1.3 Головне значення
інтеграла
Введемо наступне означення.
Нехай функція ![]()
інтегрована на
будь-якому скінченному відрізку. Якщо існує скінченна границя
то вона
називається основним значення інтеграла ![]()
та позначається буквами
![]()
Зауважимо, що
різниця даного означення від означення невласного інтеграла ![]()
полягає у тому, що там
для функції ![]()
, інтегрованої на
будь-якому скінченному відрізку, інтеграл ![]()
визначався як границя
інтегралів ![]()
при ![]()
. Тут вимагається
існування лише границь вказаних інтегралів ![]()
для окремих випадків ![]()
.
Аналогічно
вводиться поняття головного значення невласного інтеграла в точці: нехай ![]()
та функція ![]()
при будь-якому ![]()
інтегрована, по Ріману,
на відрізках ![]()
та ![]()
, тоді головне значення
інтеграла ![]()
в точці
![]()
визначається за
формулою
Іноді, коли дана
рівність є істинною, інтеграл у розумінні головного значення визначається
просто символом інтеграла без букв ![]()
Якщо для деякої функції існує невласний інтеграл, то у даної функції існує і головне значення інтеграла, яке співпадає з її невласним інтегралом. Обернене твердження не є істиною: у функції може бути головне значення інтеграла, але при цьому невласний інтеграл є розбіжним.
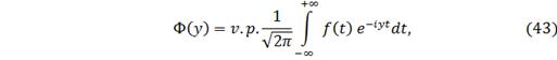
1.4
Комплексна форма запису інтеграла
Повернемось до формули
Фур’є і запишемо її,
використовуючи поняття головного значення інтеграла, в іншому вигляді. Так, як підінтегральна
функція інтеграла(38) по у непарна маємо, згідно сформульованого означення
головного значення інтеграла
Домноживши обидві
частини рівності на ![]()
і, використавши інтеграл (36), отримаємо
де зовнішній
інтеграл розуміється, як головне значення. Формула (41) називається комплексною
формою запису інтеграла Фур’є.
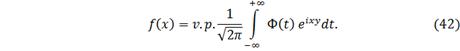
2. Перетворення Фур’є
Поклавши
формула (19) матиме вигляд
Функція ![]()
, яка ставиться у
відповідність функції ![]()
формулою
називається
перетворенням Фур’є функції ![]()
і позначається ![]()
або ![]()
.
В даному
визначенні ![]()
комплексна функція
дійсного аргументу. Зазначимо також, що функція ![]()
може набувати
комплексного значення і в тому випадку, коли функція ![]()
набуває тільки дійсного
значення.
Перетворення Фур’є визначено для всіх абсолютно інтегрованих функцій. Використавши,
наприклад, для перетворення Фур’є
функції ![]()
позначення ![]()
, формулу (42) можна
записати у вигляді
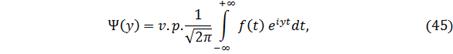
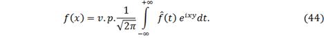
Дана формула
дозволяє відновити саму функцію ![]()
, якщо відоме її
перетворення Фур’є ![]()
. Вона називається
формулою перетворення.
Функція ![]()
, яка ставиться у
відповідність функції ![]()
формулою
називається
оберненим перетворення Фур’є
функція ![]()
і позначається ![]()
.
Перетворення Фур’є та обернене перетворення Фур’є
визначені на множині функцій, в якій інтеграли (43) та (45) існують в розумінні
головного значення. Зокрема, ця множина містить в собі множину всіх абсолютно
інтегрованих на всій дійсній осі функцій, для яких інтеграли в формулах (43) та
(45) можна вважати як звичайні невласні інтеграли, а не тільки як інтеграли в
розумінні головного значення. Поняття «обернене
перетворення Фур’є» доводиться тим, що перетворення ![]()
переходить у
перетворення Фур’є ![]()
. Уточнює дане
твердження наступна лема.