Материал: Зразок_виконання_РГР_ВПМ_Тема_Матем_аналіз

Внимание! Если размещение файла нарушает Ваши авторские права, то обязательно сообщите нам

26.

1

2

3

4

5

3,9

4,9

3,4

1,4

1,9

27.

1

2

3

4

5

5,1

6,1

4,6

2,6

3,1

28.

1

2

3

4

5

4,3

5,3

3,8

1,8

2,3

29.

1

2

3

4

5

4,7

5,7

4,2

2,2

2,7

30.

1

2

3

4

5

5,5

6,5

5,0

3,0

3,5

а)

Розв’язання.

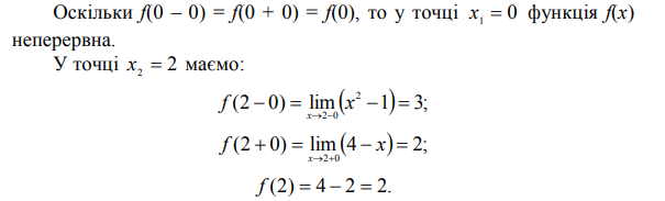
а) Раціональна і дробово-раціональна функції є неперервними в області визначення, отже дана функція є неперервною на всій числовій осі за винятком точки . Дослідимо поведінку функції у вказаній точці. Для цього обчислимо лівосторонню та правосторонню границі. Так як зліва і справа від цієї точки функція визначена різними аналітичними виразами, то

Оскільки одна з границь є нескінченно великою, то точка розриву другого роду. Побудуємо графік:

тобто, точки . Обчислимо в цих точках односторонні границі та значення даної функції. Отримаємо:

6)

Розв’язання.

Маємо