КОСТАНАЙСКИЙ
ГОСУДАРСТВЕННЫЙ ПЕДАГОГИЧЕСКИЙ ИНСТИТУТ
Курсовая работа
Знакопеременные
ряды
Выполнила: студентка 2 курса,
специальности «математика»
Ткачева Наталья
КОСТАНАЙ, 2013г.
Содержание
Введение
1. Числовой ряд
1.1 Основные понятия числового ряда
1.2 Примеры числовых рядов
.3 Необходимый и достаточные признаки сходимости
2. Знакопеременные ряды
2.1 Понятие знакопеременного ряда
2.2 Признак Лейбница. Абсолютная и условная сходимость ряда
.3 Упражнения
. Действия над рядами
3.1 Расстановка скобок
.2 Перестановка слагаемых ряда
3.3 Формула Эйлера
.4 Перестановка, меняющая сумму ряда
.5 Перемножение рядов
4. Историческая справка
Список использованных источников
Введение
Решение задачи, представленной в математических терминах, например, в виде комбинации различных функций, их производных и интегралов, нужно уметь “довести до числа”, которое чаще всего и служит окончательным ответом. Для этого в различных разделах математики выработаны различные методы.
Раздел математики, позволяющий решить любую корректно поставленную задачу с достаточной для практического использования точностью, называется теорией рядов.
Даже если некоторые тонкие понятия математического анализа появились вне связи с теорией рядов, они немедленно применялись к рядам, которые служили как бы инструментом для испытания значимости этих понятий. Такое положение сохраняется и сейчас.
Выражение вида
,
где
;
;
;…;
;…
- члены ряда;
- n-ый или общий
член ряда, называется бесконечным рядом (рядом).
Если члены ряда:
· числа, то ряд называется числовым;
· числа одного знака, то ряд называется знакопостоянным;
· числа разных знаков, то ряд называется знакопеременным;
· положительные числа, то ряд называется знакоположительным;
· числа, знаки которых строго чередуются, то ряд называется знакочередующимся;
· функции, то ряд называется функциональным;
· степени
,
то ряд называется степенным;
· тригонометрические функции, то ряд
называется тригонометрическим.
I. Числовой ряд
.1 Основные понятия числового ряда
Числовым рядом называется сумма вида
, (1.1)
где
,
,
,…,
,…,
называемые членами ряда, образуют бесконечную последовательность; член
называется
общим членом ряда.
Суммы
…………..
,
составленные из первых членов ряда (1.1), называются частичными суммами этого ряда.
Каждому ряду можно сопоставить
последовательность частичных сумм
.
Если при бесконечном возрастании номера n
частичная сумма ряда
стремится к
пределу
,
то ряд называется сходящимся, а число
-
суммой сходящегося ряда, т.е.
и
.
Эта запись равносильна записи
.
Если частичная сумма
ряда
(1.1) при неограниченном возрастании n не имеет конечного предела (стремится к
или
),
то такой ряд называется расходящимся.
Если ряд сходящийся, то значение
при
достаточно большом n является приближенным выражением суммы ряда S.
Разность
называется
остатком ряда. Если ряд сходится, то его остаток стремится к нулю, т.е.
,
и наоборот, если остаток стремится к нулю, то ряд сходится.
.2 Примеры числовых рядов
Пример 1. Ряд вида
(1.2)
называется геометрическим
.
Геометрический ряд образован из членов геометрической прогрессии.
Известно, что сумма её первых n членов
.
Очевидно: это n-ая частичная сумма ряда (1.2).
Возможны случаи:
:
.
Ряд (1.2) принимает вид:
,
ряд расходится;
Ряд (1.2) принимает вид:
,
не имеет предела,
ряд расходится.
,
- конечное число,
ряд сходится.
,
- ряд расходится.
Итак, данный ряд сходится при
и
расходится при
.
Пример 2. Ряд вида
(1.3)
называется гармоническим.
Запишем частичную сумму этого ряда:
.
Сумма
больше
суммы, представленной следующим образом:
или
.
Если
,
то
,
или
.
Следовательно, если
,
то
,
т.е. гармонический ряд расходится.
Пример 3. Ряд вида
(1.4)
называется обобщенным гармоническим.
