1. Інтеграл Фур’є
1.1 Поняття інтеграла
Фур’є для функції дійсної змінної
Нехай функція f абсолютно інтегрована на всій дійсній осі. Запишемо для неї
інтеграл, відповідно ряду Фур’є, в якому сума по п замінено
інтегруванням по певному параметру:
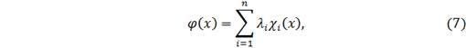
Формули (2) та (3)
нагадують формули для коефіцієнтів ряду Фур’є. Інтеграл виду (1) називається
інтегралом Фур’є для функції f. Підставляючи (2) і (3) і інтеграл (1), перетворимо його
наступним чином:
Аналогічно як сума ряду Фур’є функції при визначених умовах рівна самій функції, інтеграл Фур’є представляє вихідну функцію.
Перш ніж це довести доведемо два допоміжних твердження.
Лема
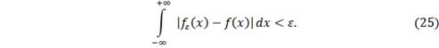
1. Для будь-якої функції f, абсолютно інтегрованої на скінченному або нескінченному проміжку
з кінцями а та b,
![]()
і для будь-якого ![]()
існує така фінітна
неперервна функція g,
що
Доведення.
Відомо, що для будь-якої функції f,
для якої виконуються умови леми 1, і для будь-якого
![]()
існує така ступінчаста
функція ![]()
, що
Як і будь-яка
ступінчаста функція, вона є лінійною комбінацією характеристичних функцій ![]()
півінтервалів ![]()
де ![]()
числа.
Тому якщо ми
доведемо що для будь-якої функції ![]()
існують такі неперервні
фінітні функції ![]()
, що
![]()
(8)
та
та, поклавши
отримаємо
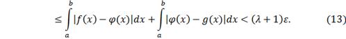
Із нерівностей
(6) і (12) слідує, що
Крім того зі
співвідношень (8) та (10) випливає, що
![]()
(14)
В силу
довільності ![]()
співвідношення (13) і
(14) рівносильні співвідношенню (5). Тому достатньо довести твердження леми для
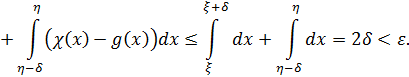
характеристичних функцій кінцевих півінтервалів.
Нехай ![]()
, ![]()
характеристична функція
півінтервалів ![]()
![]()
. Розглянемо
неперервну на всій числовій осі функцію ![]()
, графік якої зображено
на рис. 1:

Для даної функції
![]()
(15)
тобто функція ![]()
фінітна з носієм в
інтервалі ![]()
і для всіх ![]()
виконується нерівність
![]()
(16)
Виберемо ![]()
так, щоб
![]()
(17)
тоді отримаємо
Лему доведено.
Лема
2. Якщо функція ![]()
абсолютно інтегрована
на всій числовій осі, а функція ![]()
неперервна і обмежена в
смузі
![]()
(18)
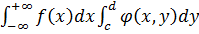
то:
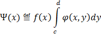
) інтеграл
![]()
є неперервною функцією
параметра y на відрізку
![]()
;
![]()
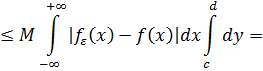
Доведення. Покажемо
неперервність інтеграла
який залежить від
параметра ![]()
Виберемо довільно ![]()
. В силу обмеженості
функції ![]()
у смузі
П існує така стала ![]()
, що
для всіх ![]()
виконується нерівність
![]()
(21)
і, виходячи з
цього,
Згідно умов леми,
функція ![]()
абсолютно інтегрована
на всій числовій осі, тому, за теоремою Вейєрштрасса, інтеграл (20) рівномірно
збіжний на відрізку ![]()
. Звідси випливає
існування такого числа ![]()
, що для всіх точок ![]()
, виконується нерівність
Так, як функція ![]()
є неперервною на
кінцевому прямокутнику
то вона є
рівномірно неперервна на ньому. Тому існує таке ![]()
, що для всіх ![]()
, які задовольняють
нерівність ![]()
, буде виконуватись
нерівність
де ![]()
модуль неперервності
функції ![]()
по прямокутнику ![]()
. Зафіксуємо деяке
значення ![]()
, яке задовольняє
нерівність (23).
Тепер при
довільно вибраних ![]()
та ![]()
за умови
![]()
(24)
будемо мати

Це і означає, що
функція ![]()
неперервна на відрізку ![]()
.
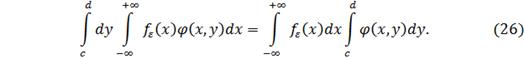
Доведемо тепер
формулу (19). Перш за все слід відмітити, що, в силу доведеної неперервності
функції (20), інтеграл в лівій частині рівності (19) існує (як інтеграл від
неперервної функції по відрізку). Існування інтеграла в правій частині рівності
(19) слідує з того, що функція
є перетворенням
абсолютно інтегрованої на всі числовій осі
R функції ![]()
на неперервну на R функцію
параметра ![]()
.
Далі, в силу леми
1, для довільного ![]()
існує така неперервна
фінітна функція ![]()
, що
Для даної функції
![]()
справедливою є формула:
Покажемо, що
границя лівої частини рівності (26) при ![]()
рівна ![]()
, а правої ![]()
. Для цього оцінимо
різницю правої та лівої частин рівності (26) та їх припущених граничних
значень. Маємо:
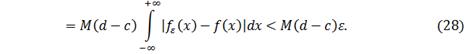
Відповідно для
правої частини маємо
фур’є інтеграл алгоритм збіжність
Поклавши в (26) ![]()
, отримаємо, в силу (27)
і (28), рівність (19).
Теорема 1. Якщо функція f абсолютно інтегрована на всій числовій осі
R, то в кожній точці ![]()
, в якій існують ![]()
та
![]()
, має місце рівність