Материал: Захаров, Сайфутдинов - Вычислительная техника

Внимание! Если размещение файла нарушает Ваши авторские права, то обязательно сообщите нам

Основным недостатком ПНК, использующих принцип последовательного счета, является сравнительно большое время преобразования, зависящее от входного напряжения, быстродействия счетчика и ПКН. В предельном случае, когда входное напряжение максимально, т. e. Uвх = U2n, а время переключения счетчика t, полное время преобразования Тпр, характеризующее быстродействие ПНК, определяется как Тпр = t2n.

Указанный недостаток в значительной мере компенсируется тем, что подобные схемы являются наиболее простыми из всех возможных разновидностей ПНК. Поэтому такие ПКН широко применяются на практике, когда требование быстродействия не является определяющим.

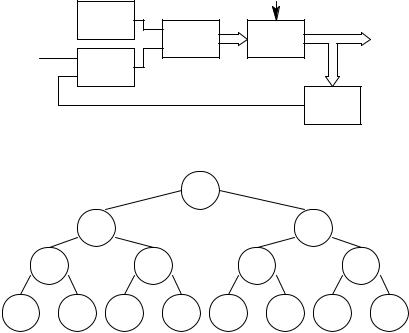
Принцип поразрядного кодирования состоит в формировании цифровым способом эталонного напряжения Uэ путем последовательного приближения его к входному напряжению Uвх. Этот принцип поясняется структурной схемой (рис. 5.5, а) и графом переходов (рис. 5.5, б), который отражает алгоритм управления состояния регистра памяти (РП), необходимый для реализации метода последовательного приближения эталонного напряжения, снимаемого с выхода ПКН.

 

 

ГТИ t

 

 

tн

 

 

Uвх

 

УУ

 

РП

N

 

 

 

 

 

 

о

 

УС

 

 

 

 

 

Uэ

 

 

 

 

 

 

 

 

 

 

 

ПКН

 

 

 

 

 

 

 

 

 

 

 

а

 

 

 

 

 

 

 

100

 

 

 

 

 

010

 

 

 

110

 

001

 

011

 

 

101

111

 

000

001

010

011

100

101

110

111

б

Рис. 5.5. Структурная схема (а) и граф переходов (б) АЦП поразрядного кодирования

106

Узлы графа характеризуют состояние регистра РП, т. е. содержащееся в нем двоичное число в каждый момент сравнения напряжений Uэ и Uвх. Направление перехода задается устройством управления (УУ) в зависимости от выходного сигнала устройства сравнения (УС). В начальный момент времени tн (момент запуска схемы) регистр устанавливается в состояние 10 ... 0 ( 100 – для 3-разрядного АЦП), при котором значение Uэ определяется весом старшего разряда выходного двоичного числа N. Затем осуществляется n тактов последовательного приближения напряжении Uэ к значению входного напряжения Uвх.

На каждом такте возможно два исхода, два управляющих воздействия, изменяющих состояния регистра (см. обозначения на ветвях графа): если UЭ < UВХ, то производится установка очередного младшего разряда в «1» при сохранении состояния всех предшествующих старших разрядов; если UЭ > UВХ, то установка младшего разряда в «1» сопровождается сбросом предыдущего старшего разряда в «0». В результате, по истечении n тактов управления (где n-число разрядов регистра), эталонное напряжение UЭ будет приближено к Uвх с точностью до вклада самого младшего разряда, т. е.

n 1

UЭ = ai Uэi UВХ,

i 0

где Uэi = Umax/2n-i – вклад i-го разряда в напряжение Uэ на выходе ПКН, причем Umax характеризует максимальное преобразуемое напряжение; Uэ0 = Umax/2n – погрешность преобразования (т. е. вклад младшего разряда).

Преимуществом рассмотренного принципа преобразования по сравнению с принципом последовательного счета является значительно меньшее время преобразования, которое в данном случае определяется как Тпр = n t, где t – длительность одного такта управления, задаваемая генератором тактовых импульсов ПНК, которое заключено в устройстве управления. Функциональная схема ПНК с поразрядным кодированием представлена на рис. 5.6.

Вэтой схеме последовательная установка разрядов основного регистра памяти

вединичное состояние осуществляется c помощью управляющего регистра сдвига, на вход которого записывается «1» в момент начала преобразования tн.