Если
,
то данный ряд обращается в гармонический ряд, который является расходящимся.
Если
,
то члены данного ряда больше соответствующих членов гармонического ряда и,
значит, он расходится. При
имеем
геометрический ряд, в котором
; он является
сходящимся.
Итак, обобщенный гармонический ряд сходится при
и
расходится при
.
.3 Необходимый и достаточные признаки сходимости
Необходимый признак сходимости ряда.
Ряд
может
сходиться только при условии, что его общий член
при
неограниченном увеличении номера
стремится
к нулю:
.
Если
,
то ряд
расходится
- это достаточный признак расходимости ряда.
Достаточные признаки сходимости ряда с положительными членами.
Признак сравнения рядов с положительными членами.
Исследуемый ряд сходится, если его члены не превосходят соответствующих членов другого, заведомо сходящегося ряда; исследуемый ряд расходится, если его члены превосходят соответствующие члены другого, заведомо расходящегося ряда.
Признак Даламбера.
Если для ряда с положительными членами

выполняется условие
,
то ряд сходится при
и расходится при
.
Признак Даламбера не дает ответа, если
.
В этом случае для исследования ряда применяются другие приемы.
Упражнения.
Записать ряд по его заданному общему члену:
;
;
.
Решение.
Полагая
,
,
,…,
имеем бесконечную последовательность чисел:
,
,
.
Сложив его члены, получим ряд
.
Поступая так же, получим ряд
.
Придавая
значения
1,2,3,… и учитывая, что
,
,
,…,
получим ряд
.
Найти n-ый член ряда по его данным первым членам:
;
.
Решение.
Знаменатели членов ряда, начиная с первого,
являются четными числами; следовательно, n-ый член ряда имеет вид
.
Числители членов ряда образуют натуральный ряд
чисел, а соответствующие им знаменатели - натуральный ряд чисел, а
соответствующие им знаменатели - натуральный ряд чисел, начиная с 3. Знаки
чередуются по закону
или по закону
.
Значит, n-й член ряда имеет вид
.
или
.
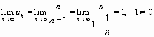
Исследовать сходимость ряда, применяя необходимый признак сходимости и признак сравнения:
;
;
.
Решение.
Находим
.
Необходимый признак сходимости ряда выполняется, но для решения вопроса о сходимости нужно применить один из достаточных признаков сходимости. Сравним данный ряд с геометрическим рядом
,
который сходится, так как
.
Сравнивая члены данного ряда, начиная со второго, с соответствующими членами геометрического ряда, получим неравенства
т.е. члены данного ряда, начиная со второго, соответственно меньше членов геометрического ряда, откуда следует, что данный ряд сходится.
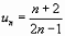
Имеем
.
Здесь выполняется достаточный признак расходимости ряда; следовательно, ряд расходится.
Находим
.
Необходимый признак сходимости ряда выполняется.
Сравним данный ряд с обобщенным гармоническим рядом
,
который сходится, поскольку
,
следовательно, сходится и данный ряд.
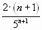
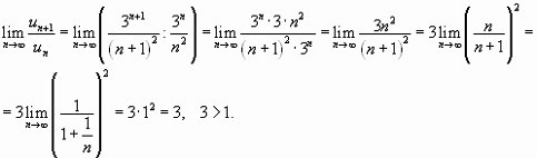
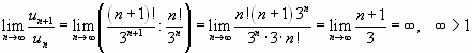
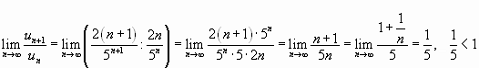
Исследовать сходимость ряда, используя признак
Даламбера:
.
Решение.
Подставив в общий член ряда
вместо
n число n+1, получим
. Найдем предел
отношения
-го члена к n-му
члену при
:
.
Следовательно, данный ряд сходится.
Имеем
Значит, данный ряд расходится.
,
т.е. ряд расходится.
2. Знакопеременный ряд
.1 Понятие знакопеременного ряда
Числовой ряд
называется знакопеременным, если среди его членов имеются как положительные, так и отрицательные числа.
Числовой ряд называется знакочередующимся, если
любые два стоящие рядом члена имеют противоположные знаки.