Федеральное государственное автономное образовательное учреждение высшего образования «Санкт-Петербургский государственный электротехнический университет «ЛЭТИ»
им. В.И. Ульянова (Ленина)»
кафедра физики
ОТЧЕТ
по лабораторной работе № 1
ОПРЕДЕЛЕНИЕ ФОКУСНЫХ
РАССТОЯНИЙ ЛИНЗ
Выполнила: Конунников Г. А.
Группа № 0501
Преподаватель: Иманбаева Р. Т.
Вопросы |
Задачи ИДЗ |
Даты коллоквиума |
Итог |
|||||||
|
|
|
|
|
|
|
|
|
||
2 |
17 |
|
|
|
|
|
|
|
||
|
||||||||||
|
||||||||||
|
||||||||||
|
||||||||||
Санкт-Петербург, 2021
ЦЕЛЬ РАБОТЫ: Определение фокусных расстояний собирающей и рассеивающей линз исходя из результатов измерений расстояний от исследуемых линз до предмета и его изображения.
ПРИБОРЫ И ПРИНАДЛЕЖНОСТИ: Работу выполняют на оптической скамье, вдоль которой могут перемещаться держатели с укрепленными на них светящимся предметом (источником света), линзами и экраном. На скамье имеется миллиметровая шкала, позволяющая отсчитывать положение окна источника света, собирающей и рассеивающей линз и положение экрана. Светящийся предмет, линзы и экран должны быть установлены так, чтобы их центры находились на одной высоте и оптическая ось линзы была параллельна оптической скамье. Предметом служит изображение стрелки на стекле окна в металлическом кожухе лампы.
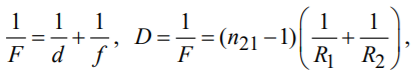
ИССЛЕДУЕМЫЕ ЗАКОНОМЕРНОСТИ:
Элементарная
теория оптических стекол приводит к
простым соотношениям между фокусным
расстоянием F
линзы, расстоянием d
от линзы до предмета, расстоянием f
от линзы до его изображения, относительным
показателем преломления
материала линзы, где
и
– абсолютные показатели преломления
внешней среды и линзы, и радиусами
кривизны
и
сферических поверхностей линзы. Для
тонкой линзы (толщиной которой по
сравнению с R1
и R2
можно пренебречь) справедливы следующие
соотношения:
|
(1) |
где
–
оптическая сила линзы, R > 0 для выпуклых
поверхностей и R < 0 – для вогнутых.
Если D > 0, то линза собирающая, а если
D < 0, то – рассеивающая.
Для определения фокусных расстояний собирающих линз существует ряд способов. В данной работе применяют два из них:
1) путем нахождения расстояний d и f от линзы до предмета и от линзы до изображения;
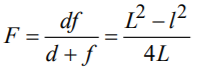
2) путем измерения расстояния L между предметом и изображением и расстояния l между уменьшенным и увеличенным изображениями предмета. Суть метода поясняется рисунке 1.
Рисунок 1 – Ход лучей в собирающей линзе
Расстояние
между двумя положениями линзы равно l
=
f1
−
d1
, а расстояние между предметом и экраном
– L
=
f1
+
d1
. Из этих соотношений следует d
=
(
L −
l)
2
, f
=
( L
+
l)
2
тогда согласно формуле линзы получим
Рассеивающая линза не дает действительного изображения предмета наэкране, поэтому для определения фокусного расстояния такой линзы используют оптическую систему, составленную из двух линз: исследуемой – рассеивающей, и вспомогательной – собирающей, такой, чтобы комбинация этих двух линз служила собирающей оптической системой, с помощью которой можно получить действительное изображение предмета. Данный метод изображен на рисунке 2.
Рисунок 2 – К определению фокусного расстояния рассеивающей линзы
Если
с помощью собирающей линзы получить на
экране уменьшенное изображение предмета
S1,
а затем за ней поставить рассеивающую
линзу (рис.1.2), то удаляя экран от лампы
можно найти его положение, при котором
на экране возникнет действительное
изображение S2
мнимого (по отношению к рассеивающей
линзе) предмета, создаваемого собирающей
линзой. Определив расстояния d
и f
от рассеивающей линзы до изображения
предмета, даваемого собирающей линзой,
и его изображения, даваемого рассеивающей
линзой, можно найти фокусное расстояние
F
рассеивающей линзы. Формула рассеивающей
линзы в рассматриваемом случае (предмет
мнимый, а его изображение действительное)
имеет вид −
1
F =
−
1
d
+1
f ,
откуда
фокусное расстояние рассеивающей линзы
F
=
fd
(
f
−
d
).
Таблица 1 – Определение фокусного расстояния F собирающей линзы по расстояниям от линзы до предмета d и его изображения f
№ |
|
|
|
|
|
|
|
Разм. |
мм |
мм |
мм |
мм |
мм |
мм |
мм |
1 |
|
|
|
|
|
|
|
2 |
|
|
|
|
|
|
|
3 |
|
|
|
|
|
|
|
4 |
|
|
|
|
|
|
|
5 |
|
|
|
|
|
|
|
Таблица 2 – Определение фокусного расстояния F собирающей линзы по расстояниям от предмета до его изображения L и между его уменьшенным и увеличенным изображениями l
№ |
|
|
|
|
|
|
|
|
Разм. |
мм |
мм |
мм |
мм |
мм |
мм |
мм |
мм |
1 |
|
|
|
|
|
|
|
|
2 |
|
|
|
|
|
|
|
|
3 |
|
|
|
|
|
|
|
|
4 |
|
|
|
|
|
|
|
|
5 |
|
|
|
|
|
|
|
|
Таблица 3 – Определение фокусного расстояния F рассеивающей линзы по расстояниям от этой линзы до изображения предмета d, даваемого собирающей линзой, и его изображения f, даваемого рассеивающей линзой.