107

 

 

 

 

 

 

 

 

N

tн

 

 

 

 

 

 

Sn

...

 

 

 

 

 

 

 

 

G

V

RG

1

 

&

 

Rn

 

 

 

 

 

 

 

Sn-1

 

 

 

 

 

 

 

 

 

&

C

 

2

 

 

1

Rn-1

 

 

 

&

 

...

...

 

 

 

...

 

 

 

 

 

 

 

 

S1

 

S

T

 

 

 

 

 

 

 

n

 

&

1

R1

 

 

 

 

 

 

R

o

 

 

 

 

 

 

 

 

 

 

 

ПКН

 

 

 

 

 

 

 

 

 

 

 

 

 

Uвх

= =

 

 

 

 

 

 

 

Uэ

 

 

 

 

 

 

 

 

 

 

 

Рис. 5.6. Функциональная схема АЦП поразрядного кодирования

В этот же момент происходит установка в «1» старшего разряда основного регистра и обнуление всех остальных его разрядов. На каждом такте преобразования (задаваемом генератором G) сигнал с выхода схемы сравнения, вырабатываемый в случае превышения эталонным напряжением входного (т. е. при Uэ > Uвх), проходит только через ту схему совпадений (И), на второй вход которой подается разрешающий сигнал с одного из разрядов сдвигающего регистра. При этом происходит сброс соответствующего разряда основного peгистра в нулевое состояние. Затем происходит сдвиг разрешающего сигнала на вход следующего (младшего) разряда, который в момент переключения этого сигнала (т. е. в момент сдвига) устанавливается в 1. Если на данном такте управления Uвx > Uэ, то сигнал сброса не вырабатывается схемой сравнения и соответствующий разряд регистра остается в единичном состоянии. В течение n тактов происходит последовательная установка в «1» или «0» всех разрядов регистра в соответствии с графом переходов. Операция преобразования заканчивается в момент перехода управляющего единичного сигнала в последний разряд сдвигающего регистра, так как при этом триггером Т вырабатывается сигнал запрета на схему совпадений, пропускающую тактовые импульсы на вход регистра сдвига.

108

Двоичное число N, пропорциональное входному напряжению Uвх, снимается в виде параллельного кода (аn-1 аn-2 … а1 а0) с выходного регистра после окончания преобразования.

Повысить скорость преобразования в ПНК можно также, используя параллельный набор возможных значений эталонного напряжения вместо их последовательного чередования, характерного для обоих рассмотренных принципов преобразования. Это приводит к так называемому параллельному принципу преобразования, именуе-

мому также принципом считывания.

По принципу считывания схема ПНК (рис. 5.7) содержит m резистивных делителей эталонного напряжения и столько же схем сравнения. Число m определяется количеством дискретных значений преобразуемого напряжения в полном диапазоне преобразования, т. е. если максимальное значение напряжения Uэ, а допустимая погрешность преобразования U, то m = Uэ/ U–1. Напряжения эталонных делителей удовлетворяют соотношению Uэi = Ui/(m+l) = Ui для всех i = [1, m]. Следовательно, если напряжение Uвх превышает значение Uэi, то происходит срабатывание тех схем сравнения, на которые подаются эталонные напряжения Uэi, Uэi-1, ... , Uэ1, так как всегда Uэi > Uэi-1 > ... > Uэ1. Выходные сигналы схем сравнения устанавливают в единичное состояние соответствующие элементы m-разрядного запоминающего регистра RG (предварительно все элементы регистра устанавливаются в 0 в момент начала преобразования tн).

Uэ о

 

 

 

 

 

 

 

 

 

 

 

 

 

 

 

 

 

 

 

 

 

 

 

 

 

 

N

 

 

 

 

 

 

 

 

 

 

 

 

= =

 

 

S1

RG

 

 

 

X/Y

 

 

 

 

 

 

 

 

 

 

 

 

 

 

 

 

 

 

 

 

 

mR

 

 

 

 

(m

 

1)R

 

 

R

 

 

 

 

 

1

 

1

1

 

 

 

 

 

 

 

 

 

 

 

 

 

 

...

 

 

 

 

 

 

 

 

 

 

R1

 

 

 

 

 

 

 

 

 

 

 

 

 

 

 

 

 

 

 

 

 

 

 

 

 

 

 

 

 

 

 

 

 

 

 

 

 

 

 

 

 

 

 

 

 

 

 

 

 

 

 

 

 

 

 

 

 

 

 

 

 

 

 

 

 

 

 

 

 

 

 

 

 

 

 

 

 

 

 

 

 

 

 

 

 

 

 

 

 

 

 

 

 

 

 

 

 

 

 

 

 

 

 

 

 

S2

 

 

 

 

 

 

 

 

 

 

 

 

 

 

 

 

 

 

 

 

 

 

 

 

= =

 

 

 

2

 

2

 

2

 

 

 

 

 

 

 

 

 

 

 

 

 

 

 

 

 

 

 

 

 

 

 

 

 

 

 

 

 

 

 

 

 

 

 

 

...

 

 

 

 

 

R2

 

 

 

...

 

 

 

 

 

 

 

 

 

 

 

 

 

 

 

 

 

 

 

 

...

 

...

 

 

 

 

 

 

 

 

 

 

 

 

 

 

 

 

 

 

 

 

 

 

 

 

 

 

 

 

 

 

 

 

 

 

 

 

 

 

 

 

 

 

 

 

 

 

 

 

 

 

 

 

 

 

 

 

...

 

...

 

 

 

 

 

 

 

 

 

 

...

 

 

 

 

 

 

 

 

 

 

 

 

 

 

 

 

 

 

 

 

 

 

 

 

 

 

 

 

 

 

 

 

 

 

 

Sm

 

 

 

 

 

 

 

 

 

 

 

 

 

 

 

 

 

 

 

= =

 

 

 

 

 

 

 

 

 

 

 

 

 

 

 

 

 

 

 

 

 

 

 

 

 

 

 

 

 

 

 

 

 

R

 

 

 

 

 

 

2R

 

 

mR

 

 

 

 

 

Rm

 

m

 

m

 

n

 

 

 

 

 

 

 

 

 

 

 

 

 

 

 

 

 

 

 

 

 

 

 

 

 

 

 

 

 

 

 

 

 

 

 

 

 

 

 

 

 

 

 

 

 

 

 

 

 

 

о

Uвх

оtн

 

 

 

 

 

 

 

 

 

 

 

 

 

 

 

 

 

 

 

 

 

 

 

 

 

 

 

 

 

 

 

 

 

 

 

 

 

 

 

 

 

 

 

 

 

 

 

 

 

 

 

 

 

 

 

 

 

 

 

 

 

 

 

 

 

 

 

 

 

 

 

 

 

 

 

 

 

 

 

 

 

 

 

 

 

 

 

 

 

 

 

 

Рис. 5.7. Функциональная схема АЦП по методу считывания

109

Таким образом, в регистре RG образуется число, пропорциональное Uвх, в виде единичного позиционного кода. Обычно выполняется операция преобразования этого кода в параллельный двоичный код. Для этого в схему включен кодовый преобразователь, осуществляющий преобразование m-разрядного единичного кода в n-разрядный двоичный код при условии m = 2n – 1.

Рассмотренный параллельный преобразователь обладает теоретически предельным быстродействием, так как входное напряжение за один шаг преобразования сравнивается с полным набором эталонных дискретных значений на всем интервале изменения преобразуемого напряжения. Длительность такой операции преобразования определяется временем срабатывания сравнивающих устройств и быстродействием цифровых элементов, составляющих регистр и кодовый преобразователь Х/Y.

Однако это преимущество параллельных ПНК достигается ценой больших аппаратурных затрат, так как количество прецизионных делителей напряжения, схем сравнения и элементов памяти в таких ПНК растет пропорционально 2n, если n – число двоичных разрядов преобразователя. Поэтому на практике параллельный принцип преобразования применяется только для построения быстродействующих ПНК малой разрядности.

Контрольные вопросы

1.Определить соотношение быстродействия ЦАП с двоично-взвешенными резистивными цепями и ЦАП с резистивной цепью типа R-2R.

2.Почему ЦАП по методу суммирования токов имеет наибольшее быстродей-

ствие?

3.Во сколько раз можно повысить быстродействие АЦП последовательного счета и поразрядного кодирования при уменьшении числа разрядов с 12 до 8?

4.Почему АЦП по методу считывания имеет сравнительно небольшое число разрядов?

110